Simulating topological invariant number using defect spins in diamond

In this work, we use a two-qubit, easily-controllable system — consisting of the electronic and nuclear spins of a nitrogen vacancy (NV) color center in diamond — to vary experimentally the topologically-invariant Chern number, with values ranging from 0 to 3.

Published in Physics

Simulating topological invariant number using defect spins in diamond
Like

Share this post

Choose a social network to share with, or copy the URL to share elsewhere

This is a representation of how your post may appear on social media. The actual post will vary between social networks

Introduction

The NV-diamond qubit platform provides a versatile tool for investigating quantum phenomena. It offers a multitude of well-controlled experimental degrees of freedom, making it a robust and tunable quantum simulator for studying complex and dynamic Hamiltonian models and properties that are otherwise challenging to explore. For example, researchers have used a single NV center to explore 2D synthetic quantum Hall physics [1], a topological phase transition of a quantum wire [2], and a synthetic monopole source in the Kalb-Ramond field [3].

Simulating topological invariants using qubits

The Chern number is a topological invariant number, e.g., associated with the electronic band structure of materials. For a two-dimensional lattice system, points where two bands touch, such as the Dirac points located at the Brillouin zone, serve as sources of Berry flux in momentum space. The Chern number, obtained through integrating the Berry curvature over the Brillouin zone, exhibits a non-zero value when degeneracy points called Dirac points are present. In a two-level system, the degeneracy point analogous to the Dirac point is the resonance point, at which the length of the Bloch vector (representing the eigenvalue of the qubit Hamiltonian) becomes zero.

In 2012, Gritsev et al [4]. proposed a method for measuring the Chern number in a qubit platform. The approach involves evaluating the integral of the deviation of the qubit's Bloch vector from the trajectory of a time-varying Larmor vector on a hemispherical surface, which arises from a nonadiabatic response. Classically, the motion of a particle in a curved space deviates from a straight trajectory, and this curvature can be manifested through an effective force. An example of this is a charged particle moving in a magnetic field, which experiences a Lorentz force. Similarly, in the Hilbert space of a qubit, the Berry curvature can be observed by measuring the deviation of the qubit response as it follows the curved sweep path of a Larmor vector. Numerous qubit platforms have demonstrated Chern number transition measurements from 0 to 1 [5] and 0 to 2 [6], but not yet from 0 to 3, before our work.

