How Climate-related Financial Policies Drive Emissions Reductions and Renewable Energy Growth

Climate-related financial policies (CRFPs) address climate change and financial stability by reducing risks and driving green investments. This study examines how their sequencing and enforcement shape CO2 emissions and renewable energy across 87 countries, offering policy insights.
Like

Share this post

Choose a social network to share with, or copy the URL to share elsewhere

This is a representation of how your post may appear on social media. The actual post will vary between social networks

The role of climate-related financial policies to address climate risks

Climate-related financial policies (CRFPs) are becoming essential tools in the fight against climate change and the promotion of sustainable economies. These policies aim to manage climate risks, such as extreme weather and resource scarcity, while redirecting financial resources toward environmentally-friendly investments like renewable energy projects, energy-efficient buildings, and cleaner transportation systems. By aligning financial systems with global climate goals, CRFPs help reduce greenhouse gas (GHG) emissions and accelerate the transition to a low-carbon economy. However, their effectiveness varies significantly depending on how they are designed, enforced, and adapted to local economic and institutional contexts.

This study examines how CRFPs impact two key outcomes: reducing carbon dioxide (CO2) emissions and increasing renewable energy production (REP). The analysis focuses on two critical aspects of these policies: Policy Sequencing, or the order in which policies are introduced, and bindingness, which reflects how strictly policies are enforced. Data from 87 countries over 23 years (2000–2023) provides insights into these relationships, revealing patterns across diverse economic, institutional, and regional settings.

The order of policy implementation for various countries is categorized into five policy types: Green Bonds (GB), promoting green lending through bonds; Green Credit Allocation Policies (GCA), encouraging green lending and investments; Green Prudential Regulations (GPP), identifying and protecting against climate-related financial risks; Green Financial Principles (GFG), supporting the development of green financial markets; and Other Disclosure Requirements (OGD), encouraging public disclosure of climate-related financial risks.
Figure 1.: Policy implementation sequences across countries. The order of policy implementation for various countries is categorized into five policy types: Green Bonds (GB), promoting green lending through bonds; Green Credit Allocation Policies (GCA), encouraging green lending and investments; Green Prudential Regulations (GPP), identifying and protecting against climate-related financial risks; Green Financial Principles (GFG), supporting the development of green financial markets; and Other Disclosure Requirements (OGD), encouraging public disclosure of climate-related financial risks.

Figure 1 shows the global landscape of policy implementation sequences and how countries prioritize different CRFP types over time. Advanced economies, such as those in Europe and North America, typically start with foundational measures like mandatory disclosures of carbon emissions. These policies increase transparency, enabling businesses and investors to assess risks and opportunities associated with climate change. Once this groundwork is laid, stricter policies such as carbon pricing and incentives for green investments can follow. This progression ensures stability, builds public support, and minimizes disruption during the transition to a low-carbon economy. Conversely, emerging markets often face structural and institutional constraints that can disrupt the sequencing of these policies, limiting their overall effectiveness.

Many emerging markets and developing economies (EMDEs) grapple with challenges such as reliance on carbon-intensive industries like coal mining and oil production. These dependencies make it harder to shift investments toward renewable energy. Additionally, limited enforcement capacity and regulatory oversight weaken the impact of policies, even when they are well-designed. For example, a green bond initiative to finance solar or wind projects may falter if there are no strict rules or monitoring systems to ensure the funds are used effectively. Without enforcement, CRFPs risk being symbolic rather than transformative.

Regional analysis

Regional analysis offers deeper insights into these challenges. Sub-Saharan Africa has demonstrated notable progress in renewable energy production, with strong enforcement mechanisms. For example, projects like solar farms and wind turbines have gained traction in countries with access to international funding and expertise. However, reducing CO2 emissions remains difficult due to continued reliance on biomass and fossil fuels for energy. Similarly, in Latin America and the Caribbean, binding policies have successfully driven renewable energy projects, but emissions reductions are slower, reflecting the region's dependence on extractive industries like oil and gas.

