Modelling the key factors influencing SARS-CoV-2 transmission

During the pandemic, we used a compartmental model to describe historic and project future dynamics of SARS-CoV-2 transmission in England. This Behind the Paper blog introduces the study, which highlights key factors influencing our model's projections following the emergence of the Omicron variant.

Published in Healthcare & Nursing

Modelling the key factors influencing SARS-CoV-2 transmission
Like

Share this post

Choose a social network to share with, or copy the URL to share elsewhere

This is a representation of how your post may appear on social media. The actual post will vary between social networks

Mathematics in everyday life

Mathematics is ubiquitous in the modern world; from providing weather forecasts and securing online transactions, to generating the fastest route through a busy city, and, more recently, trying to quantify the likely impact of the COVID-19 pandemic.

Our research centre uses mathematical modelling to understand the spread of infectious diseases, and my colleagues and I have spent the last two years working on the COVID-19 response in the UK. In our most recent research, we use a compartmental model to explore key factors that influence projected dynamics of SARS-CoV-2 transmission in England.

Compartmental model of SARS-CoV-2 transmission

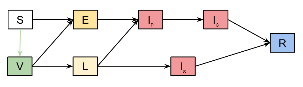
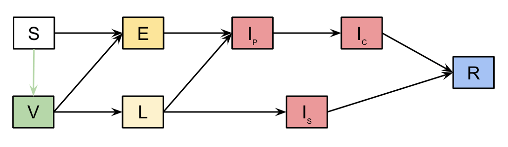
Compartmental models divide a population of interest into distinct categories, with rules determining movement between those categories. In our compartmental model of SARS-CoV-2 transmission, individuals are allocated categories according to their so-called disease status (a simplified example of this is shown in Figure 1).

A diagram showing the structure of a compartmental model describing SARS-CoV-2 transmission with vaccination. Individuals in each population and age group are categorised into compartments according to their disease status. S: susceptible individuals, V: vaccinated individuals, E: exposed individuals, L: latent exposed individuals, Ip: pre-clinically infectious individuals, Ic: clinically infectious individuals, Is: sub-clinically infectious individuals, R: recovered individuals. A green coloured arrow represents susceptible individuals receiving COVID-19 vaccinations. Black coloured arrows represent individuals becoming infected with SARS-CoV-2 and moving through the infection and recovery process, with either a clinical (upper red compartments) or sub-clinical (lower red compartment) infection.
Figure 1: A diagram showing the structure of a compartmental model describing SARS-CoV-2 transmission with vaccination. Individuals in each population and age group are categorised into compartments according to their disease status. S: susceptible, V: vaccinated, E: exposed, L: latent exposed (with a lower propensity for having a clinical infection), Ip: pre-clinically infectious, Ic: clinically infectious, Is: sub-clinically infectious, R: recovered. A green coloured arrow represents susceptible individuals receiving COVID-19 vaccinations and moving into the vaccinated compartment. Black coloured arrows represent susceptible and vaccinated individuals becoming infected with SARS-CoV-2 and moving through the infection and recovery process, with either a clinical (upper red compartments) or a sub-clinical (lower red compartment) infection.

In addition to categorising individuals by their disease status, our model is structured by geography and age. Here, we divide England into seven NHS England regions and we further divide each region's population into 5-year age groups. Contact survey data and mobility data inform the rate that different age groups mix with one another and the overall rate of mixing over time, respectively.

We use this compartmental model to approximate processes relevant to COVID-19, including:

  • The number of SARS-CoV-2 infections over time
  • The number of hospital admissions caused by these SARS-CoV-2 infections
  • The number of deaths caused by these SARS-CoV-2 infections

The model also keeps track of other quantities relevant to the process of disease spread, such as the number of people who have received COVID-19 vaccinations and the proportion of infections which are attributable to different SARS-CoV-2 variants of concern over time (e.g. Alpha, Delta, and Omicron BA.1 and BA.2).  

We fit this model to various epidemiological data streams (e.g., data from the Office for National Statistics estimating the prevalence of COVID-19 infections in each NHS England region) in order to make our modelling as accurate as possible compared to reality.