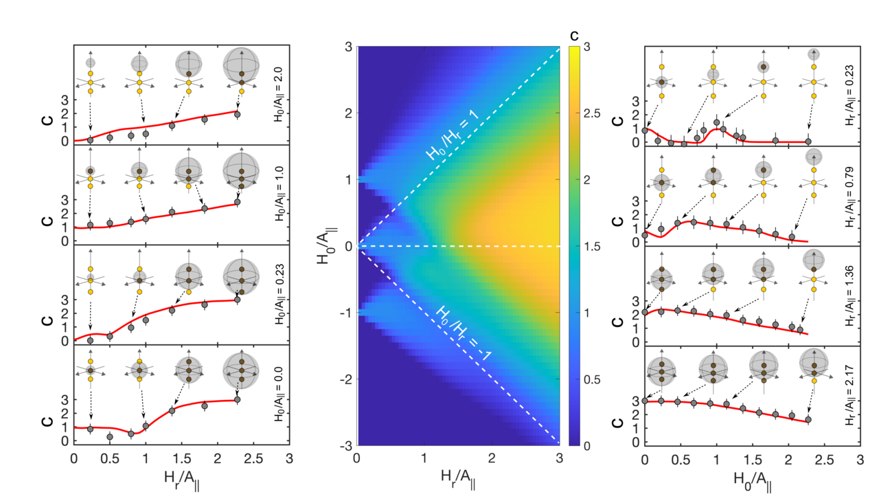
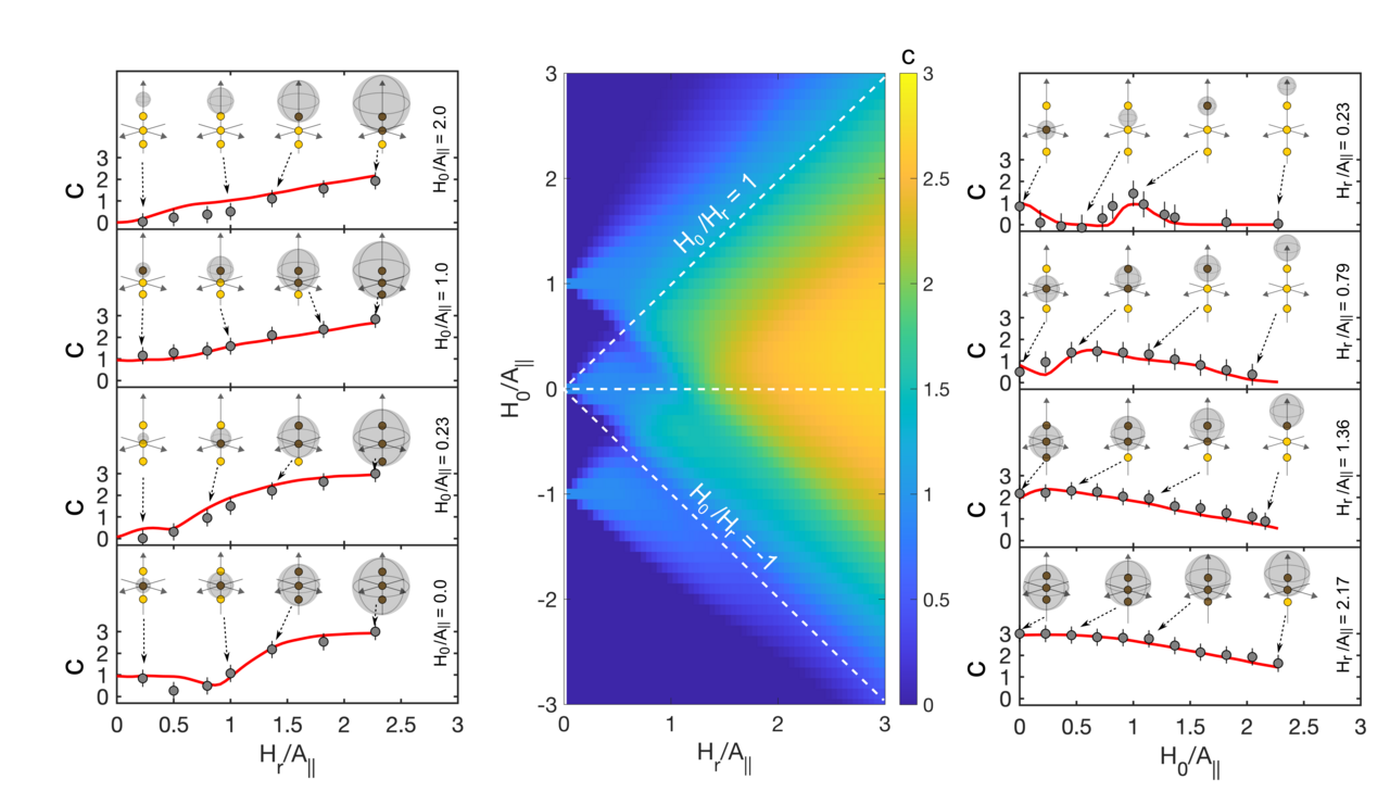
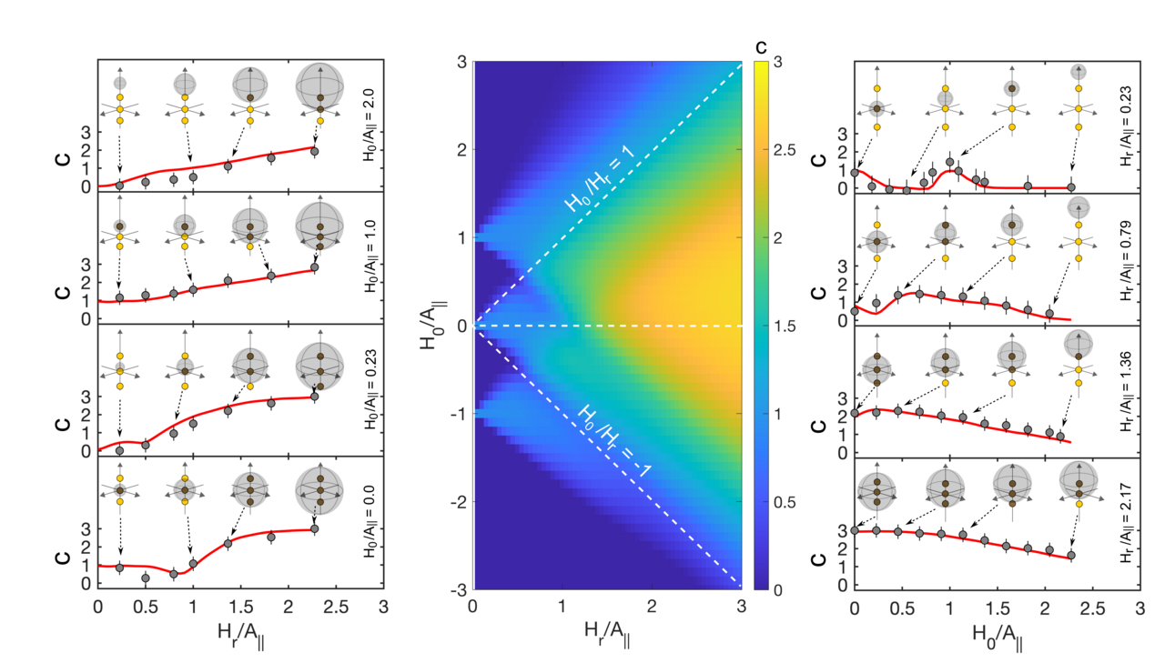
Tunable Chern number up to 3

