Suppression of phase transitions and glass phase signatures in mixed cation halide perovskites

Hybrid perovskites are extensively investigated materials for effective and affordable solar cells. We use a combined experimental and computation approach to study structural phase transitions and electric dipole dynamics in the novel mixed methylammonium/dimethylammonium hybrid perovskites.
Suppression of phase transitions and glass phase signatures in mixed cation halide perovskites
Like

Share this post

Choose a social network to share with, or copy the URL to share elsewhere

This is a representation of how your post may appear on social media. The actual post will vary between social networks

The methylammonium (MA, CH3NH3+) lead halides MAPbX3 (X = I, Br, Cl) are extensively investigated perovskite-structured (ABX3) materials employed as effective and affordable solar cells. The best performing, most stable perovskite solar cells are obtained by mixing different A-site cations. The power conversion efficiency of cells based on these mixed-perovskite compounds has rapidly exceeded more than 25% during the past decade, resulting in a significant academic and commercial interest.

It is well established that mixing may significantly perturb structural phase behavior for classical inorganic oxide perovskite materials. Long-range electric dipole order can be suppressed, and frustrated phases, such as relaxor or dipolar glass, may emerge. Therefore, we hypothesized that similar behavior might be expected in mixed hybrid halide perovskite materials. However, despite significant literature focused on improving the performance of these materials, a comprehensive understanding of mixing effects on the dipolar dynamics, dielectric properties, or structural phase behavior was absent.

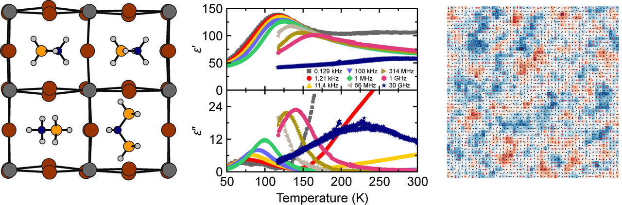
In this work, we used a comprehensive set of experimental and theoretical tools to study the structural phases and molecular cation dynamics in mixed methylammonium/dimethylammonium MA/DMAPbBr3 hybrid perovskites1. We focused our experimental techniques on ultra-broadband dielectric spectroscopy, X-ray diffraction, and measurements of the ultrasonic and thermal properties. We found measuring the dielectric spectroscopy to be the most challenging - probing approximately twelve orders of magnitude of the frequency domain (mHz - GHz) and a wide temperature range (see Figure below). Such unique ultra-broadband measurements of the complex dielectric permittivity require high-quality single crystal samples and a combination of different experimental approaches ranging from LCR meters to homebuilt waveguide setups.

Temperature dependence of the real and imaginary parts of the complex dielectric permittivity at selected frequencies of MAPbBr3 and MA0.79DMA0.21PbBr3 single crystal compounds measured on cooling.

Our results indicate that even a low concentration of the DMA cations significantly perturbs the expected phase behavior of the inorganic lead-halide framework. For higher DMA levels (~20%), we observed signatures that suggest the frustration of electric dipoles, and indications of the formation of a dipolar glass phase. However, whilst our experimental measurements demonstrated that mixed hybrid halide perovskites show behavior similar to oxide perovskites, as hypothesized, we were still uncertain of the underlying physical mechanism.

We turned to computational techniques to provide some answers. Due to our experimental measurements, it was initially thought that the lowest energy crystal structure of the mixed perovskite system would be cubic. However, upon an in-depth computational analysis it was found that a distorted tetragonal structure, stabilized by a hitherto unknown molecular order, was much lower in energy; in contradiction to our experimental results. Finding the molecular configuration was particularly challenging, requiring the implementation of a novel python code and over one thousand individual calculations. With this new information we were then able to perform accurate Monte-Carlo simulations to probe the impact of DMA inclusion into the perovskite structure.

From these results we were able to postulate that the experimentally measured cubic structure resulted from the macroscopic spatial average of microscopic regions of differently orientated, equivalent distorted structures. Using this insight, we demonstrated that by distorting the crystal structure, the inclusion of DMA molecules frustrates the dynamical motion of the neighbouring MA molecules. Consequently, long range dipole (molecular) order is disrupted supporting the experimental observation seen in the dielectric spectroscopy. Furthermore, this demonstrated that the ordering of molecular cations is a fundamental process to reproduce the expected phase transitions of halide perovskite materials.

All these aspects are highly important for understanding and improving the performance and stability of the photoactive phase of perovskite solar cells and associated technologies. We anticipate that the observed phase transition suppression and the indications of a glassy phase might be observed in a wide-range of mixed perovskite compounds and could be invoked using different mixing recipes at all three lattice sites of the hybrid perovskites.

The insights gained from this study would not have been possible if it were not for the combination of both experimental and computational results. Such a multi-technique approach was only realized due to a strong international collaboration between several research groups, established at Vilnius University (Lithuania), Wroclaw University of Science and Technology (Poland), the Institute of Low Temperature and Structure Research (Polish Academy of Sciences, Poland) and Imperial College London (UK).

References

1. Simenas et al. Suppression of phase transitions and glass phase signatures in mixed cation halide perovskites. Nat. Commun., 11, 5103 (2020).

Please sign in or register for FREE

If you are a registered user on Research Communities by Springer Nature, please sign in

Follow the Topic

Electrical and Electronic Engineering
Technology and Engineering > Electrical and Electronic Engineering

Related Collections

With Collections, you can get published faster and increase your visibility.

Women's Health

A selection of recent articles that highlight issues relevant to the treatment of neurological and psychiatric disorders in women.

Publishing Model: Hybrid

Deadline: Ongoing

Biosensing

With this cross-journal Collection, the editors of Communications Biology, Nature Biomedical Engineering, Nature Sensors, Nature Communications, and Scientific Reports welcome the submission of primary research Articles focusing on the development of engineered biosensing devices with the potential to be applied in biomedical research and in the management of disease conditions.

Publishing Model: Hybrid

Deadline: Jun 30, 2026