Factors influencing SARS-CoV-2 transmission

In the paper, we use our compartmental model fitted to more than 2 years of epidemiological data (between March 2020 and May 2022) to explore how different assumptions influenced projected SARS-CoV-2 transmission dynamics from May to December 2022.

The biggest factors influencing projected SARS-CoV-2 transmission were:

  1. Waning immunity (how quickly immunity acquired from COVID-19 vaccinations and/or previous infections is lost)
  2. Behaviour (e.g., changes in the number of contacts people make, or in the use of protective behaviours such as regular COVID testing and mask wearing)
  3. Seasonality (i.e., variations in transmission that occur at regular intervals throughout the year, caused by factors such as the weather or traditional holiday periods)

In addition to looking at influential factors determining future modelled outcomes, we assess retrospectively and prospectively the effectiveness of the COVID-19 booster vaccination campaign in England, which was administered from September 2021 onwards.

For this, we explore the effect of assuming different levels of uptake for the COVID-19 booster vaccination campaign on projected SARS-CoV-2 dynamics between October 2021 and December 2022. A counterfactual scenario which assumed that COVID-19 booster vaccinations were not deployed was projected to result in an additional 23,400 COVID-19 deaths and 108,000 COVID-19 hospital admissions between October 2021 and December 2022, compared to the central scenario (which used levels of booster vaccination uptake measured in April 2022).

Limitations & future considerations

Although our work highlights some of the key factors which influence the model's projections of future SARS-CoV-2 transmission, as with every piece of research, there are important limitations to take into account.

This modelling work was completed in May 2022 and assumes that the Omicron BA.2 sub-lineage remains dominant throughout the forward projections to December 2022. Since May, we have seen the Omicron BA.5 sub-lineage become dominant in England, and have observed an associated uptick in infections. Although our modelling does not aim to provide predictions, but rather to project a range of potential outcomes given various modelling assumptions, our modelling did not anticipate this recent increase in transmission in England due to Omicron BA.5 (Figure 2). 

As with any mathematical model, we make a number of simplifications to describe the complex process of SARS-CoV-2 transmission within the population of England. For example, we do not attempt to model any differences in behaviour for individuals in different risk groups (e.g., vulnerable individuals shielding). Further, we assume the same levels of COVID-19 vaccine protection and rates of waning immunity across all age groups. In reality, heterogeneities such as these exist and may be important factors to consider when it comes to understanding and modelling disease spread. I would argue that these limitations provide a useful direction for research in the future.

Figure 2: Plots showing the aggregated model fit to data between March 2020 and May 2022, and the resulting basecase model projection between May and December 2022 for England. New data from May to August 2022, which was not used for the original model fitting, is shown in alternative colours as a comparison to model projections. (a) The number of COVID-19 hospital admissions per day; UK Health Security Agency data between March 2020 and May 2022 (black line), UK government COVID-19 dashboard data between May and August 2022 (blue line), model fit and projection (orange line and bands denoting confidence intervals). (b) The proportion of the population in England testing PCR-positive for SARS-CoV-2 between March 2020 and December 2022; Office for National Statistics data between June 2020 and May 2022 (black ribbons) and between May 2022 and July 2022 (pink ribbons), model fit and projection (green line and bands denoting confidence intervals). In both plots, the vertical dashed line denotes the date at which model fitting processes were run to produce both the model fit and projection. This Figure has been adapted from Figure 4 in Barnard et al., available at: https://www.nature.com/articles/s41467-022-32404-y

Please sign in or register for FREE

If you are a registered user on Research Communities by Springer Nature, please sign in

Follow the Topic

Health Care
Life Sciences > Health Sciences > Health Care

Related Collections

With Collections, you can get published faster and increase your visibility.

Women's Health

A selection of recent articles that highlight issues relevant to the treatment of neurological and psychiatric disorders in women.

Publishing Model: Hybrid

Deadline: Ongoing

Biosensing

With this cross-journal Collection, the editors of Communications Biology, Nature Biomedical Engineering, Nature Sensors, Nature Communications, and Scientific Reports welcome the submission of primary research Articles focusing on the development of engineered biosensing devices with the potential to be applied in biomedical research and in the management of disease conditions.

Publishing Model: Hybrid

Deadline: Jun 30, 2026