Behind the paper- the journey behind the DYNAMIC cohort study

Published in Healthcare & Nursing

Behind the paper- the journey behind the DYNAMIC cohort study
Like

Share this post

Choose a social network to share with, or copy the URL to share elsewhere

This is a representation of how your post may appear on social media. The actual post will vary between social networks

1) Why did we do this study?

Influenza epidemiology in Singapore and in other areas of the tropics differs from temperate climates in that influenza typically circulates year-round with peaks coinciding with both the southern and northern hemisphere winters. Prior to the COVID-19 pandemic, influenza was associated with an average of 588 excess deaths in Singapore annually, with more than 11-fold higher influenza attributable mortality in older adults aged 65 and above compared to the general population. (1)  Singapore has one of the most rapidly aging populations in the world. The rising global incidence of diabetes mellitus, obesity, and metabolic syndrome is expected to compound the impact of influenza in terms of ICU-admissions and deaths in older adults.

The mRNA and other emergent vaccine technologies used in vaccines against SARS-CoV-2 may change the narrative for the decades-long search for a durable, effective, and broadly protective ‘universal’ influenza vaccine. At the time of this study, standard dose egg-grown influenza vaccines were known to have suboptimal response in older adults and few studies had examined influenza vaccine response in populations with metabolic syndrome, particularly in Asia. (2,3)

We sought to evaluate the metabolic predictors of influenza vaccine immune response in community-dwelling older adults in Singapore including those with metabolic comorbidities. Our overall aim was to examine the role of host modifiable factors in vaccine immune response. We also investigated the role of systemic vitamin D (25-hydroxyvitamin D) for its immunological impacts on the humoral immune response to influenza vaccine. (4)

2) How did we enroll our cohort?

Our study visit outline is as in Figure 3 from the manuscript below.

Fig. 3 Outline of study visits, the DYNAMIC cohort study  ¶ anthropometric measurements comprised weight (kg), height (m), waist, and hip circumferences (cm). BMI (kg/m2), and waist: hip circumference ratios were calculated.

We screened 435 older adults aged 65 years and above at various community sites across Singapore from June-December 2017 and enrolled 234 older adults. 220 completed all 3 study visits and had received standard dose inactivated trivalent influenza vaccine which was the standard across Singapore at that time. (4)

The PI (SPS) and the study team decided to ‘locate’ the research activities and enrollment in the community. We travelled to meet with potential participants at community sites instead of them coming to the hospital’s research clinic. Many older adults in Singapore engage in community programs and activities with community centres, have good relationship with staff at those centres and we anticipated they would be most comfortable participating in the study at a familiar location. We engaged with numerous community partners and potential study participants on evenings and weekends. Most were very engaged and interested in being involved. 15 community sites across Singapore participated. The intangible benefits of increasing knowledge of influenza vaccine (and other vaccines) amongst potential participants became evident very quickly. The influenza vaccine uptake has been as low as 21% in older adults aged 60-74 in Singapore, based on National Population Health Survey Data in 2019. (5)

The study team, lab collaborators and community sites coordinated and communicated as a team to enable a swift enrollment of 234 eligible participants across numerous community sites within 6 months.

3) What were our key findings?

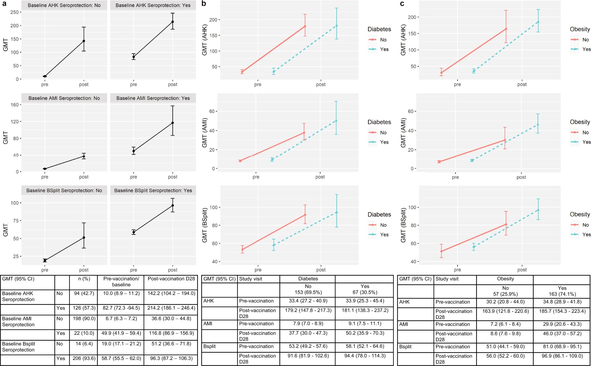
Older adults with well-controlled metabolic comorbidities, who although are at risk of severe complications from influenza infection, had good response to influenza vaccine as measured by HAI, comparable to those without these conditions. (4) Refer to Figure 2 from the paper (below). We encourage influenza vaccine uptake in these patient populations. 

Fig. 2 Geometric mean titers (GMT) pre-and post-influenza vaccine among full cohort for influenza A/HK/H3N2, A/MI/H1N1, and B-split, and among those with and without diabetes mellitus and obesity. Panels a shows line graphs depicting GMT and 95% confidence intervals pre- and post-influenza vaccination for A/HK/H3N2, A/MI/H1N1 and B-split for the full cohort, subcategorized by their baseline seroprotection status (HAI of at least 1:40) for each respective strain. Panels b shows GMT and 95% confidence intervals pre- and post-influenza vaccination for the three strains amongst those with diabetes mellitus (n = 67) compared to those without. Panels c show GMT and 95% confidence intervals pre-and post-influenza vaccination for the three strains amongst those with obesity (n = 163, applying the same definition as in Tables 1 and 2) compared to those without. The embedded table displays the GMT and 95% CI data as shown in the corresponding panel line graphs.

Vitamin D was not associated with HAI response in this study.

