We should pay more attention to attention

Why I think it is important to study attention in school children

Published in Neuroscience

We should pay more attention to attention
Like

Share this post

Choose a social network to share with, or copy the URL to share elsewhere

This is a representation of how your post may appear on social media. The actual post will vary between social networks

The complexity of education means that any focus of potential educational research can only be justified by its usefulness in comparison to all the other variables that could be studied. It is not enough to be able to argue that something may have educational relevance; rather we need to be able to demonstrate why ‘focus x’ is likely to be a better bet than focusing on y or z instead. With this in mind, here are four reasons why I think that my field of study, attention skills in school children, satisfies this criteria of comparative worthiness, and why it therefore deserves more attention from educational researchers than it currently receives.

  1. Attention is the gateway to cognition 
  2. Attention directly impacts school attainment across the whole spectrum - not just at the lowest ends
  3. Attention may mediate other key variables which contribute to school success
  4. Attention skills likely impact on our happiness

1. Attention is the gateway to cognition

Attention is a fascinating cognitive ability to study because it straddles the boundaries between low-level and higher-level brain processes. Whilst the exact relationship between attention and other cognitions such as working memory and intelligence is still being mapped out, the fact that attention can operate so early in the processing stream makes it inevitable that it will have effects on any attempt to use the information further down the line. We cannot process what we don’t let in. Although a little outdated now, the Multi-Store Model of Memory (Atkinson & Shiffrin, 1968) is a useful visual illustration of this attentional bottleneck into our memory systems.

The Multi-Store Model of Memory

At it’s most basic then, ‘attention’ describes the ability to select and processing of information from the surrounding environment. To illustrate how this affects real-life performance, individuals found to display good visual and working memory capacity have been shown to be more efficient at actively suppressing salient distractors (Gazzaley, 2011; Zanto & Gazzaley, 2009). In contrast, the inability to filter out such competing stimuli predict low working memory capacity (Gaspar et al., 2016). To relate this to the diagram above, if we are allowing in irrelevant information through the attentional bottleneck, then our ability to process and manipulate the information in the way that we want to will be hindered by the increased presence of competing distractors. The beneficial effects of an efficient attention system can be seen very early on in development. Attention skills as an infant predict intelligence as an adolescent (e.g. Bernstein & Sigman, 1968; McCall & Carriger, 1993), creating discrepancies of up to 20 IQ points in combination with environmental differences (Sigman, Cohen & Beckwith, 1997).

Most of the goals of education involve much ‘higher-level’ cognitive processes, such as reasoning, creativity and long-term memory integration. For this reason, it could seem sensible to focus all of our research attention on these skills as well. However, this is to neglect the fact that if we ever want to understand or improve the functioning of a higher level process, we need to ensure that all the supporting lower-levels are working properly first.

2. Attention directly impacts on school attainment for ALL students

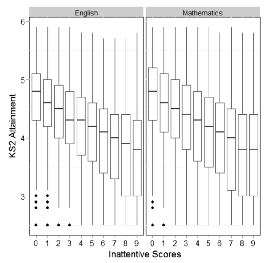
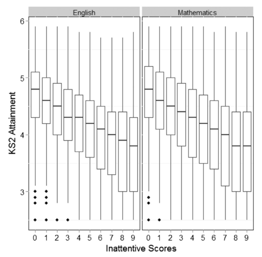
It’s hardly news that distracted students are a common bugbear amongst teachers, and few would dispute the general sentiment that attention is important to education, but oddly there has been little serious investigation (outside of children diagnosed with ADHD) into precisely when and how attention skills impact students in the classroom. This is strange because there is good evidence that attention skills (or lack of them) strongly predict academic attainment in subsequent years for all students, not just those with ADHD diagnoses (Breslau et al., 2009; Duncan et al., 2007; Merrell et al., 2016), with the effects of inattention potentially becoming more detrimental the further students progress through education (Merrell and Tymms, 2001). Importantly, these effects are no means isolated to the tail of the distribution; they are felt well beyond the confines of the clinical ‘ADHD’ boundary. The plot below from Merrell et al. (2016), for example, demonstrates a linear relationship between inattention scores at age 5 and Key Stage 2 performance in Maths and English; even relatively minor decreases in attention skills have a measurable impact on school attainment.

