Morphology shaped community dynamics in early animal ecosystems
Published in Ecology & Evolution
About 580 million years ago, the Earth transitioned from a microscopic microbial biosphere to one dominated by macroscopic animals. For 3.5 billion years before this crucial transition, microbial life had dominated the planet, but since then, macroscopic life has shaped the Earth’s biosphere. Some of the best evidence of this transition in the fossil record is found in Newfoundland, Canada, and Charnwood Forest, Leicestershire, England in the form of the Avalonian Ediacaran macrofossils. These fossils are preserved in situ as census communities – walking along the bedding planes upon which these organisms are preserved can feel like walking on an ancient seafloor set in stone. Most of these macrofossils do not look like any modern animals, so it’s very difficult to use traditional approaches to understand the evolution of the first animals. However, the census preservation of the Avalon enables the use of cutting-edge quantitative ecological methods to infer evolutionary processes influencing the rise of animal life on Earth.
In this paper, we were interested in how these first animal communities developed. Ecological communities go through a process known as ecological succession, whereby the community changes through time from initial colonising species, to a stable climax community (e.g., from mosses and lichens, to shrubland, to forests). As communities mature, they tend to go through changes in their composition and community dynamics. For example, in forest systems, early colonisers such as mosses and fungi might facilitate later-stage trees by enriching the soil, but later stage trees might outcompete other plants for light by shading them. It has previously been suggested that, for Avalon communities, maturation is driven by a turnover community composition and an increase in tiering processes. Tiering processes, where different species occupy distinct vertical regions of the water column to avoid competition with each other, is normally a result of competition for resources between species. We wanted to test whether community maturity correlated with increases in tiering and community composition in order to understand the key evolutionary mechanisms in these first animal communities.

Caption: Fractofusus, Bradgatia, and Pectinifrons on the Melrose surface at Capelin Gulch, Discovery Geopark, Newfoundland, Canada. Walking over this surface is like walking over the ancient seafloor set in stone.
Over the last 8 years we have been mapping out Ediacaran communities from Newfoundland, Canada using a combination of laser scans and photographs to create 18 maps of these fossil communities – the largest dataset for this time period!

