Sensitive photoresists for high-speed two-photon lithography

A sensitive photoresist based on zirconium oxide hybrid nanoparticles is shown to increase the linear printing speed of two-­photon lithography to the order of metres per second.

Published in Materials

Sensitive photoresists for high-speed two-photon lithography
Like

Share this post

Choose a social network to share with, or copy the URL to share elsewhere

This is a representation of how your post may appear on social media. The actual post will vary between social networks

Two-photon lithography (TPL) is a micro/nano-scale additive manufacturing printing technology that utilizes solubility change of photoresist to create fine structures1. In TPL, an excitation beam is focused by a high-numerical-aperture objective to form a submicrometre-scale focal spot in which the two-photon absorption of the photoresists occurs, triggering chemical reactions and a change in solubility of the photoresist and enabling the formation of three-dimensional (3D) microstructures. However, the typical linear printing speeds, on the order of micrometres to millimetres per second, are too low for scale-up and practical application2 (Figure 1). To make TPL a viable technology for mass production, the printing speed needs to be increased by orders of magnitude while maintaining high printing precision. One conceivable but challenging approach to achieve this goal is to increase the laser power; another possibility is to explore photoresists that are more light-sensitive to increase the printing speed under the existing laser power.

Figure 1 | Schematic illumination of the TPL machine and the two-photon exposure mode of ZrO2 hybrid photoresists. a, Polygon laser scanner-based TPL machine with a light source wavelength of 780 nm. b, Top view of the TPL machine in (a). c, Comparison of the printing speed of the photoresists in this work (m/s-level) with reported high printing speed photoresists (mm/s-level) and conventional photoresists (μm/s-level). d, Oil immersion two-photon exposure mode and structures of the initiator BTMST and the ZrO2 hybrid nanoparticle.

In lithography fields, photoresists always behave as a game-changer in the development of new lithography techniques; for example, chemically amplified resists overcome the far-insufficient brightness issue of the deep ultraviolet light source with their significantly enhanced sensitivity3. In recent years, the lithography field has again faced the brightness limit at 13.5 nm wavelength (extreme ultraviolet, EUV)4, due to the insurmountable challenges of EUV light sources and reflective mirrors5. My research group is one of the developers working on novel EUV photoresist materials, exploring metal oxide nanoparticle-based photoresists to capture and make full use of the limited EUV photons6,7. In the course of this research, we found the active ingredient of the classic ZrO2-nanoparticle photoresist, an organic-inorganic hybrid cluster composed of a ZrO2 core and a methacrylic acid ligand shell8 (Figure 1d).

