Radiative Forcing Bias Calculation Based on COSMO (Core-Shell MIE model Optimization) and AERONET data

Non-linear BC-atmosphere interactions challenge assumptions. Particle size, mixing state considerations reveal rare instances of net warming, crucial for climate models.

Published in Earth & Environment

Radiative Forcing Bias Calculation Based on COSMO (Core-Shell MIE model Optimization) and AERONET data
Like

Share this post

Choose a social network to share with, or copy the URL to share elsewhere

This is a representation of how your post may appear on social media. The actual post will vary between social networks
Introduction

Black carbon (BC), dark particles formed from energy use and combustion, doesn't just cloud the air - it also muddles Earth’s radiation budget. These miniscule particles significantly absorb solar energy, simultaneously heating the atmosphere and cooling the surface. Talk about a mixed message for our planet! However, due to the complex interactions between these particles and the environment, like their size, mixing state, and chemistry, current climate models underestimate their total impacts on absorption and the climate as a whole. As a result, estimated climate effects vary wildly. To address this, we implemented a core-shell Mie model optimization approach (COSMO) using observed aerosol properties from polluted site in Nepal and China. This allowed us to constrain the possible combinations of size and mixing of black carbon particles in the atmosphere. By applying these constraints with other atmospheric data into state-of-the-art radiative transfer models, we quantify the effects on the radiative forcing at top of the atmosphere (TOA), like in the Intergovernmental Panel on Climate Change (IPCC), as well as to the atmosphere itself (ATM). This allows us to quantify the bias with respect to the widely used, state of the art Aerosol Robotic Network (AERONET) products, and their non-linear interactions. We hope that this work will support climate models and drive further innovation of next generation remotely sensed products.

Quick Overview

The relationship between BC and atmospheric heating is far from linear, and therefore any assumptions or simplifications made may lead to large errors or biases when calculating its effects. Consideration of particle size, mixing state, and background aerosol optical depth (AOD) conditions yields a wide range of  possible scenarios. But overall, under a range of conditions, aerosols tend to have less of a cooling effect (or more of a warming effect) than previously thought. In fact, a few rare instances have occurred where there is a net total warming, something that is rarely depicted as possible in the current climate models.The variation and uncertainty in calculations of TOA and ATM are analyzed with respect to particle size and mixing state, and a simple characterization is made so that the results can immediately be integrated into climate models. This simplified approach can be appealing for use in developing nations where the impacts of BC locally can exceed the effects of local greenhouse gases like CO2 and CH4. Interactions between BC and co-emitted particles yield a complex dance that remains poorly represented. Time to get soot in the spotlight!

Method

The method uses Mie theory to model the optical properties of aerosols based on assumptions about their physical size, structure, mixing ratios, and composition. It starts by calculating optical properties (scattering, absorption, asymmetry parameter) for all possible combinations of BC with core sizes (50-500nm) and refractive aerosol coating shell sizes (10-800nm) across the range of all possible submicron sizes. These results are used to compute single scattering albedo across 4 wavelengths where AERONET provides observations (440, 675, 870, 1020 nm).

To constrain the possible aerosol sizes, the method identifies the subset of core-shell size combinations that produce single scatter albedo (SSA) values consistent with the daily minimum and maximum observed by AERONET at each site. This is done independently for each of the 4 wavelengths. The intersection of all feasible solutions across all wavelengths is taken to identify the final set of consistent size combinations.

These retained BC core and refractive aerosol shell sizes are then used to run the Mie model forward to calculate optical properties at additional wavelengths observed by AERONET (340, 380, 500 nm). The resulting SSA and asymmetry parameter distributions at all wavelengths are then input into a Santa Barbara DISORT Atmospheric Radiative Transfer(SBDART) model to compute aerosol radiative forcing.

Quantifying aerosol radiative forcing using a sequence of MIE inversion and forward modeling.
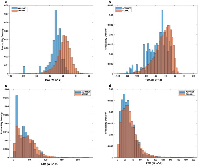
Strong Positive Forcing at the top 

Our probability density function analysis uncovered striking differences between the COSMO and AERONET approaches. The spread of possible TOA and atmospheric ATM forcing solutions is much wider with COSMO at both Lumbini and Taihu.

Digging into the upper end of the statistical range, COSMO yields significantly more scenarios with weakened TOA cooling effects from aerosols. Nearly 20% of COSMO-TOA solutions exceed AERONET's maximum forcing output for Lumbini. Remarkably, around 2% of COSMO runs even produce net TOA warming.

For Taihu, discrepancies remain with 3% of COSMO TOA solutions surpassing the AERONET maximum. Our probability density function analysis clearly demonstrates COSMO's broader representation of potential forcing pathways, with a significant less negative overall value across the middle and upper parts of the range.

Overview of radiative Forcing AERONET Versus Core Shell Mie model Optimization (COSMO)
Radiative Forcing: The AOD Connection Revisited

As AOD (a measure of the total atmospheric air pollution) changes, how do the Earth's radiation budget and temperature change? Our results uncover some unexpected trends.