Box and whisker plot showing relatively linear decreases in attainment at age 11 by number of criteria met relating to inattention at age 5. Taken from Merrell et al. (2016)

3. Attention may mediate other key variables which contribute to school success

There is evidence that attention may be an important mediating factor in a number of other key skills needed for school readiness. Barriga et al. (2002) examined a range of psychological and behavioural complaints in teenagers (withdrawal, somatic complaints, delinquent behaviour, and aggressive behaviour) and found that attention significantly mediated the relationship between all of these and academic achievement. In other words, attention skills (or lack of) played a significant role in determining whether these factors actually did end up having a detrimental effect on students. 

Also, whilst we know that ADHD will often co-occur with other executive deficits such as self-monitoring and working memory, it is less widely known that this relationship is also present in non-clinical samples (Gathercole et al., 2008), so even relatively minor problems of attention can be magnified through their relationship to other crucial skills. Admittedly the direction of causality in this case is not as clear-cut, but again this is at least indicative of the the broad importance of attention skills to general school readiness and success.

4. Attention skills impact on happiness

In addition to the direct effects of distraction on educational attainment, there are other important social and emotional consequences of everyday inattention. Emerging evidence from a number of fields suggests that the ability to control the focus of one’s attention and to resist distraction may be an important factor in people’s experience of general well-being and happiness. 

Firstly, people who are distracted often report reduced happiness. For example, distraction by social media (Brooks, 2015) and text messaging (Kross et al., 2013). Being distracted by your own thoughts is also increasingly implicated in negative mood changes. Mind wandering is associated with reduced happiness - a finding that has been noted in both laboratory (Smallwood, Fitzgerald, Miles & Phillips, 2009) and real world contexts (Killingsworth & Gilbert, 2010), especially ‘spontaneous’ mind wandering (the unintentional drifting of one’s thoughts from a focal task toward other, task-unrelated thoughts; Seli, Risko & Smilek, 2016).

Secondly, people who are sad often report increased distractibility. Distractibility is commonly recognised as a symptom in depression and other affective disorders (e.g. Mialet, Pope & Yurgelun-Todd, 1996) and artificially lowering participants’ mood during an experiment has been shown to lead to an increase in their distractibility (Pacheco-Unguetti & Parmentier, 2014).

Clearly, it is likely that these findings are at least partially related to the other two points above. If you have the requisite attention skills for educational success then it is likely that you will also be happier for lots of other reasons as well. However, lab experiments of distraction which have measured mood usually find that the effect on mood (for most participants) is relatively short lived. This suggests that, rather than simply reflect general life circumstances, there is often something inherently unpleasant about the act of being distracted from a main focus, which therefore affects our mood accordingly1.

We know it's important... but that's pretty much it for studies in schools

The four points above aimed to establish why I think attention skills are worthy of greater focus from both researchers and schools. If we accept the argument so far, then a range of other questions present themselves. What are the specific differences between children with 'good' and 'bad' attention control? How do problems like distractibility manifest themselves at different ages? How long are children of different ages able to focus their attention productively in different academic situations? Are there any reliable early signs of approaching inattention that can be identified in students? What conditions make distraction more likely? And perhaps most importantly of all: what, if anything, can be done to reduce inattention in the classroom?

It is notable how few answers we have to these questions for school age children. We are closer to some answers for studies using university students, often in lecture settings, but it is not always clear how these findings should be applied to younger children and school settings. I am optimistic that a greater understanding of such processes over the next few years could lead to a number of relatively simple pedagogical or environmental strategies to improve attention in the classroom. If, that is, we pay a little more attention to them.

Notes:

1. The fact that the effect is short lived does not diminish its potential to have longer-term impacts. A short term effect that is being experienced on a very regular basis can quickly develop into something much more serious. In this way a person experiencing very frequent distraction may begin to experience more severe and longer-lasting mood changes.