Figure 1. Schematic of Chern number measurement with an NV center in diamond. a, Left: Trajectory of the Larmor vector  is represented by a thick blue arrow in the spherical control Hamiltonian parameter space. The yellow circles represent the degeneracy points of the system Hamiltonian. Right: Time evolution of the NV electronic spin Bloch vector  is represented by the red arrow on the Bloch sphere. The Bloch vector path deviates from the Larmor vector path due to a nonadiabatic response. The red filled area indicates the amount of deviation, a summation of which over the path is related to the Chern number. b, NV center energy level diagram. The NV ground states consist of  electronic spin sublevels, which are further split by hyperfine interactions with the host 14N nuclear spin. Three hyperfine transitions between  and  electronic spin sublevels (yellow double-arrows) define three degeneracy points in the rotating frame with angular speeds of , where  is the parallel component of the hyperfine tensor.

In the present work, we employ the Gritsev et al protocol to experimentally investigate the transition of the Chern number from 0 to 3. This is achieved by utilizing three degeneracy points corresponding to the ground-state spin energy levels of a single NV center in diamond (see Figure 1). The value of the Chern number is determined by the count of degeneracy points within the static internal Hamiltonian, which are enclosed by a control Hamiltonian sphere defined by the Larmor vector. Each degeneracy point can be interpreted as a synthetic magnetic monopole, generating radial synthetic magnetic fields that induce a torque on the Bloch vector.

By manipulating the geometric properties of the control Hamiltonian sphere, we systematically investigate the transition between different Chern numbers ranging from 0 to 3. This enables us to construct a two-dimensional topological phase transition diagram for a three-monopole Hamiltonian system.

Discussion and perspective

The investigation of higher Chern numbers and the study of transitions between different Chern numbers are of great interest in current research, relevant to both fundamental physics and practical technology. For instance, high Chern number phases observed in quantum anomalous Hall insulators have the potential to be utilized in low-power-consumption electronics, as the contact resistance between normal metal electrodes and chiral edge channels decreases with increasing Chern number [7-9].

Furthermore, the systematic design of the Hamiltonian parameter sphere in the present study unveils detailed topological structures involving three synthetic monopoles and highlights the intriguing Chern number physics associated with the adiabatic evolution of the system. This method can be extended to various qubit platforms to explore higher-dimensional topology, such as simulating the topology of non-interacting 2N band models [6] in condensed matter physics. Moreover, the tunability of the topological invariant in qubit systems opens up avenues for exploring more exotic forms of topology, thereby contributing to the field of topological quantum information science. 

References

[1]      Boyers, E., Crowley, P. J. D., Chandran, A. & Sushkov, A. O. Exploring 2D Synthetic Quantum Hall Physics with a Quasiperiodically Driven Qubit. Phys. Rev. Lett. 125, 160505 (2020).
[2]      Kong, F. et al. Direct measurement of topological numbers with spins in diamond. Phys. Rev. Lett. 117, 060503 (2016).
[3]      Chen, M. et al. A synthetic monopole source of Kalb-Ramond field in diamond. Science (80-. ). 375, 1017–1020 (2022).
[4]      Gritsev, V. & Polkovnikov, A. Dynamical quantum Hall effect in the parameter space. Proc. Natl. Acad. Sci. 109, 6457–6462 (2012).
[5]      Schroer, M. D. et al. Measuring a topological transition in an artificial spin-1/2 system. Phys. Rev. Lett. 113, 050402 (2014).
[6]      Roushan, P. et al. Observation of topological transitions in interacting quantum circuits. Nature 515, 241–244 (2014).
[7]      Chang, C.-Z. et al. Zero-Field Dissipationless Chiral Edge Transport and the Nature of Dissipation in the Quantum Anomalous Hall State. Phys. Rev. Lett. 115, 057206 (2015).
[8]      Wang, J., Lian, B., Zhang, H., Xu, Y. & Zhang, S.-C. Quantum Anomalous Hall Effect with Higher Plateaus. Phys. Rev. Lett. 111, 136801 (2013).
[9]      Fang, C., Gilbert, M. J. & Bernevig, B. A. Large-Chern-Number Quantum Anomalous Hall Effect in Thin-Film Topological Crystalline Insulators. Phys. Rev. Lett. 112, 046801 (2014). 

Please sign in or register for FREE

If you are a registered user on Research Communities by Springer Nature, please sign in

Follow the Topic

Physics and Astronomy
Physical Sciences > Physics and Astronomy

Related Collections

With Collections, you can get published faster and increase your visibility.

Quantum-Enabled Bioimaging

This collection aims to foster interdisciplinary collaboration, bridging the gap between quantum physics and biomedicine, and to encourage innovative quantum-enabled approaches that can redefine our understanding of complex biological processes.

Publishing Model: Open Access

Deadline: Aug 04, 2026

Algorithms, Protocols and Architectures for Early Fault Tolerance

This collection will serve as a platform to explore how quantum advantage could be best achieved using the early fault-tolerant machines that are expected to emerge in the coming years and may enable us to perform millions to trillions of quantum gate operations.

Publishing Model: Open Access

Deadline: Jun 25, 2026