You can’t drive a tank over lettuce…

In the mid noughties, somewhere in a Portacabin in the US, our team were sat discussing how to transition our explosive-degrading plants into the real world.
You can’t drive a tank over lettuce…
Like

Share this post

Choose a social network to share with, or copy the URL to share elsewhere

This is a representation of how your post may appear on social media. The actual post will vary between social networks

Explore the Research

SpringerLink
SpringerLink SpringerLink

Genetic modification of western wheatgrass (Pascopyrum smithii) for the phytoremediation of RDX and TNT - Planta

Main conclusion Transgenic western wheatgrass degrades the explosive RDX and detoxifies TNT. Contamination, from the explosives, hexahydro-1, 3, 5-trinitro-1, 3, 5-triazine (RDX), and 2, 4, 6-trinitrotoluene (TNT), especially on live-fire training ranges, threatens environmental and human health. Phytoremediation is an approach that could be used to clean-up explosive pollution, but it is hindered by inherently low in planta RDX degradation rates, and the high phytotoxicity of TNT. The bacterial genes, xplA and xplB, confer the ability to degrade RDX in plants, and a bacterial nitroreductase gene nfsI enhances the capacity of plants to withstand and detoxify TNT. While the previous studies have used model plant species to demonstrate the efficacy of this technology, trials using plant species able to thrive in the challenging environments found on military training ranges are now urgently needed. Perennial western wheatgrass (Pascopyrum smithii) is a United States native species that is broadly distributed across North America, well-suited for phytoremediation, and used by the US military to re-vegetate military ranges. Here, we present the first report of the genetic transformation of western wheatgrass. Plant lines transformed with xplA, xplB, and nfsI removed significantly more RDX from hydroponic solutions and retained much lower, or undetectable, levels of RDX in their leaf tissues when compared to wild-type plants. Furthermore, these plants were also more resistant to TNT toxicity, and detoxified more TNT than wild-type plants. This is the first study to engineer a field-applicable grass species capable of both RDX degradation and TNT detoxification. Together, these findings present a promising biotechnological approach to sustainably contain, remove RDX and TNT from training range soil and prevent groundwater contamination.

The title phrase harks back to conversations in that Portacabin in the US, and is now often the strap line, and literal practical, in my outreach talks to school children about our science, with the learning outcome that plants need to be tough to grow on military ranges (Fig. 1).

School children watching a model tank being riven over some lettuce leaves

Figure 1. Driving a tank over lettuce.

Our team comprised Prof. Neil Bruce and myself at the Centre for Novel Agricultural Products (CNAP) based at the University of York (UoY), Prof. Stuart Strand from the University of Washington (UoW), and Antonio (Tony) Palazzo and Timothy Cary from the Engineer Research and Development Center, Cold Regions Research and Engineering Laboratory (CRREL).

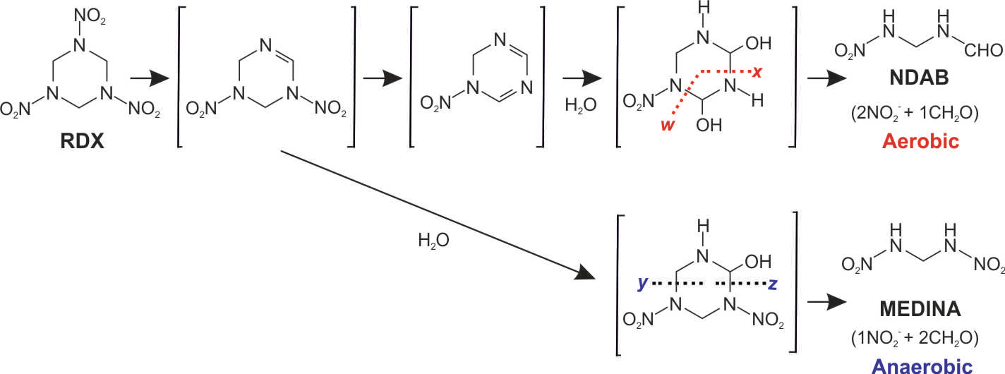
At UoY, Neil, I and colleagues had already developed plants that could suck up and destroy toxic explosive residues. Explosives are serious environmental contaminants found as pollutants around pretty much all sites of military activity. A major component is hexahydro-1,3,5-trinitro-1,3,5-triazine (RDX), a toxic nitramine compound that is highly mobile in ground water. Remediation techniques are urgently needed as RDX pollution now threatens to contaminate drinking water supplies; however, the sheer scale of the problem, 10 million hectares of military land contaminated with munitions components, is formidable. Phytoremediation, the use of plants to clean up chemical pollutants could be the solution; but, plants have little endogenous activity towards RDX. Soil microorganisms have not been so fickle: their relatively short regeneration times, coupled with the selective pressure of nitrogen-rich compounds in the nitrogen-poor range soils, had readily evolved RDX-degrading activity. Curiously, this activity was insufficient to mitigate the pollution in vivo, perhaps the result of unknown limiting factors, and a research story for another day. At UoY, we had identified RDX-degrading bacteria, characterized the pathway (Fig. 2), genes responsible (xplA and xplB), and made RDX-degrading plants by transforming the genes into Arabidopsis thaliana (Arabidopsis), a plant commonly used in molecular biology studies. 