Caption: Fossils were captured using a variety of techniques including laser scanning; here on the H26 surface in the Discovery Geopark, Newfoundland, Canada.
To establish the maturity of the community (in terms of ecological succession), we used ecological models that had been applied to a variety of different modern animal communities previously, called abundance-biomass comparisons (ABCs). ABCs establish whether a community is made up of lots of small individuals (start of succession) or fewer, larger individuals (later in succession). We compared this metric between each of our fossil surfaces and so created a timeline of succession. We then compared this timeline to metrics of community composition and tiering to test our hypotheses.
Surprisingly, we found that the communities did not change – in composition or degree of tiering – as they matured. Instead, the communities stayed the same, i.e., appeared to be quite stable.
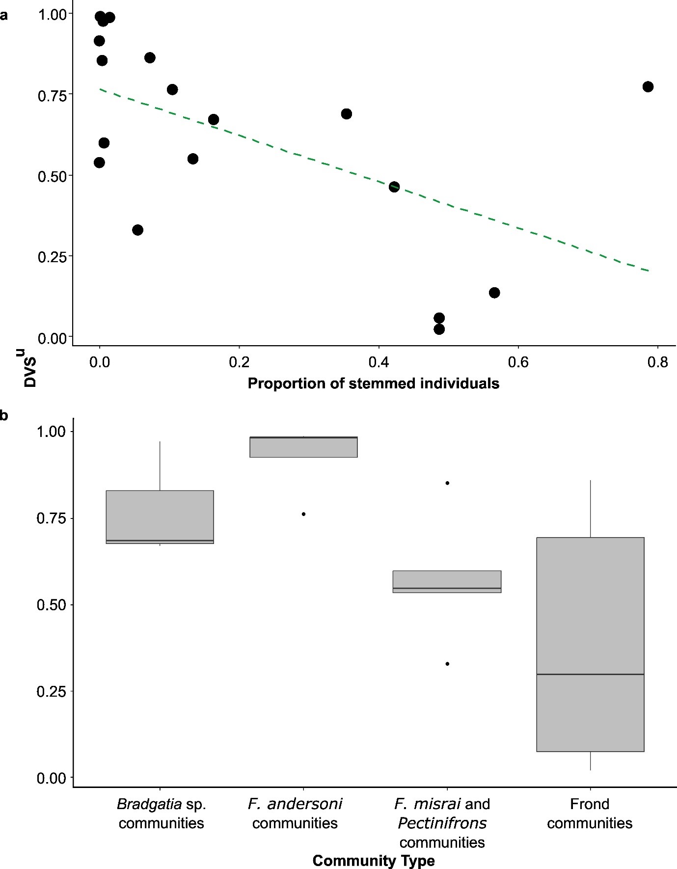
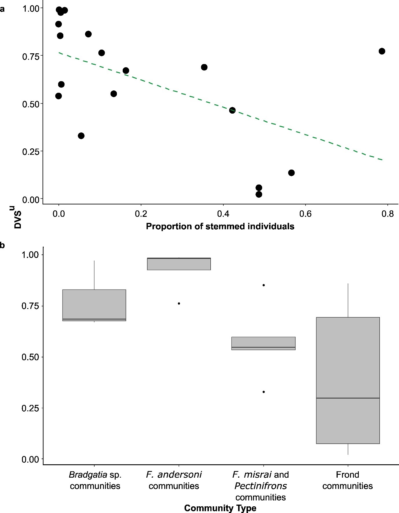
We did, however, find that some of these communities tiered. Within these communities, these early animals each occupied a unique range of heights in the water column, indicating specialisation. However, the organisms that had evolved into a frondose shape – those that reach furthest into the water column, did not tier, they all overlapped each other in the water The fronds were all doing the same thing, and weren’t bothered about specialising.
This frond result is peculiar; we expect that tiering would lead to the evolution of height and stems, but this result matches previous research also published in Nature Ecology & Evolution (https://www.nature.com/articles/s41559-018-0591-6), demonstrating that the impetus to get big probably wasn’t driven by resources, but was likely linked to reproductive behaviour or disturbance survival strategies.

Caption: a) We found a negative correlation between tiering within a community and the proportion of each community that contained stemmed organisms. b) tiering was less prevalent in communities primarily composed of fronds (right box).
An ecosystem whereby groups of organisms fit into niches (i.e., unique ecosystem roles), but within those niches, processes are random as we are seeing with these early animals, is consistent with emergent neutrality, which is highly stabilising and so this emergent neutrality could explain the stable community composition throughout succession.

Caption: Four alternative pathways of succession base don consistent community compositions identified in this research.
Many/most Avalonian bodyplans go extinct later in the Ediacaran, but others survive. Those that go extinct are closest to the seafloor – the ones that specialised. However, the non-tiered, unspecialised frond bodyplans survive into the Cambrian. This paper suggests that this is because the taxa that tiered were overspecialised, and so were unable to adapt when novel ecological strategies, like animals evolved the ability to move, and so disturbed the sediment through mining. However, the fronds in the water column had adapted to reproduce and survive disturbance, and so were able to survive these changes because they were not overspecialised, and so this body plan could survive into the Cambrian.
Work like this requires a large team and covers a large area. We couldn’t have completed the fieldwork required for this research without help from a lot of different people, particularly Edith Sansom, Ben Rideout, and Mark King.
Follow the Topic
-
Nature Ecology & Evolution
This journal is interested in the full spectrum of ecological and evolutionary biology, encompassing approaches at the molecular, organismal, population, community and ecosystem levels, as well as relevant parts of the social sciences.
Related Collections
With Collections, you can get published faster and increase your visibility.
Biodiversity and ecosystem functioning of global peatlands
Publishing Model: Hybrid
Deadline: Jul 27, 2026
Understanding species redistributions under global climate change
Publishing Model: Hybrid
Deadline: Jun 30, 2026
Please sign in or register for FREE
If you are a registered user on Research Communities by Springer Nature, please sign in