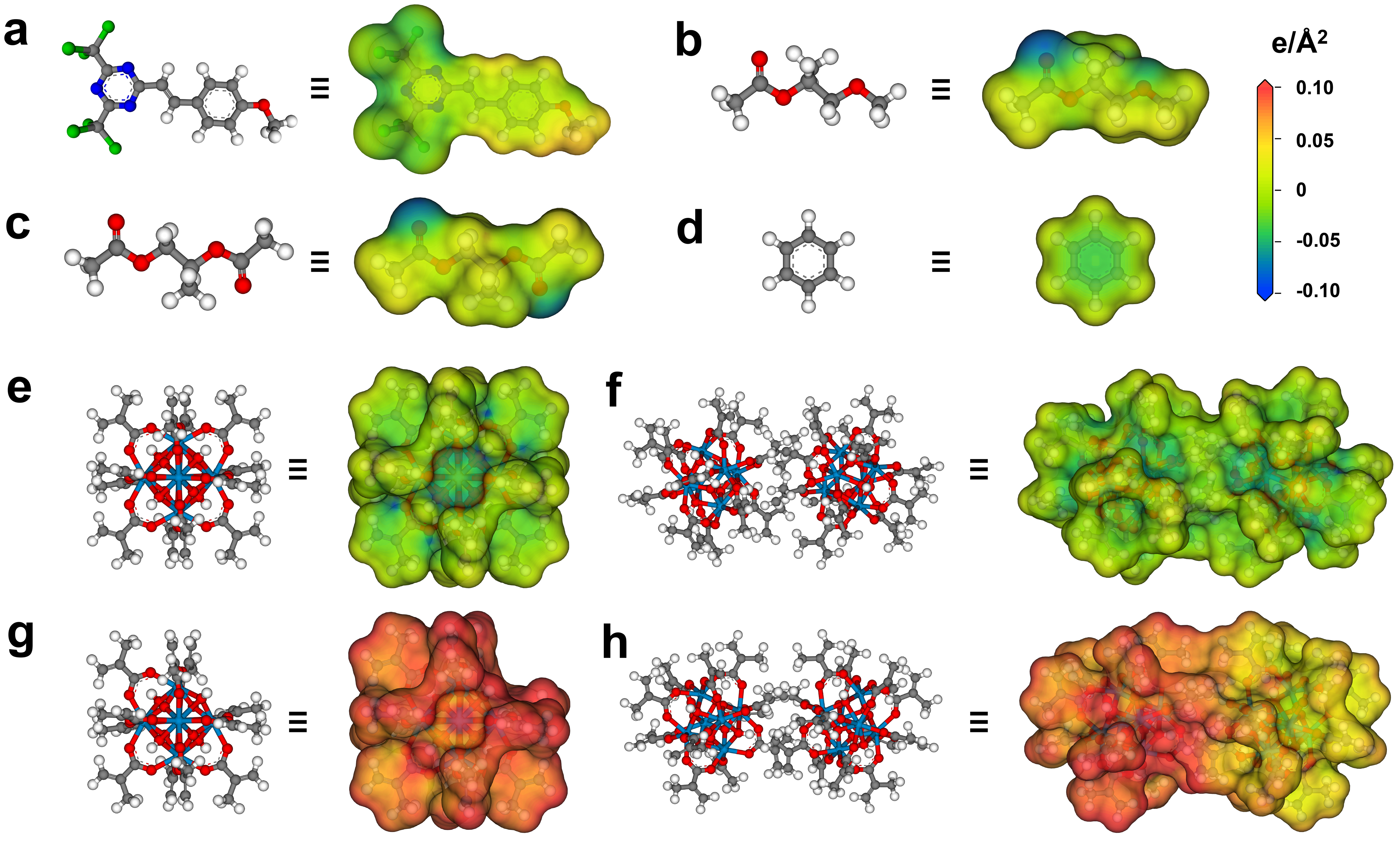
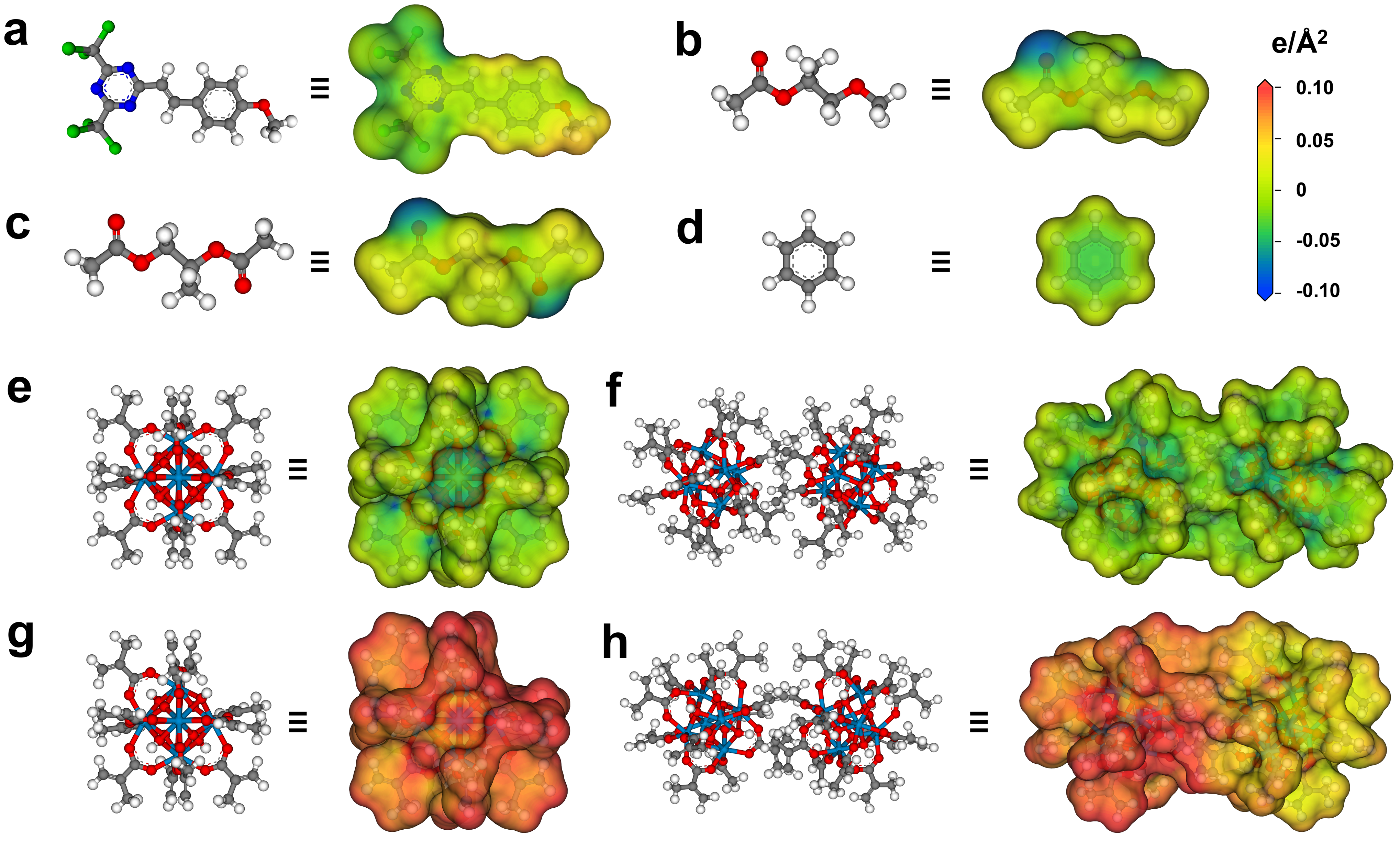
Figure 2 | DFT-COSMO simulated structures and charge distributions. a, Initiator BTMST. b, Photoresist solvent PGMEA. c, Developing solvent 1,2-propanediol diacetate. d, Benzene. e, ZrO2 hybrid. f, ZrO2 hybrid-ZrO2 hybrid aggregation (before exposure). g, ZrO2 hybrid cation. h, ZrO2 hybrid cation-ZrO2 hybrid aggregation (after exposure).