Chemcial structures of RDX and products produced by XplA activity

Figure 2. Pathway of RDX catabolism by XplAB, and transgene cassette. For details see the main paper.

No problems there, but, on the real world training ranges, military equipment such as tanks are commonly used. While excellent for molecular studies, Arabidopsis, is a small, crispy-leafed plant that wouldn’t look out of place in a salad, and in common with lettuce, does not suffer tank traffic well. We needed botanical robustness.

Tough Turf

Before meeting Tony and Tim, we’d begun transferring our technology into tobacco (Nicotiana tabacum) a commonly grown US crop, and aspen trees (Populus hybrids), native species with deep roots. To us naïve civilians, these species seemed perfect for training ranges. But out on the range, it’s no cowboy land, instead a meticulously managed ecosystem, and haven for many protected species covering thousands of miles of native grasslands; moreover, on active ranges, trees get in the line-of-sight for tank training. Trees? What a ludicrous suggestion!
In line with the sleek range management, CRREL agronomists Tony and Tim had already selected and bred western wheatgrass (Pascopyrum smithii), slender wheatgrass (Elymus trachycaulus) and Siberian wheatgrass (Agropyron fragile) cultivars specifically for driving tanks over. Who knew? This was tough turf, the grass equivalent of our British SAS. Fire resistant, and compatible with the native ecology, the aptly named Recovery western wheatgrass could be literally blown from the surface of the earth, land back and keep on growing. These were the plants for the job, we just needed to transform our explosives detoxifying technology into them…
At the time of our project, there was no known transformation system for wheatgrasses, with monocots having a reputation of being notoriously difficult to transform. In Stuart’s lab, Dr Long Zhang set about learning how to produce the friable embryonic calli. Like straw-colored caviar, these clusters of undifferentiated plant cells are necessary to transform, then regenerate whole plants. A wizard at cloning, Long had quickly assembled the multi-gene cassettes required to deploy our explosive-detoxifying activity, but successful transformation was eluding him. The clock ticked, while Long and co-workers resolutely tested multiple combinations of growth media, hormones, and selections. We had begun field trial planning, yet we still had no plants…

Switching to Switchgrass

Scanning for solutions, I read a recently-published paper from Prof Neal Stewart Jr.’s lab at the University of Tennessee: An Improved Tissue Culture System for Embryogenic Callus Production and Plant Regeneration in Switchgrass (Panicum virgatum L.). We had a switchgrass cultivar, Alamo, that Tony and Tim had developed specifically for training ranges, we should transform it. A small world, Neal’s paper only caught my eye because I knew he also worked on the phytoremediation of explosives. Within months, Long had produced our first transgenic switchgrass.

Grasses and Racehorses

Figure 3. Our GM switchgrass hitched a lift to the UK with racehorses

The transgenic grasses needed to be posted to UoY for glasshouse-based testing. We were confident in our ability to do the analysis, shipping GM grasses less so. Initial advice from the UK Food and Environment Research Agency (DEFRA), later the Food and Environment Research Agency (FERA), was that the plants would require a Phytosanitary Certificate issued by the United States Animal and Plant Health Inspection Service (USDA APHIS), and that UoY would need to register on a system to pre-notify the importation of the plants.  The 'transgenic' element would require a risk assessment to be undertaken, and FERA duly dispatched a Health Inspector to UoY to check out containment facilities. Additional risk assessments, and reports addressing questions such as “there is evidence in the literature that plant viruses can be transmitted by pollen of Gramineae species… provide further information about whether there are any plant pathogens and pests which could be spread via the pollen from the plant species that you intend to hold under licence” were also required. Over in the US, UoW arranged an APHIS inspector to check the plants, then drove to Seattle port to obtain a Phytosanitary Certificate (and then back again to obtain a signed certificate). Finally, the red tape was cut, and the plants jetted off from the US to arrive at Customs & Excise, Stanstead airport, their sole travelling companions a delivery of racehorses (Fig. 3). Thankfully, on touchdown, the grasses had not gone the way of Shergar, or been eaten. They passed the DEFRA inspection, and I drove to a FEDEX collection point on the outskirts of York to finally collect them. The subsequent glasshouse characterization was a relative walk in the park. The transgenic switchgrass devoured the RDX, and we were set for field trials.

Site location and Permitting Issues

We needed a site with well-characterized soil (chemical, physical, and munitions constituents properties), controlled access and recent environmental surveys (plant, animal, insect and archaeology surveys). Several ranges were extremely helpful including Hawthorne Army Ammunition Plant and Ethan Allen Air Force Range, with the final site chosen as Fort Drum military range, NY. To obtain a USDA-APHIS permit for conducting field experiments an Environmental Impact Statement (EIS) was submitted. US APHIS have been super supportive of us on the journey, but somehow our novel proposal fell between the cracks, and we awaited approval, increasingly nervously.

