Tough Choices: Defining national net zero goals is critical for food and land use policy

Development of Net-Zero pathways within the Agriculture Forestry and Other Land Use sector is vital for effective policy, but national definitions lack clarity. An Irish study shows how NZ outcomes vary widely, depending on the applied definition.
Like

Share this post

Choose a social network to share with, or copy the URL to share elsewhere

This is a representation of how your post may appear on social media. The actual post will vary between social networks

Murky Definitions of Net-Zero

151 countries are aiming for 'Net Zero' (NZ), however, the definitions of these goals are relatively inconsistent, including terms such as: 'net-zero', 'climate neutral' and 'carbon-neutral'. This poses a significant problem when the definitions, scope and implementation are unclear. 
This lack of national level clarity poses particular a challenge for defining actionable pathways to NZ within the Agriculture Forestry and Other Land Use (AFOLU) sector, owing to difficult-to-abate methane and nitrous oxide emissions. 

Unpacking the Challenge

Clear, actionable NZ definitions are essential for guiding land-use decisions. Should nations prioritize large-scale afforestation, modifications to livestock practices, or a blend of strategies? Without precise targets, well-intentioned efforts within the AFOLU sector may fall short of their intended climate impact, or have unintended negative impacts such as increased long-term emissions, or negative socio-economic outcomes. 

The Irish Case Study

Livestock farming is prominent in Ireland, particularly in the production of dairy products and beef, exporting most of its production. Consequently, the Irish AFOLU sector emits a lot of methane, contributing to over 40% of the nation’s GHG emissions. Pathways to NZ (by 2050) are therefore likely to involve transformative change. Our study explores the land use combinations necessary to achieve NZ under various NZ definitions and examines the potential effects on national milk and beef production, with and without additional ambitious GHG abatement measures.

Our Approach

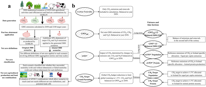
We used the national biophysical AFOLU model, GOBLIN, to generate 3000 randomised scenarios of Irish agricultural activities (including varying production efficiencies) and land use combinations to the year 2050, and beyond (2100) (Figure 1a).

Figure 1 a. A workflow indicating generation, abatement modification, NZ filtering, and subsequent post hoc analysis of 3000 scenarios of future agricultural production and land use combinations in Ireland.

Figure 1 b. Summary of NZ definitions applied in this study

Our analysis focused on what works if livestock numbers stay the same or decrease. In terms of alternative land uses, we included the most feasible options: more forests, restoring wetlands, less intensive grasslands. Posthoc, we also explored cutting farm emissions by 30% (this is ambitious, but technically possible). Then we filtered our outcomes against ten differing NZ defintions (Figure 1b).

Unpacking NZ Definitions

Reaching NZ emissions means different things depending on how you count them. We explored several ways to define it for Ireland:

  • Carbon Only: Just balance out carbon dioxide (CO2) emissions – the most easily achievable option, but ignores the warming effect of other greenhouse gases.
  • GWP100: The standard approach. Balances ALL greenhouse gases, but disregards the different timescales of warming linked with different gases.
  • GWP*: A newer method. Accounts for how long different gases stay in the atmosphere to improve estimates of warming effect through time, and recognises the distinct non-zero
  • Methane Targets: Sets a specific limit for methane emissions based on downscaling of global methane emissions compatible with climate stabilisation (important since Ireland has lots from livestock). How the limit is set impacts fairness between countries.

The Fairness Factor:

  • Grandparenting: Countries use recent global emissions levels as a baseline against which to target equal % reductions across countries (allows historical polluters to keep emitting relatively more).
  • Population-Based: The target global emission level is shared across countries based on number of inhabitants (everyone is attributed an equal “share” of “allowable” global methane emissions).
  • Protein-Based: The target global emission level is shared across countries based on how much animal-based protein (meat, dairy) a country produces. 

It's Not Just About 2050:

Some definitions consider the long-term warming impact out to the year 2100, which is vital to ensure that achieving NZ can be sustained beyond 2050.