In addition to the excellent EUV lithographic performance, this ZrO2 hybrid nanoparticle exhibits extremely weak particle polarity and unexpected film-forming capabilities. ZrO2 hybrid nanoparticle has a high inorganic content (~46 wt%) and contains many polarity-prone Zr(IV) and O elements; its outer surface is unusually neutral (even comparable to a single benzene molecule), due to the efficient charge-shielding effect of the surface ligands to the inorganic core (Figure 2). The neutral nature allows ZrO2 hybrid nanoparticle extraordinary solubility in organic solvents, e.g., 50 wt% in common photoresist solvents; remarkably, even for purely organic polymers, 20 wt% is very challenging. In terms of dissolution behaviour, once the charge-shielding shell is broken, strong interparticle interactions are generated that drastically change the dissolution behaviour of the nanoparticles during the development process — a highly desirable feature for high-sensitivity photoresists.

Figure 3 | Two-photon lithographic patterns of ZrO2 hybrid photoresist. a, High-speed printing line patterns (7.77 m/s at a laser power of 12.5 mW). b, High-precision printing line patterns (60 mm/s at different laser powers). c, Line widths of printed patterns (60 mm/s as the laser power decreases from 7.0 to 6.0 mW). d, Example of complex 3D structures printed with high-precision (10 mm/s at laser powers of 4.5 mW, 13 mW and 6.0 mW; from left to right).

In 2020, Cuifang Kuang at Zhejiang University, whose research focuses on the construction of lithography systems, contacted us to develop photoresists for his TPL system. Given the challenge of the low printing speed, we proposed a plan to abandon conventional polymer or oligomer TPL photoresists in favour of a potentially more sensitive metal oxide nanoparticle one. We soon found that this scheme was feasible and, even more excitingly, the printing speed of the ZrO2 hybrid photoresist exceeded the stable operating speed of a commercial TPL machine. Inspired by this discovery, Kuang’s team built a TPL system with a polygon laser scanner system (Figure 1a), in which we eventually achieved a printing speed of 7.77 m/s — 3–5 orders of magnitude faster than that of conventional polymer-based photoresists9. Moreover, the ZrO2 hybrid photoresist enables good printing accuracy: we obtained a linewidth of 38 nm on a TPL system with a 532-nm light source (Figure 3c), which is close to the proximity of features achieved using 193-nm immersion lithography5. Finally, we realized high-precision printing of complex 3D microstructures (Figure 3d).

