New directions in solar geoengineering research

Our study considers climate intervention via stratospheric aerosol injection of solid particles, which could reduce adverse side-effects compared to the more commonly studied injection of SO2. Our study raises important questions and suggests a path forward for future research.
New directions in solar geoengineering research
Like

Share this post

Choose a social network to share with, or copy the URL to share elsewhere

This is a representation of how your post may appear on social media. The actual post will vary between social networks

A version of this post originally appeared on the Harvard Climate Blog

Reflecting sunlight is sometimes seen as a solution to global warming. Yet the idea of artificially cooling the planet is akin to treating a patient with opioids: It may relieve some suffering, but it does not cure the disease. It also could have significant side effects.

What if we invented a drug with fewer side effects?

The need feels urgent. Last year was the hottest in the instrumental record of history, beating a high set in 2023. We are failing to limit warming to 1.5 degrees Celsius (2.7 degrees Fahrenheit) and are on course to surpass 2C (3.6F) of warming, which the 2015 Paris Agreement implores us to prevent. But even if we limit greenhouse gas emissions, humanity faces a period where we shoot past our temperature goals – a time in the near future that scientists and policymakers call overshoot.

One kind of climate intervention – the drug, if you will – is known as stratospheric aerosol injection. In SAI, thousands of aircraft release particles less than a micrometer (one-millionth of a meter) in diameter about 20 kilometers up in the stratosphere to reflect some sunlight back into space. This approach to cooling the planet is motivated by naturally occurring volcanic eruptions that can introduce massive amounts – millions of tons – of sulfur dioxide into the atmosphere, which turns into small particles after oxidation. The eruption of the Philippines’ Mount Pinatubo in 1991 cooled the Earth by approximately 0.5°C (about 1F) for over a year.

Yet sulfur-containing particles also contribute to the depletion of the ozone layer, a region in the stratosphere that protects us from harmful ultraviolet radiation. There are other side effects, too: There are other side effects, too: Sulfur-containing particles may diffuse sunlight, affecting ecosystems and agricultural productivity. And they could warm the stratosphere, influencing global weather patterns and worsening climate change in some regions. These risks have prompted scientists to investigate alternative particles with similar reflective properties.

New directions: Alumina and calcite

Led by ETH Zurich, our paper published in Communications Earth & Environment explores the potential use of solid alumina or calcite particles as alternatives to sulfur dioxide. The paper presents a successful international collaboration between multiple research institutions across Switzerland, the US, Spain and the Netherlands.

Both alumina (aluminum oxide) and calcite (calcium carbonate) are naturally occurring minerals that scatter sunlight but, crucially, interact in different ways with atmospheric chemistry.

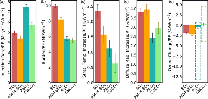
Using laboratory experiments and computer models, we simulated the injection of these solid particles into the stratosphere. Their findings show distinct advantages over sulfur dioxide. For equal amounts of cooling on Earth’s surface, alumina and calcite:

Create less stratospheric warming: The models indicate that they cause 70% less warming in the stratosphere compared to sulfur.

  • Lower diffuse sunlight by 40%, reducing the risks of impacts to plant ecosystems.
  • Lower impact on stratospheric ozone: The surfaces of these mineral solids are likely less reactive than sulfur dioxide and, thus, would reduce the impact on the ozone layer.

These results suggest that alumina and calcite could be promising alternatives to lessen some of the negative side effects associated with sulfur dioxide. (Plus, they have no effect on Earth’s surface, where they are abundant.) However, our study emphasizes that large uncertainties remain, specifically how the surface of the particles change once they get into the stratosphere. We know they have less impact than sulfur dioxide on ozone, but they could still injure this critical protection – or even create extra ozone. Either process is undesirable and may negate the potential benefits.

Moreover, there are added costs. Alumina and calcite are heavier than sulfur dioxide. Were we to inject these particles, we would need to use about 50% more mass to achieve the same cooling effect. That would require many more flights, driving up deployment costs. Other studies have estimated that injecting the lighter sulfates into the stratosphere would cost billions of dollars per year and require thousands of flights, though that is still a fraction of what rising temperatures cost the global economy.

Addressing uncertainties with research and dialogue

While our study points to significant potential for these solid particles, we also highlight the need for additional laboratory and, potentially, field experiments. These experiments would focus on understanding heterogeneous chemical reactions – interactions that occur on the surface of particles suspended in the atmosphere – that play a critical role in how aerosols influence the ozone and other atmospheric processes. In particular, laboratory-based kinetics studies, which analyze the rates of chemical reactions, are essential for improving the accuracy of our computer models. By refining these models, scientists hope to reduce uncertainties and better predict the long-term impacts of SAI on the global climate-chemistry system.

The potential of stratospheric aerosol injection, especially with alternative materials like alumina and calcite, offers hope for mitigating some of the worst effects of global warming. However, it also serves as a reminder of the complex trade-offs involved in large-scale climate interventions. Moving forward, the scientific community must continue to prioritize research, dialogue, and ethical considerations to ensure that any potential measures are both effective and responsible.

As this study demonstrates, scientific inquiry is not just about finding answers – it’s about asking better questions. And in the quest to understand and mitigate climate change, asking those questions is more urgent than ever.

Please sign in or register for FREE

If you are a registered user on Research Communities by Springer Nature, please sign in

Follow the Topic

Climate Change Mitigation
Physical Sciences > Earth and Environmental Sciences > Environmental Sciences > Environmental Social Sciences > Climate Change Mitigation
Climate Change
Physical Sciences > Earth and Environmental Sciences > Earth Sciences > Climate Sciences > Climate Change
Atmospheric Chemistry
Physical Sciences > Earth and Environmental Sciences > Earth Sciences > Climate Sciences > Atmospheric Science > Atmospheric Chemistry
International Relations
Humanities and Social Sciences > Politics and International Studies > International Relations
SDG 13: Climate Action
Research Communities > Community > Sustainability > UN Sustainable Development Goals (SDG) > SDG 13: Climate Action

Related Collections

With Collections, you can get published faster and increase your visibility.

Geology of the Moon

This collection focuses on the Geology of our Moon and new insights we gain from remote sensing data, meteorites and returned samples, and modeling efforts.

Publishing Model: Hybrid

Deadline: Jan 31, 2026

Archaeology & Environment

​In this cross-journal Collection, we invite research that provides insight into the interactions between humans and our environment throughout our evolutionary history.​​

Publishing Model: Hybrid

Deadline: Mar 31, 2026