    Results

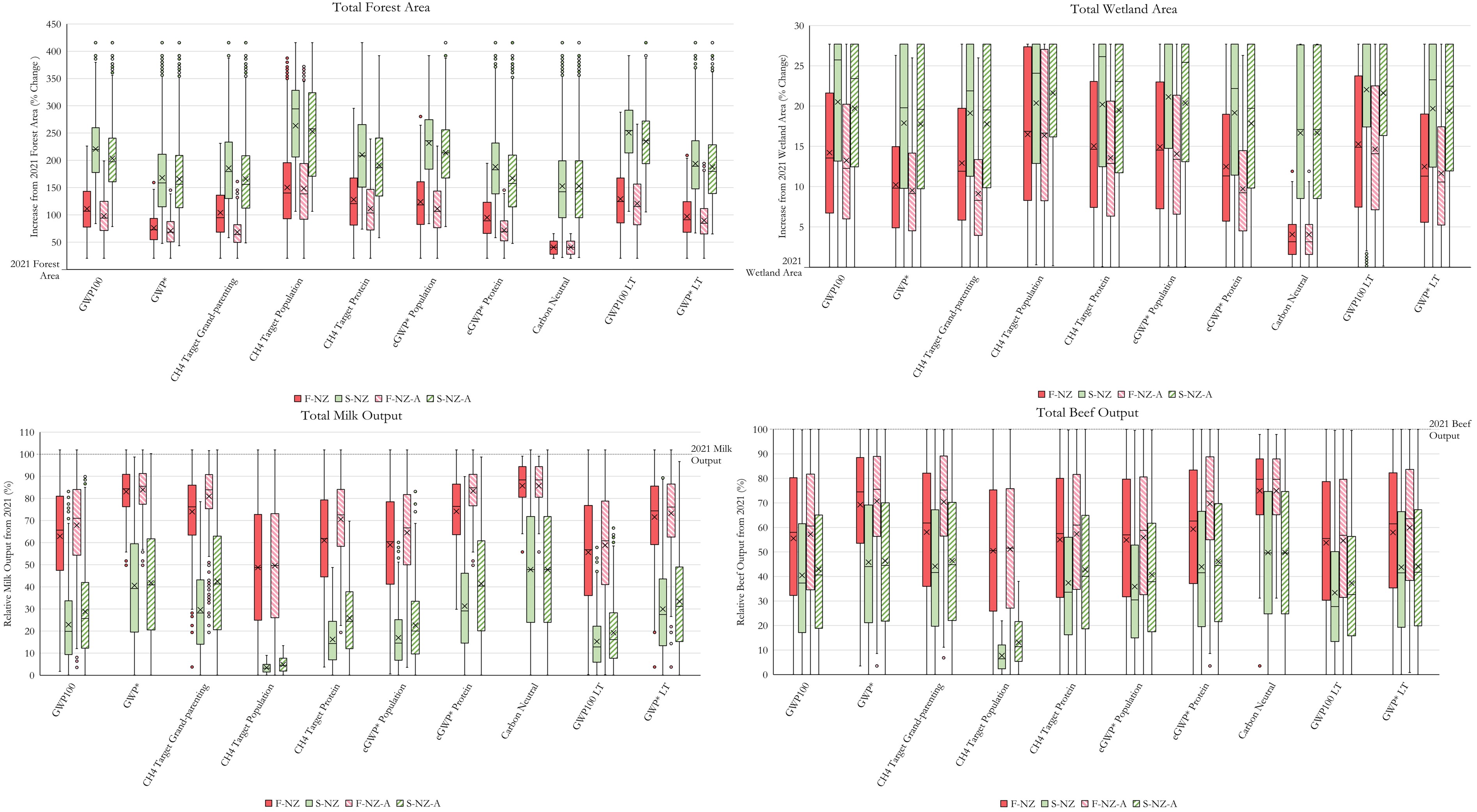
    Figure 2. Total forest and wetland area, and total milk output and beef liveweight output variation generated by the 3000 scenarios that fit within the different definitions of NZ as percentage changes from 2021 values.

