Exploring genetic contributions to conduct problems in childhood and adolescence.

Studying the role of parents in their children’s behaviour is complex, as parents provide both genetics & nurturing environment for their children. Using genetic data in family trios may shed light on the processes by separating genetic transmission from potential environmentally mediated effects.
Exploring genetic contributions to conduct problems in childhood and adolescence.
Like

Share this post

Choose a social network to share with, or copy the URL to share elsewhere

This is a representation of how your post may appear on social media. The actual post will vary between social networks

Parental Influences – Genes and Upbringing

Conduct problems can express differently in childhood and adolescence, but typically refer to norm and rule violating behaviours such as theft or violent behaviour towards individuals, animals or objects. Numerous parental characteristics have been associated with conduct problems in childhood and adolescence, for example, low parental education or harsh parenting. For many of those parental factors, such as parental substance use or psychiatric conditions, it is unclear to what degree an association between parental characteristics and child outcomes reflects a true environmental effect, given the genetic transmission from parents to their children (a child inherits half of each parent’s genomes). Identifying which parental factors have a true environmental effect on conduct problems is however crucial to design appropriate prevention and intervention strategies. For example, if parental factors influence offspring conduct problems beyond genetic transmission, intervening on these parental factors may help to prevent development of conduct problems or to improve existing difficulties of the child.

Genetics as Markers of The Environment?

In this study1, we used genetic and phenotype data of over 30,000 mother-father-child trios from the Norwegian Mother, Father and Child Cohort Study, which is a longitudinal pregnancy-based study. We aimed to distinguish between genetic transmission and genetic nurture effects, i.e., indirect genetic effects of parental genes on child behaviour that presumably work through parental (nurturing) environment (Fig. 1).

Genetics of mothers and fathers (GM and GF) can be associated with phenotype of the child (PC) via child genetics (GC) or via parental phenotypes (PM or PF).
Fig. 1. Genetics of mothers and fathers (GM and GF) can be associated with the phenotype of the child (PC) via child genetics (GC, half of the genetic material is transmitted) or via parental phenotypes (PM or PF).

We calculated 13 different polygenic scores for children and their parents. Polygenic scores are summarised measures that index the genetic propensity for a certain trait or disorder and can comprise around 1 million genetic variants, which each on their own have a tiny effect on a given phenotype. Analysing the data of parents and children together, we tested whether parental polygenic scores were associated with conduct problems via genetics of the child (genetic transmission) or above and beyond the genetics of the child (genetic nurture, presumably via the indexed parental traits, such as depression or substance use).

Considering Developmental Stages: Insights from Childhood and Adolescence

In childhood and adolescence (ages 8 and 14 years), we measured a range of conduct problems, which were either rated by the children’s mothers (at 8 years of age) or by the adolescents themselves (at 14 years of age). We found significant genetic transmission effects using a variety of polygenic scores, e.g., indexing psychiatric conditions, substance use or socioeconomic factors. In general, genetic transmission effects were found at both ages, but were more prominent at age 8 years (Fig. 2a) than at age 14 years (Fig. 2b). One explanation for smaller genetic effects at age 14 years could be that new genetic effects act in adolescence, for example, through genetic variants which have not been captured by the polygenic scores that we used. In contrast to the evidence for genetic transmission, we found only weak evidence for genetic nurture effects at age 8 years, and little evidence at all for genetic nurture effects at age 14 years (using the 13 polygenic scores that index parental traits).

Fig. 2. Genetic transmission and genetic nurture effects (standardised regression coefficients) at ages 8 (A) and 14 years (B), using the 13 different polygenic scores.

Nuanced Perspectives: The Complexity of Parent-Child Dynamics and Longitudinal Studies

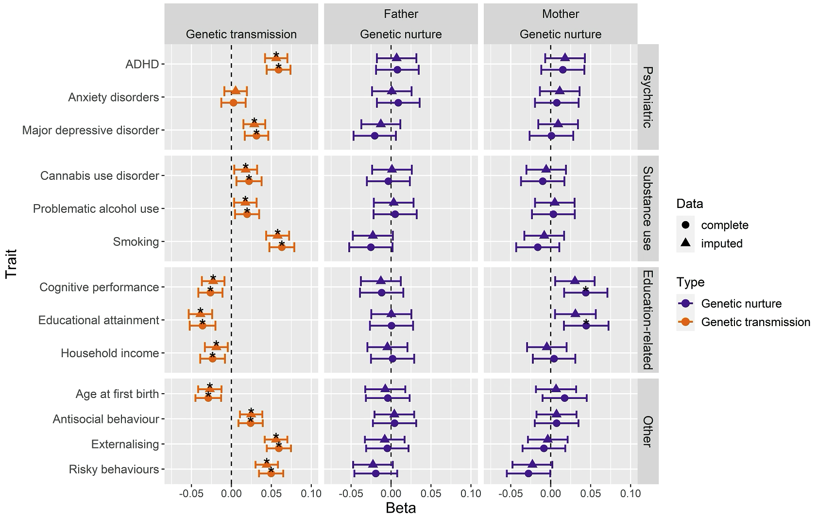
Although we found statistically significant genetic nurture effects at age 8 years using maternal polygenic scores for educational attainment and cognitive performance, results were not robust across sensitivity analyses (using multiple imputation to account for missing data, Fig. 3). This may indicate some bias due to non-random participant drop-out in our sample, e.g., parents of children with available phenotype data at age 8 years were more highly educated than the whole sample of parents at the start of the study (pregnancy). Therefore, positive findings of genetic nurture in our study should be interpreted with caution, as they may simply reflect how more highly educated mothers are more sensitive in perceiving and rating their children’s behaviour.

Fig. 3. Comparison of results at age 8 years between complete data analysis and using multiple imputation (sensitivity analysis).

Conclusions and Open Questions

Our results do not rule out the existence of environmental effects on conduct problems (either mediating genetic effects or independent of genetic effects). However, our findings provide consistent evidence for genetic transmission effects in the development of conduct problems, which indicates that associations between parental characteristics and offspring conduct problems are at least partly explained by genetic relatedness between parents and their children.

References

1. Frach, L., Barkhuizen, W., Allegrini, A.G., Ask, H., Hannigan, L. J., Corfield, E.C., ... & Pingault, J. B. (2024). Examining intergenerational risk factors for conduct problems using polygenic scores in the Norwegian Mother, Father and Child Cohort Study. Molecular Psychiatry. 1–11

Figures 1-3 were re-used from ref 1. Poster (header) created with BioRender.com

Please sign in or register for FREE

If you are a registered user on Research Communities by Springer Nature, please sign in

Follow the Topic

Child and Adolescence Psychiatry
Life Sciences > Health Sciences > Clinical Medicine > Psychiatry > Child and Adolescence Psychiatry
Molecular Genetics
Life Sciences > Biological Sciences > Genetics and Genomics > Molecular Genetics