We simulated the effects of the mixed aerosols across a range of AOD conditions at the two sites. Higher AOD usually meant increased cooling effects at the top of the atmosphere (TOA). Makes sense, right? But here's the twist - not all COSMO set of solutions followed that trend! While on average, cooling strengthened with AOD, some set of solutions oddly showed warming effects even under different pollution conditions. It's like cranking up your AC on a hot day but still feeling your room get warmer. Weird, but it happens in Earth's climate system too. Digging deeper, we found the relationship between AOD and TOA radiation is fairly linear. But our new COSMO simulations displayed a wider range of possible outcomes than conventional models. The plot thickens!

Within the atmosphere itself, the models again defied expectations. Increasing AOD doesn’t simply linearly amp up TOA cooling effects. Nope - our study revealed a complex dance between particle size, mixing state, and absorption that makes the warming response jump around in exciting and unruly ways.

In the end, we learned negative TOA associated to increasing AOD does not hold true for all possible cases of BC size and mixing states, which just to recall are those still found within the observed range of AERONET SSA uncertainty.

TOA Versus AOD for AERONET and COSMO
Role of varying BC sizes and their aging under varying pollution scenarios – Digging Deeper

New insights into BC show its radiation impacts depend on a highly complex set of interactions as a function of their size and composition. Using observed aerosol data, as we modeled BC core sizes over sites in both Nepal and China, we observed that small and medium cores dominated, aligning with seasonal pollution patterns over the respective regions.

Simulating different core sizes and haze levels revealed surprises: Atmospheric cooling effects and TOA heating effects decreased non-linearly as BC size increased under all pollution levels. Yet rates of change differed dramatically between sites. Aerosol impacts remain locally defined.Furthermore, the range of potential TOA cooling and atmospheric heating outcomes followed bumpy multi-modal distributions based on core size and AOD conditions. Not so easy to slap simple lognormal constraints and assume that you have fully represented BC’s complexity!

Current climate models underestimate these obscure non-linear relationships. But properly capturing black carbon’s smoke and mirrors is key to clearing up forcing uncertainties.

Our findings reveal the complex interplay between BC core size and coating in determining absorption enhancement and atmospheric forcing. Smaller BC cores show increased absorption with more coating, while the opposite occurs for larger cores. The COSMO model uncovers wave-like fluctuations in radiative forcing not seen using AERONET’s constant mixing ratio assumption. These results underscore the importance of representing both properties accurately in models to capture real-world climate impacts. The complex and irregular nature of BC radiative forcing as a function of core size and coating highlights the need for refined inputs to reduce uncertainties in climate predictions.

Investigating radiative forcing distributions across black carbon and sulfate aerosol sizes at different AOD condition and coating stages.

Fine-Tuning the Top of the Atmosphere: Using BC size and mixing state to tackle this complex relationship

To improve TOA estimates in climate models, we developed a multi-regression model incorporating AOD, black carbon (BC) core size, and mixing ratio. This improved model performance over two sites compared to AOD alone, with higher R-squared and lower error. While AOD drives TOA, BC properties meaningfully reduce uncertainties. Thus, representing both AOD and BC characteristics is important for accurate TOA predictions. Though quantifying TOA remains complex, this multi-regression approach is a small step toward elucidating the nuanced relationship between BC traits and climatic impacts. Refining model inputs will reduce uncertainties in climate projections. The current differences in the observed regions are larger than the effects of CO2 and CH4 combined, so at least regionally it is important to get this right.

Two linear models TOA ~AOD (a and c) and TOA~AOD +BC+ratio and their errors and R-square metrics derived for Lumbini and Taihu.
Takeaways
  • Results show that considering more detailed size and ratio resolution, there are more non-linearities observed in the COSMO computed SSA values than AERONET can produce.
  • Current TOA scaling with AOD is not valid under all cases and additional work needs to be applied to better constrain the particle size and mixing state through observation to bias correct the overall TOA and ATM values.
  • Linear regression model inclusive of BC size, mixing state, and AOD does a better job representing TOA over previously used TOA~AOD modeling.

Please sign in or register for FREE

If you are a registered user on Research Communities by Springer Nature, please sign in

Follow the Topic

Earth and Environmental Sciences
Physical Sciences > Earth and Environmental Sciences

Related Collections

With Collections, you can get published faster and increase your visibility.

Modeling of Airborne Composition and Concentrations

This Collection seeks contributions that advance the modeling of airborne composition within the context of climate dynamics, atmospheric chemistry, and human-environment interactions.

Publishing Model: Open Access

Deadline: Mar 31, 2026

Inter-Basin Dynamics: Cross-Ocean Interactions and Decadal Forecasting

This Collection aims to enhance the accuracy of decadal-scale climate projections and inform strategies for climate resilience, by addressing climate dynamics, ocean-atmosphere interactions, and the application of advanced numerical methods (e.g., machine learning and artificial intelligence).

Publishing Model: Open Access

Deadline: Apr 30, 2026