    Figure 2. captures the scale of change in terms of land use, and livestock output across the scenarios under the various definitions of NZ. The boxes represent the middle 50% of scenarios, with larger boxes signifying greater variation in outcomes. The line within the box represents the median value, and the 'X' represents the average value. Lastly, the whiskers represent the min and max values, with the dots (beyond the whiskers) representing outliers. 

    Labels:

    • F-NZ: Scenarios that FAILED to NZ conditions
    • S-NZ: Scenarios that SUCCEEDED in meeting NZ conditions
    • '-A': Versions of the scenarios with abatement efforts  to reduce emissions

    Three Key Findings

    Analysing 3000 scenarios generated a wealth of information that can be difficult to interpret. Here, we distil the information into three key messages.

    #1: NZ Definitions

    NZ definitions matter, A LOT.  Some definitions made it much easier to reach Net Zero. These were:

    • 'Carbon neutrality' (only balancing carbon dioxide).
    • 'GWP*' (accounting for shorter lifespan of methane).
    • 'CH4 Target Grandparenting' (less strict methane targets for countries with historically high emissions).

    Conversely, definitions that posed the most significant challenge for Ireland to achieve were:

    • 'CH4 Target Population' (strict methane targets based on population size)
    • Long-term versions of 'GWP100' (standard method, but out to the year 2100).

    The former definitions may be perceived as “unfair” by other countries because they allow Ireland to maintain disproportionately high emissions of methane (and nitrous oxide).The latter definitions may be perceived as “unfair” to Ireland, given that they don’t take into account the distinct warming effect of methane through time.

    #2: Big Challenges Require Big Changes .... Whatever Way You Slice It

    • All scenarios that hit NZ (any definition) saw significant increases in forest cover and wetland restoration.
    • Milk and beef production generally decreased to some degree, even with technology to reduce emissions.

     #3: Livestock Production Trade-off

    • Not possible to maintain current levels of BOTH dairy and beef production under all-but-one NZ definition.
    • The exception was 'carbon neutrality', but this ignores the major warming impact of nitrous oxide and methane emissions from (livestock) agriculture.
    • Some definitions allowed for baseline dairy populations to be maintained, but with significantly lower suckler beef numbers. 
    • Stricter methane targets generally translate to lower levels of dairy production.

    Looking to the Future

    Our study shows just how much the definition of NZ could shape Ireland's future landscape. Policymakers need clarity NOW – different definitions lead to vastly different trade-offs for the environment, the economy, and rural communities. Tough choices lie ahead, and will only become more difficult with delay - clarity is urgently needed to plan a just transition. 

    But one thing's for sure: big changes are required. More forests, restored wetlands, and likely fewer livestock are needed under ALL NZ definitions. This will transform the landscape, so change must be managed carefully. A just transition requires buy-in from ALL stakeholders.

    Finally, actions like planting forests take time to deliver benefits. Delaying decisions due to fuzzy NZ goals makes the challenge harder AND risks missing out on economic opportunities that can support a just transition. Clear targets, ideally agreed upon internationally, are urgently needed.

    Our sincere thanks to the study co-authors:  Rémi Prudhomme, Annette Cowie, Cathal O’Donoghue, Michelle Cain & Gary J. Lanigan

    Please sign in or register for FREE

    If you are a registered user on Research Communities by Springer Nature, please sign in

    Follow the Topic

    Sustainability
    Research Communities > Community > Sustainability
    Environmental Sciences
    Physical Sciences > Earth and Environmental Sciences > Environmental Sciences

    What are SDG Topics?

    An introduction to Sustainable Development Goals (SDGs) Topics and their role in highlighting sustainable development research.

    Continue reading announcement

    Related Collections

    With Collections, you can get published faster and increase your visibility.

    Geology of the Moon

    This collection focuses on the Geology of our Moon and new insights we gain from remote sensing data, meteorites and returned samples, and modeling efforts.

    Publishing Model: Hybrid

    Deadline: Jan 31, 2026

    Archaeology & Environment

    ​In this cross-journal Collection, we invite research that provides insight into the interactions between humans and our environment throughout our evolutionary history.​​

    Publishing Model: Hybrid

    Deadline: Mar 31, 2026