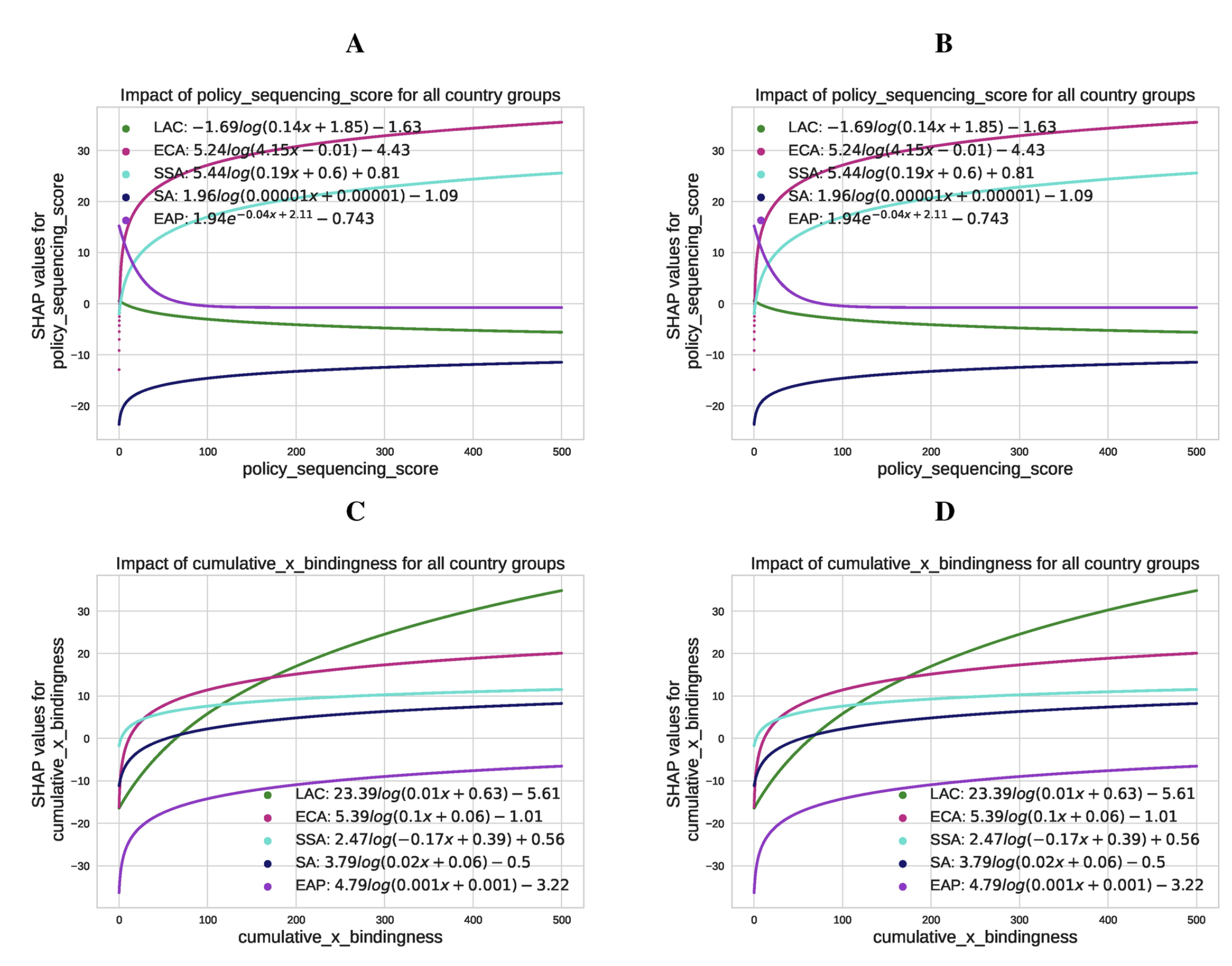
Panel (A) displays the SHAP values for the effect of the PSS score on CO2 emissions for regions: Latin America and the Caribbean (LAC), Europe and Central Asia (ECA), Sub-Saharan Africa (SSA), South Asia (SA), and East Asia and the Pacific (EAP). Panel (B) shows the SHAP values for the PSS score’s impact on renewable energy production for the same regions. Panels C and D depict the SHAP values for the effect of cumulative bindingness-weighted policy adoption on CO2 emissions (Panel C) and renewable energy production (Panel D) across these regions. The fitted SHAP values are calculated using logarithmic transformations, capturing region-specific variations in the influence of policy adoption and sequencing.
Figure 2.: Fitted SHAP values illustrating the impact of the policy sequencing score and the bindingness-weighted
adoption on CO2 emissions and renewable energy production across different country groups. Panel (A) displays the SHAP values for the effect of the PSS score on CO2 emissions for regions: Latin America and the Caribbean (LAC), Europe and Central Asia (ECA), Sub-Saharan Africa (SSA), South Asia (SA), and East Asia and the Pacific (EAP). Panel (B) shows the SHAP values for the PSS score’s impact on renewable energy production for the same regions. Panels C and D depict the SHAP values for the effect of cumulative bindingness-weighted policy adoption on CO2 emissions (Panel C) and renewable energy production (Panel D) across these regions. The fitted SHAP values are calculated using logarithmic transformations, capturing region specific variations in the influence of policy adoption and sequencing.

East Asia and the Pacific provide an interesting case study in effective policy sequencing. Figure 2 highlights how regions differ in policy sequencing and enforcement outcomes, showing that East Asia's well-structured policies have substantially reduced CO2 emissions. However, because East Asia already has a robust renewable energy infrastructure, further gains in REP have been less dramatic, underscoring the diminishing returns in regions with mature renewable energy markets.