Physical activity was associated with higher rise in antibodies following influenza vaccine in our multivariable regression model in a dose-response relationship, specifically for the influenza A/H3N2 component which is the most common circulating influenza subtype. Even participants reporting light physical activity had two-fold higher HAI response to the vaccine compared to those with rare activity. (4)

Though we did not enroll very frail elderly or participants with poorly controlled metabolic diseases, we encourage influenza vaccine uptake in older adults including those with metabolic comorbidities.

Physical activity has numerous other health benefits, and this finding likely signifies an overall better state of health and resilience. An active lifestyle in both younger and older adults will have beneficial impact on population health.  

4) What next?

The team is investigating T cell assays for a more complete view of the immune response to influenza vaccine and evaluating the role of adipokines and candidate gene polymorphisms for deeper insights on other host factors that may influence vaccine immunogenicity. Novel candidate influenza vaccines should enroll older adults with metabolic comorbidities in clinical trials as they form a significant group susceptible to influenza-related complications.

5) Reflections & Learning

Team Science & Collaboration

The collaboration, coordination and communication amongst the research team, community sites, laboratory collaborators were a real testament to “Team Science” and the power of collaboration, with the swift and smooth community enrollment working together through logistical challenges. Our HAI assays were performed at the WHO Collaborating Centre for Reference and Research on Influenza in Melbourne, Australia.  

Building Persistence, Trust, and Resilience in Setbacks

Our progress thereafter in the data analyses and interpretation faced a major speed-breaker due to the COVID-19 pandemic just as other non-COVID-19 research faced. The PI, study team, and lab collaborators were involved in either front-line COVID-19 patient care in hospitals at our national centre, epidemiological work for COVID-19 and other time-sensitive outbreak work and research. Non-COVID-19 research had to sit on a backburner for a long time. Few study team members left for other opportunities thereby necessitating additional effort to conclude the analyses with clarity and prepare for manuscript publication.

The study analyses and dissemination of findings has therefore had a long gestation. However, on the other hand, enduring setbacks and delays with uncertain timelines, personal fatigue and challenges required further deepening of trust in the team and building on values of persistence, staying true to the common goal, and resilience. The timing of our manuscript publication comes at a time when influenza transmission is again re-emerging as expected with increased travel and reduced COVID-19 related public health interventions worldwide in our third year of this pandemic.

Acknowledgments: All co-authors of the manuscript: Barnaby E. Young, Weixiang Lian, Hwee Pin Phua, Mark I-C Chen, Ian Barr, Tsin Wen Yeo, Rinkoo Dalan, Angela Chow. We thank the WHO Collaborating Centre for Reference and Research on Influenza in Melbourne, Australia, the various community partner collaborators for the study recruitment, all study participants, and Dr. Ezlyn Izharuddin, Ms. Ong Jin Ting, Ms. Norhudah binte Othman, and Ms. Tan Mei Xuan for their contributions to the study. This study was funded by the National Healthcare Group (NHG) Award NHG-CSCS/16001, and the NHG Thematic Grant NTG/13007.

References:

  1. Chow A, Ma S, Ai EL, Suok KC. Influenza-associated deaths in tropical Singapore. Emerg Infect Dis. 2006;12(1):114–21.
  2. McElhaney JE, Garneau H, Camous X, Dupuis G, Pawelec G, Baehl S, et al. Predictors of the antibody response to influenza vaccination in older adults with type 2 diabetes. BMJ Open Diabetes Res Care. 2015;3(1):e000140.
  3. Egawa Y, Ohfuji S, Fukushima W, Yamazaki Y, Morioka T, Emoto M, et al. Immunogenicity of influenza A(H1N1)pdm09 vaccine in patients with diabetes mellitus: With special reference to age, body mass index, and HbA1c. Hum Vaccines Immunother. 2014;10(5):1187–94.
  4. Sadarangani SP, Young BE, Lian W, Yeo TW, Dalan R, Chow A, et al. DYNAMIC cohort study evaluating metabolic predictors of in fl uenza vaccine immune response in older adults. npjVaccines. 2022 7:135 https://doi.org/10.1038/s41541-022-00548-z
  5. Epidemiology & Disease Control Division and Policy R& SG, Ministry of Health and Health Promotion Board S. National Population Health Survey (NPHS) [Internet]. 2019. Available from: http://www.statcan.ca/english/concepts/nphs/

Please sign in or register for FREE

If you are a registered user on Research Communities by Springer Nature, please sign in

Follow the Topic

Health Care
Life Sciences > Health Sciences > Health Care

Related Collections

With Collections, you can get published faster and increase your visibility.

Therapeutic HPV vaccines

Therapeutic Human papillomavirus (HPV) vaccines are considered to be a promising approach to intercept the development of HPV-driven cancers in already HPV-infected people. This collection aims to gather the state of the art of therapeutic HPV vaccine research – from novel vaccine design concepts, to preclinical models, to results of clinical trials.

Publishing Model: Open Access

Deadline: Jun 30, 2026

Lipid nanoparticle (LNP)-adjuvanted vaccines

This Collection invites research on LNP-adjuvanted vaccines, including mRNA, DNA, protein, and other vaccines, as well as innovative strategies in vaccine adjuvant development.

Publishing Model: Open Access

Deadline: May 19, 2026