2. This post was adapted from a longer entry on my personal blog

References

  • Duncan, G. J., Dowsett, C. J., Claessens, A., Magnuson, K., Huston, A. C., Klebanov, P., … Zill, N. (2007). School Readiness and Later Achievement. Developmental Psychology, 43(6), 1428–1446. Retrieved from http://dx.doi.org/10.1037/[0012-1649.43.6.1428].supp
  • Merrell, C., Sayal, K., Tymms, P., & Kasim, A. (2016). A longitudinal study of the association between inattention, hyperactivity and impulsivity and children’s academic attainment at age 11. Learning and Individual Differences. http://doi.org/10.1016/j.lindif.2016.04.003
  • Merrell, C., & Tymms, P. B. (2001). Inattention, hyperactivity and impulsiveness: their impact on academic achievement and progress. British Journal of Educational Psychology, 71(1), 43-56.
  • Barriga, A. Q., Doran, J. W., Newell, S. B., Morrison, E. M., Barbetti, V., & Robbins, B. D. (2002). Relationships Between Problem Behaviors and Academic Achievement in Adolescents The Unique Role of Attention Problems. Journal of Emotional and Behavioral Disorders10 (4), 233-240. 
  • Gaspar, J. M., Christie, G. J., Prime, D. J., Jolicœur, P., & McDonald, J. J. (2016). Inability to suppress salient distractors predicts low visual working memory capacity. Proceedings of the National Academy of Sciences. http://doi.org/10.1073/pnas.1523471113
  • Gathercole, S. E., Alloway, T. P., Kirkwood, H. J., Elliott, J. G., Holmes, J., & Hilton, K. A. (2008). Attentional and executive function behaviours in children with poor working memory. Learning and Individual Differences, 18(2), 214–223. http://doi.org/10.1016/j.lindif.2007.10.003
  • Gazzaley, A. (2011). Influence of early attentional modulation on working memory. Neuropsychologia, 49(6), 1410–24. http://doi.org/10.1016/j.neuropsychologia.2010.12.022
  • Brooks, S. (2015). Does personal social media usage affect efficiency and well-being? Computers in Human Behavior, 46, 26–37. http://doi.org/10.1016/j.chb.2014.12.053
  • Kross, E., Verduyn, P., Demiralp, E., Park, J., Lee, D. S., Lin, N., … Ybarra, O. (2013). Facebook Use Predicts Declines in Subjective Well-Being in Young Adults. PLoS ONE, 8(8), 1–6. http://doi.org/10.1371/journal.pone.0069841
  • Seli, P., Risko, E. F., & Smilek, D. (2016). On the Necessity of Distinguishing Between Unintentional and Intentional Mind Wandering. Psychological Science. http://doi.org/10.1177/0956797616634068
  • Smallwood, J., Fitzgerald, A., Miles, L. K., & Phillips, L. H. (2009). Shifting moods, wandering minds: negative moods lead the mind to wander. Emotion (Washington, D.C.), 9(2), 271–6. http://doi.org/10.1037/a0014855
  • Killingsworth, M. A., & Gilbert, D. T. (2010). A wandering mind is an unhappy mind. Science (New York, N.Y.), 330, 932. http://doi.org/10.1126/science.1192439
  • Mialet, J.-P., Pope, H. G., & Yurgelun-Todd, D. (1996). Impaired attention in depressive states: a non-specific deficit? Psychological Medicine, 26(05), 1009. http://doi.org/10.1017/S0033291700035339
  • Pacheco-Unguetti, A. P., & Parmentier, F. B. R. (2014). Sadness Increases Distraction by Auditory Deviant Stimuli. Emotion, 14(1), 203–213.  http://doi.org/10.1037/a0034289
  • Risko, E. F., Anderson, N., Sarwal, A., Engelhardt, M., & Kingstone, A. (2012). Everyday Attention: Variation in Mind Wandering and Memory in a Lecture. Applied Cognitive Psychology26(2), 234–242. http://doi.org/10.1002/acp.1814 
  • Sigman, M., Cohen, S. E., & Beckwith, L. (1997). Why does infant attention predict adolescent intelligence? Infant Behavior and Development, 20(2), 133–140. http://doi.org/10.1016/S0163-6383(97)90016-3
  •  Zanto, T. P., & Gazzaley, A. (2009). Neural Suppression of Irrelevant Information Underlies Optimal Working Memory Performance. Journal of Neuroscience, 29(10), 3059–3066. Retrieved from http://gazzaleylab.ucsf.edu/wp-content/uploads/2014/09/Zanto2009-Neural-suppression-of-irrelevant-information-underlies-optimal-working-memory-performance.pdf

Please sign in or register for FREE

If you are a registered user on Research Communities by Springer Nature, please sign in

Go to the profile of St. Mark's Center
almost 8 years ago

Thanks for this post. Teaching “focus” is very important. I’m trying to do this in my high school by talking about & coaching “deep work” strategies. Hers a link to a post I wrote for our academic journal: https://smleo.com/2017/10/10/productivity-neuroscience-and-deliberate-practice-deep-work-and-school-part-2/

Would like to find other schools or educators who are building this into the student learning experience!

Thanks again,

Colleen Worrell 

Twitter @cdworrell