Diggers

Figure 3. Aerial photograph of the plot taken September 2015 before planting and showing outlines of the individual plots
Figure 4. Aerial photograph of the plot taken September 2015 before planting

Neil, Stuart, Long and I were all eager to see our fundamental science tested on the ranges, but our research usually involves growing plants in tiny tubes; moving to field trial scale was a whooping step up. This is where Tim stepped into the breach; Tony steering to a very well-deserved retirement at this stage. We needed diggers, acres of polypropylene plot liners, irrigation systems, water-storage tanks, lysimeters. We also needed 1000s of plantlets with Long and co-workers developing microprogation techniques, and Tim arranging glasshouse space at CRREL.

Figure 5. Me connecting lysimeters on the plots in 2016.

The Fort Drum site, was at the end of a runway, I heard a rumour the pilots used our site as an additional navigation aid, and either way, they kindly took aerial photographs (Fig. 4). Following the award of the APHIS permit (April 2016), the plots were planted in May. We allowed the plants to establish for one month before applying the RDX to the plot surface soil. The RDX was premixed with wetted sand for obvious safety reasons, but for less clear reasons, arrived in the middle of the night. Tim experienced his Bruce Willis moment, overseeing the unloading it, while suspicious army helicopters shown lights overhead to keep an eye on him.

Battle of the Alamo

As a molecular biologist, my plants are like rich customers cocooned in the depths of climate-controlled luxury spas, their every whim anticipated. Out on the range, near-biblical storms raged. Low temperatures over the winter led the loss of some seedlings, and to a delay in spring growth. The 2017 and 2018 growing seasons experienced unexpectedly high rainfall (2016: 13.3”, 2017: 48.0”, 2018: 31.25”). Alamo is not rice, and absolutely did not appreciate growing in the water-logged double-lined polypropylene; something that would not be an issue on the open range.

Figure 5. Neil and co-worker rolling a 2000 gallon drum onto site.

 The 325-gallon storage tank included in each test plot were overflowing back onto the plots. Not only did the water need to be urgently pumped from the plots, but the volumes and RDX concentrations needed to be measured, then the water decontaminated, rechecked, then drained. Tim arranged for 2000-gallon tanks to be delivered to the plot, and yet again drove out to rig-up the draining, did I mention this was a four hour each way drive from CRREL? We Brits did pop over now and again to help (Fig. 5 and 6), but it’s a smidge longer (3,288 miles) for us.

The Emasculators 

In the final growing season, as the plants started to put on biomass, they started to produced lots of seed heads. A critical component of the APHIS permit was swift removal of seed heads from the grasses before they were ripe enough to release pollen. This job was efficiently performed, along with other plot maintenance by our champion, scissor-wielding ‘emasculators’: Nadia Podpora, Heather Kase and Zach Pick.

Over the season, we sampled plants, soil, ground water, with Long and co-worker Ryan Routsong, running the samples in the labs at UoW. Scientists aren’t usually happy to see no peaks in their instrument output traces, but we were ecstatic! This result meant our transgenic plants were using the transgenes to make active RDX degrading enzymes in their tissues, while growing in range soil, under real range conditions. But unlike the recently-pumped switchgrass, we were not yet out of the water. To be a success, our technology has to have stakeholder buy-in, toward this we organised a meeting of regulatory and DOD stakeholders, including a site visit and it did not rain (Fig. 7)! Our funding bodies ESTCP and SERDP were with us the whole of the way, providing not just financial support, but meaningful advice from relevant experts, and the next steps towards releasing the grasses on RDX-contaminated ranges are underway.

Stakeholders standing around the plot on a sunny day while Tim explains the trial layout

Figure 7. Tim (in green top, centre) explaining the field trial at a site visit by regulatory and DOD stakeholders 1-Aug-2017.

Field trial: noun, noun. a test of the performance of some new product under the conditions in which it will be used. 

Trial: noun, an experience, or situation that tests a person's endurance or forbearance.

Shake n' Vac® Site Epilogue

In keeping with our APHIS permit, we had to use conventional, but harsh chemical techniques to remove the remaining RDX from the trial plots. The soil was treated with 5 kg/m2 calcium hydroxide, tested to ensure the RDX had been destroyed, then the soil pH neutralized by addition of 4 kg/m2 aluminium sulfate and re-seeded with a mix of native grass species. The trial results demonstrated that our plants can degrade RDX, and in an environmentally benign way, perhaps one day in the future, GM plants will be the conventional way for RDX removal.

Producing a range for the range

Long didn't give up, and developed a transformation system for wheatgrass,: Genetic modification of western wheatgrass (Pascopyrum smithii) for the phytoremediation of RDX and TNT
Long Zhang, Elizabeth L. Rylott, Neil C. Bruce & Stuart E. Strand. Planta volume 249, pages1007–1015 (2019). By developing the explosive-detoxifying activity in a range of different species, this technology to be rolled out over broader ranges of environmental, and geographic conditions while maintaining efficacy and biodiversity.

Please sign in or register for FREE

If you are a registered user on Research Communities by Springer Nature, please sign in