Improving Lithium-Ion Batteries by Replacing Polyethylene Terephthalate Jellyroll Tape
Published in Materials
Self-discharge is the gradual loss of stored energy in a battery over time, even when it is not actively used to provide power to a device. This occurs primarily due to unwanted parasitic reactions in lithium-ion cells. These processes slowly drain the battery by diverting lithium ions away from the desired reversible intercalation reactions, thus decreasing the overall capacity of the battery and the amount of charge it can hold. To a certain degree, all lithium-ion batteries experience self-discharge, so it is essential to find the underlying cause.
The capacity lost during self-discharge can be divided into two categories – irreversible and reversible capacity loss.1 Irreversible capacity loss is mainly attributed to uncontrolled growth of passivation layers on the charged electrodes, e.g., the so-called solid-electrolyte interphase on the negative electrode. Several strategies can be employed to form stable passivation layers that do not show uncontrolled growth and the associated consumption of cyclable lithium. These strategies include the use of electrolyte additive – specialized molecules that preferentially decompose on the electrodes. However, up to now, reversible capacity loss was poorly understood and simple solutions to fix it did not exist.
In a previous study by our group,2 we found that reversible capacity loss is driven by a so-called redox shuttle – a molecule that can diffuse between the electrodes of a lithium-ion cell and shuttle charge back and forth. The shuttle was identified as dimethyl terephthalate or DMT.2 We had multiple theories for its potential sources relating to the electrodes and the electrolytes used, but none of these theories proved successful. Ultimately, we found that DMT is created from polyethylene terephthalate (PET), used in commercial lithium-ion batteries as a backing material for an adhesive tape that secures the jellyroll (or electrode stack) in the manufacturing process.

Figure 1. A chemical screening experiment to determine the stability of polymeric tapes in lithium-ion batteries. Pouch bags with blue PET tape (a) were filled with either DMC, DMC plus 10 wt% methanol, or DMC plus 10 wt% methanol and 2 wt% lithium methoxide. The tapes were inspected after keeping the pouch bags for 5 hours at 70 °C (b) and the liquid mixtures were extracted from the pouch bags. When DMC, methanol and lithium methoxide were used, the tape dissolved completely, and the liquid mixture turned blue (c).
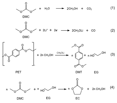
DMT is the monomer of the PET polymer, i.e., DMT is the reaction product of PET depolymerization. A battery cell using an electrolyte with dimethyl carbonate (DMC) – a ubiquitous electrolyte solvent – has all the necessary components to depolymerize PET tape. DMC can react with residual water and lithium ions in a lithium-ion battery to generate methanol and lithium methoxide. Methanolysis of PET is nothing particularly new as it is widely used to recycle PET.3 Lithium methoxide is an effective catalyst for this process, yielding the DMT redox shuttle.3 Scheme 1 summarized this mechanism and Figure 1 shows the simple chemical screening experiment we developed to verify it.

Scheme 1. The reaction path for depolymerizing PET tape in battery cells. (1) DMC hydrolysis to methanol and CO2; (2) DMC reduction to lithium methoxide and CO; (3) PET depolymerization via methanol and lithium methoxide into DMT redox shuttle and EC; (4) Reaction of DMC and EG to EC and methanol.
To determine how common PET tape is in lithium-ion cells, we opened 14 cellphone or cylindrical cells from reputable lithium-ion battery producers and extracted the tapes found therein. Infrared spectroscopy was employed to determine the nature of the polymer backing of these tapes. Of the 14 randomly chosen lithium-ion batteries, 12 contained PET tape, demonstrating its widespread use by original equipment manufacturers.
Chemical screening experiments demonstrated that polypropylene (PP) and Kapton (polyimide or PI) tapes will not degrade and are suitable alternatives for PET tape. Polyimide has been shown to be involved in other detrimental side reactions in lithium-ion battery cells4, and has a considerably higher price point than PP and PET. Thus, PP tape was chosen as the alternative to PET tape. Our new battery cells with PP tape demonstrated up to 70% less self-discharge and up to 10% longer cycle life than similar cells with PET tape. Therefore, it is recommended that lithium-ion battery manufacturers switch from PET to PP tape for mechanical support of the electrodes in their battery cells.
References
- Sinha, N. N. et al. The Use of Elevated Temperature Storage Experiments to Learn about Parasitic Reactions in Wound LiCoO2∕Graphite Cells. J. Electrochem. Soc. 158, A1194 (2011).
- Buechele, S. et al. Identification of Redox Shuttle Generated in LFP/Graphite and NMC811/Graphite Cells. J. Electrochem. Soc. 170, 010511 (2023).
- Tanaka, S., Sato, J. & Nakajima, Y. Capturing ethylene glycol with dimethyl carbonate towards depolymerisation of polyethylene terephthalate at ambient temperature. Green Chem. 23, 9412–9416 (2021).
- Wilkes, B. N., Brown, Z. L. Krause, L. J., Triemert, M. & Obrovac, M. N. The Electrochemical Behavior of Polyimide Binders in Li and Na Cells. J. Electrochem. Soc. 163, A364–A372 (2016).
Follow the Topic
-
Nature Materials
A monthly multi-disciplinary journal that brings together cutting-edge research across the entire spectrum of materials science and engineering, including applied and fundamental aspects of the synthesis/processing, structure/composition, properties and performance of materials.
Please sign in or register for FREE
If you are a registered user on Research Communities by Springer Nature, please sign in