H3+ formation from hydrocarbons via different mechanisms
Published in Chemistry
As a molecule of great physical, chemical, and astronomical importance, H3+ plays a vital role in probing and understanding various astrophysical environments including planetary atmospheres and interstellar media. In order to use the H3+ as a tool to characterize and study properties of those environments, the structural and dynamical information of H3+ must be available, which has been and continues to be obtained through sophisticated experimental and theoretical investigations, e.g. precise laboratory spectroscopy and quantum chemistry calculations.
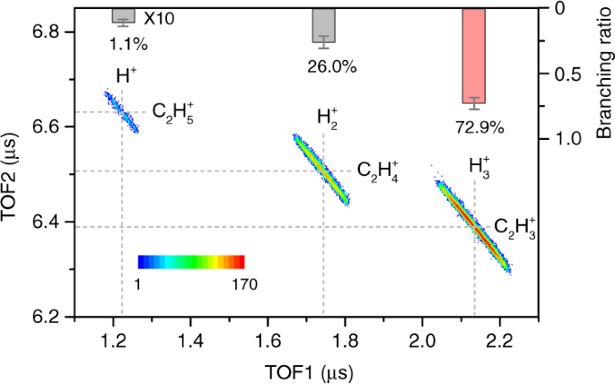
Considering the widespread abundance of electrons and hydrocarbon molecules in astronomical environments, the H3+ ions produced by the electron-impact induced dissociative ionization of hydrocarbons could be, in addition to the ion-neutral reaction H2+ + H2 → H3+ + H, another origin of H3+ formation. This might help understand the H3+ abundance in some astronomical systems. However, the formation mechanism of H3+ from dissociation of organic molecular ions is not fully understood. Two mechanisms, i.e. transition state (TS) and H2 roaming mechanisms, have been separately introduced through strong laser ionization experiments in combination with different theoretical calculations. Obviously, the connection and difference between these two kinds of mechanisms need further clarification.
Over the last decade, building and then using the cold target recoil ion momentum spectroscopy (COLTRIMS) setups and also the highly charged ion collision platform, our group has been studying the fragmentation dynamics of hydrocarbon molecules in collision with charged particles. The H3+ ion was indeed observed in the fragment products of CH4 and C2H4 dications produced by electron or ion impact, but with very low yield, which hindered our further theoretical investigation. Later, we turned to another hydrocarbon molecule, C2H6 and a pronounced yield of H3+ was observed. Then quantum chemistry calculations including TS calculation and ab initio molecular dynamics (AIMD) simulation were carried out, and the simulated kinetic energy release (KER) distribution for the H3+ channel was in good agreement with the experimental one.
In this work, we show two kinds of mechanisms, i.e. TS mechanism and the dominant one, roaming mechanism, lead to H3+ formation, which however exhibit very different characteristics. Comparing with the minimum energy path in the TS mechanism, the roaming process takes a much longer time, exhibits larger amplitude motion, and requires the displacement of more H atoms. Discrepancies are also found in the dissociation time and KER of the TS and roaming mechanisms, which indicates that the separation of the two mechanisms might be realized by an ultrafast pump-probe experiment. Furthermore, besides H2 roaming, another new roaming mechanism which involves a neutral H atom is uncovered.

The features of the TS and roaming mechanisms presented in the ionic molecular dissociation would advance understanding into many aspects, e.g. hydrogen migration, roaming chemistry, and molecular fragmentation. We also hope the findings of this study could help understand the physics and chemistry of astronomical H3+ ions.
A link to the paper entitled “Formation of H3+ from ethane dication induced by electron impact” in Communications Chemistry can be found here: https://www.nature.com/articles/s42004-020-00415-9
Follow the Topic
-
Communications Chemistry
An open access journal from Nature Portfolio publishing high-quality research, reviews and commentary in all areas of the chemical sciences.
Related Collections
With Collections, you can get published faster and increase your visibility.
Experimental and computational methodology in structural biology
Publishing Model: Open Access
Deadline: Apr 30, 2026
Advances in Asymmetric Catalysis for Organic Chemistry
Publishing Model: Open Access
Deadline: Mar 31, 2026
Please sign in or register for FREE
If you are a registered user on Research Communities by Springer Nature, please sign in