Europe and Central Asia, home to advanced economies like Germany and France, also benefit from robust institutional frameworks. These countries lead in adopting innovative policies such as green taxonomies, which provide clear definitions of sustainable investments. Yet, the study notes diminishing returns in regions with long-established policies, where additional measures yield smaller incremental benefits. Advanced economies generally demonstrate consistent progress in emissions reductions and renewable energy expansion, though they face challenges in sustaining momentum as policy saturation sets in.

A critical insight from the study is the role of enforcement - or bindingness - in achieving results. Strong enforcement mechanisms ensure that policies are more than symbolic. For instance, mandatory disclosures of climate risks, coupled with penalties for non-compliance, encourage companies to adopt sustainable practices. Advanced economies often excel in this area, supported by their strong institutional capacity. However, EMDEs frequently encounter difficulties in enforcing policies, highlighting the need for capacity-building initiatives. International cooperation and funding are essential for helping these regions strengthen their regulatory frameworks and achieve meaningful results.

G20 countries present a diverse picture, as the group includes both advanced and emerging economies. Advanced economies members like Japan and the United Kingdom demonstrate steady progress, with CRFPs contributing to emissions reductions and renewable energy growth. Emerging members, such as India and Indonesia, face challenges similar to other EMDEs, including weaker enforcement capacity and a reliance on carbon-intensive industries. This dual dynamic underscores the importance of tailoring policy approaches to the unique needs of each country within the G20.

Key takeaways

One of the most important takeaways from this study is the need of tailoring CRFPs to specific regional and economic contexts. In advanced economies, where institutions are strong, and policy frameworks are mature, the focus should shift toward innovation and cross-sectoral integration. For instance, combining climate policies with trade or industrial strategies could amplify their impact. Equity considerations are also essential, as advanced economies must ensure that the costs of transitioning to a low-carbon economy are distributed fairly across society. Emerging markets require targeted support to enhance their institutions and enforce policies effectively. International development banks can play a pivotal role by providing low-cost financing for renewable energy projects while offering technical assistance to improve regulatory systems. Capacity-building programs can also help EMDEs establish the expertise to monitor and implement CRFPs. For example, training local regulators on best practices in green finance can improve enforcement and ensure policies achieve their intended goals.

Sequencing policies strategically is another key finding. Starting with incentives like subsidies for renewable energy can encourage early adoption and build public support. Over time, these can be followed by stricter measures such as carbon taxes or emission caps, ensuring a gradual but impactful transition. This approach is particularly important in regions where economic constraints or public opposition might otherwise hinder climate action.

Lastly, international collaboration is crucial. Many climate challenges, such as cross-border emissions and global financing gaps, require coordinated responses. Sharing knowledge and resources can accelerate transitions to low-carbon economies while ensuring no region is left behind. For instance, regional partnerships in Sub-Saharan Africa could pool resources to develop shared renewable energy infrastructure, reducing costs and expanding access.

By developing regionally responsive policies, ensuring strong enforcement, and fostering international collaboration, countries can accelerate the transition to a low-carbon future. Climate-Related Financial Policies (CRFPs) offer a pathway to sustainable and resilient economies, balancing environmental sustainability with economic growth and social equity. This study provides a clear guide for turning ambitious climate goals into actionable outcomes.

Please sign in or register for FREE

If you are a registered user on Research Communities by Springer Nature, please sign in

Follow the Topic

Financial Economics
Humanities and Social Sciences > Economics > Financial Economics
Climate Change Mitigation
Humanities and Social Sciences > Society > Sociology > Environmental Social Sciences > Climate Change Mitigation
Environmental Economics
Humanities and Social Sciences > Economics > Resource and Environmental Economics > Environmental Economics
SDG 7: Affordable & Clean Energy
Research Communities > Community > Sustainability > UN Sustainable Development Goals (SDG) > SDG 7: Affordable & Clean Energy
SDG 13: Climate Action
Research Communities > Community > Sustainability > UN Sustainable Development Goals (SDG) > SDG 13: Climate Action

Related Collections

With Collections, you can get published faster and increase your visibility.

Computational biology and mathematical modelling of biological systems

This Collection is focused on hybrid biological models, bioinformatics, and epidemiological models. It maximizes reader understanding of control, optimization, and applications of complex biological systems using neural networks, machine learning, and mathematical modelling.

Publishing Model: Open Access

Deadline: Jul 18, 2026

Water pollution and advanced treatment processes

In this cross-journal Collection we highlight studies that investigate the advanced treatment technologies for contaminants removal from water and wastewater.

Publishing Model: Hybrid

Deadline: May 31, 2026