Figure 4 | Plausible patterning mechanism of ZrO2 hybrid photoresists. a, Photolysis of initiator BTMST to generate BTMST cation and chloride ion. b, Reaction between BTMST cation and ZrO2 hybrid to generate BTMST-MAA and ZrO2 hybrid cation. c, Aggregation between ZrO2 hybrid cation and ZrO2 hybrid to generate ZrO2 hybrid cation-ZrO2 hybrid aggregation.

The outstanding two-photon lithographic performance of the ZrO2 hybrid photoresists, especially the printing speed is even comparable to the speed of human running (Figure 1c), was beyond our imagination at the beginning of the project. This led us to investigate the underlying mechanism of the unusually high sensitivity of ZrO2 hybrid photoresists. Through spectroscopic experiments combined with theoretical calculations, we found that upon two-photon absorption, the initiator, 2,4-bis(trichloromethyl)-6-(4-methoxystyryl)-1,3,5-triazine (BTMST) undergoes heterolysis to produce active cationic species (Figure 4a) that induce ligand dissociation of the ZrO2 hybrid nanoparticles (Figure 4b). Since the inorganic core of ZrO2 hybrids consists of a large amount of Zr(IV) and O elements, they can easily generate polar sites (notes: pure ZrO2, or zirconia, is a synthetic diamond with a hardness only slightly lower than that of the diamond due to the strong Zr-O interactions10). Before TPL exposure, the ZrO2 hybrid nanoparticles exhibit an extremely neutral surface charge distribution (Figure 2e) and an incredibly high solubility in organic solvents due to the efficient charge-shielding effect of the ligand, whereas the disruption of the charge-shielding shell during TPL exposure results in the formation of a cationic ZrO2 hybrid (Figure 2g), leading to interparticle interactions and aggregation (Figure 2h and Figure 4c). These interactions drastically alter the solubility of the nanoparticles, enabling efficient two-photon lithography.

You can read more about our work in our article in Nature Nanotechnology following the link: https://doi.org/10.1038/s41565-023-01517-w

References:

  1. Kawata, S., Sun, H. B., Tanaka, T. & Takada, K. Finer features for functional microdevices. Nature 412, 697-698 (2001).
  2. Geng, Q., Wang, D., Chen, P. & Chen, S. C. Ultrafast multi-focus 3-D nano-fabrication based on two-photon polymerization. Nat. Commun. 10, 2179 (2019).
  3. Ito, H. Chemical amplification resists: inception, implementation in device manufacture, and new developments. J. Polym. Sci. Part A: Polym. Chem. 41, 3863-3870 (2003).
  4. Bourzac, K. A giant bid to etch tiny circuits. Nature 487, 419 (2012).
  5. Wagner, C. & Harned, N. EUV LITHOGRAPHY Lithography gets extreme. Nat. Photonics 4, 24-26 (2010).
  6. Xu, H., Kosma, V., Giannelis, E. P. & Ober, C. K. In pursuit of Moore’s Law: polymer chemistry in action. Polym. J. 50, 45-55 (2018).
  7. Wang, X. et al. Trends in photoresist materials for extreme ultraviolet lithography: A review. Mater. Today 67, 299-319 (2023).
  8. Sheng, L. et al. Suppressing electrolyte-lithium metal reactivity via Li(+)-desolvation in uniform nano-porous separator. Nat. Commun. 13, 172 (2022).
  9. Arnoux, C. et al. Polymerization photoinitiators with near-resonance enhanced two-photon absorption cross-section: Toward high-resolution photoresist with improved sensitivity. Macromolecules 53, 9264-9278 (2020).
  10. Gerberich, W. W. et al. Toward demystifying the Mohs hardness scale. J. Am. Ceram. Soc. 98, 2681-2688 (2015).

Please sign in or register for FREE

If you are a registered user on Research Communities by Springer Nature, please sign in