Eco-evolutionary strategies for relieving carbon limitation under salt stress differ across microbial clades
Published in Earth & Environment and Microbiology
Soil salinization is one of the most challenging global environmental concerns in the current century due to its negative impact on soil ecosystem services. Accompanied by global change, including climate change and anthropogenic activities, expansion of saline soil area is observed. Soil microorganisms play pivotal roles in ecological function and services in terrestrial ecosystems. Thus, evaluating their responses, especially eco-evolutionary strategies to saline stress is essential to understanding and predicting climate-driven impacts on soil health and fertility.
How do microorganisms cope with salt stress? What are their responses? How do they make evolutionary trade-offs between alleviating carbon limitation and maintaining their own functions? On what kind of energy sacrifice? With these important scientific questions in mind, we, in collaboration with the Tobacco Research Institute of the Chinese Academy of Agricultural Sciences (CAAS) and Pacific Northwest National Laboratory (PNL), explored microbial strategies for relieving carbon limitation under salt stress. Helped by metagenomic and amplicon sequencing techniques, we found microbes employ different strategies across microbial clades at the genetic level in soils with a typical salinity gradient in the Bohai Bay region of China. Our finding will benefit future prediction of soil health and ecological function, and is recently published in Nature Communications, entitled ‘Eco-evolutionary strategies for relieving carbon limitation under salt stress differ across microorganisms’ (https://doi.org/10.1038/s41467-024-50368-z).
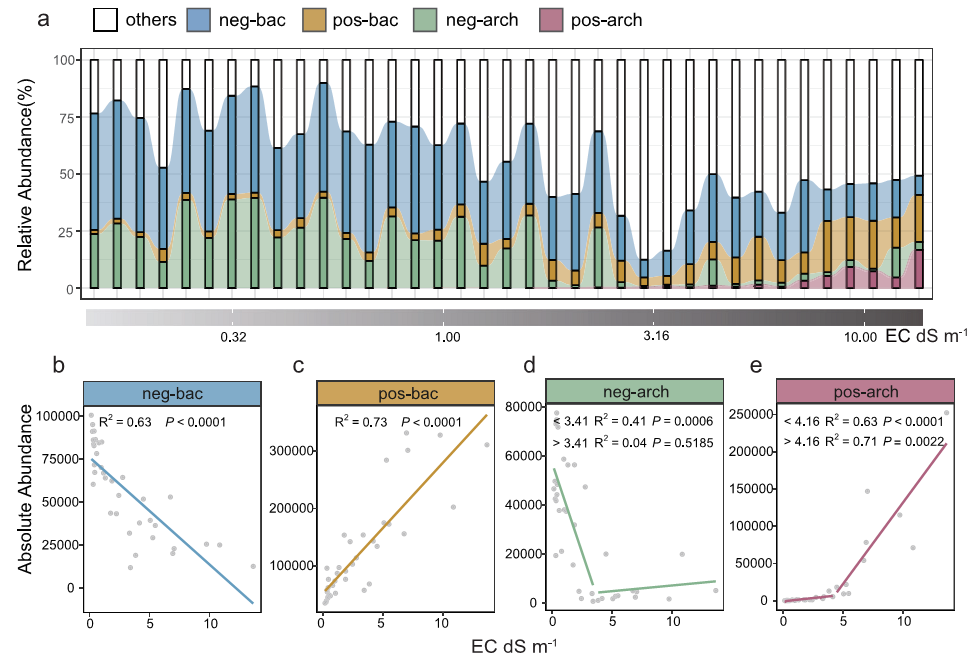
By comparing the genomic traits of four microbial groups in soil, i.e., salt-sensitive bacteria, salt-tolerant bacteria, salt-sensitive archaea, and salt-tolerant archaea, including genome size, KEGG pathways, KOs, and specific genes for salt tolerance and carbon sequestration, we found that bacteria and archaea showed opposite ecological evolutionary directions under salt stress (Fig. 1). Specifically, as a response to carbon limitation in high-salt environments, bacteria adopted a ‘streamlining’ strategy, i.e., reducing genome size and simplifying metabolic genes to save energy consumption for a survival. On the contrary, salt-tolerant archaea adopted an opposite yet also beneficial strategy, i.e., increasing genome size and enhancing carbon access to obtain more carbon sources and maintain their functional diversity. These findings broaden our understanding of microbial ecological evolutionary strategies in response to environmental stresses, and provide a theoretical basis for predicting soil ecosystem responses and feedbacks to global change.

Figure 1. Taxonomic succession along the soil salinity gradient. a Relative abundance of each response group. b–e Absolute abundance of each response group. P-values are calculated by two-sided ordinary least squares linear regression (P < 0.05 indicates a significant correlation). Abbreviation: EC, electrical conductivity.
Youzhi Feng, Nanjing Forestry University
Ruirui Chen, Nanjing Forestry University
Yang Dong, Tobacco Research Institute, Chinese Academy of Agricultural Sciences
Follow the Topic
-
Nature Communications
An open access, multidisciplinary journal dedicated to publishing high-quality research in all areas of the biological, health, physical, chemical and Earth sciences.
Related Collections
With Collections, you can get published faster and increase your visibility.
Women's Health
Publishing Model: Hybrid
Deadline: Ongoing
Advances in neurodegenerative diseases
Publishing Model: Hybrid
Deadline: Mar 24, 2026
Please sign in or register for FREE
If you are a registered user on Research Communities by Springer Nature, please sign in