Photocatalytic degradation of industrial acrylonitrile wastewater by F–S–Bi–TiO2 catalyst of ultrafne nanoparticles dispersed with ­SiO2 under natural sunlight

Strategies for acrylonitrile industrial wastewater photodegradation with F-S-Bi-TiO2/SiO2 ultrafine nanoparticles under natural or simulated sunlight irradiation

Published in Chemistry

Like

Share this post

Choose a social network to share with, or copy the URL to share elsewhere

This is a representation of how your post may appear on social media. The actual post will vary between social networks

Acrylonitrile is considered as a significant industrial chemical, originated by the direct oxidation of propylene with ammonia. It is extensively used for the preparation of synthetic rubber & resin, plastic and acrylic fiber. Various types of organic pollutants are formed during the production of acrylonitrile which has definitely induced serious impact on environmental and public health. Owing to its low bioavailability, high toxicity and mingled composition, acrylonitrile production wastewater has been directed as one type of refractory organic wastewater. Therefore, it is necessary to develop a safe and efficient technology for the treatment of acrylonitrile wastewater.

Various methods have been reported for the treatment of acrylonitrile wastewater, among those methods photocatalysis acquired much attention over the past decade. Since, photocatalytic reaction under sunlight irradiation is more energy-advantageous, and a lot of researchers have made vast efforts to realize the industrialization of photocatalytic treatment of industrial wastewater under sunlight. However, there were few successful reports under sunlight because of the complexity of industrial wastewater. Thus, photocatalytic treatment of industrial wastewater under sunlight was a great challenge for the researchers.

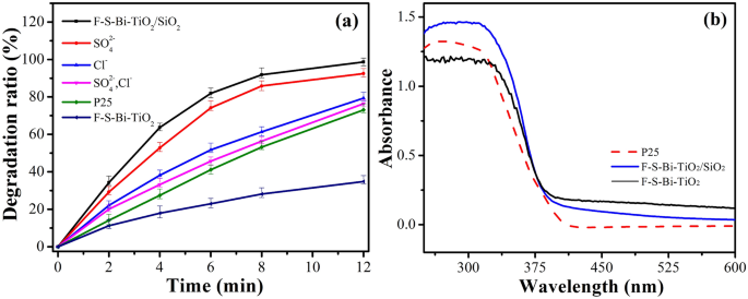
In our previous study, PhD Dandan Pang1,2 found that the high photocatalytic activity of F-doped TiO2 with degradation ratio 65.9% was attributed to the increase in the number and strength of surface acid sites. It was explained that F-doping led to the creation of surface oxygen vacancies, or the increase of Ti3+ state. The high photocatalytic activity provides a favorable guarantee for the degradation of acrylonitrile industrial wastewater, due to the complexity of industrial wastewater. Recently, highly active photocatalyst with degradation ratio 81.9%, having certain anti-ionic interfering function, of F, S and Bi doped TiO2/SiO2 (F-S-Bi-TiO2/SiO2) ultrafine nanoparticles was used for the first time to degrade the organic pollutants in acrylonitrile industrial wastewater under natural sunlight. UV-Vis analysis revealed addition of F, S and Bi led to the expansion of TiO2 response in the visible region and hence the efficient separation of charge carrier. Because SiO2 makes the catalyst have ultrafine crystal characteristics, the time for electrons to transfer from the inside to the surface becomes shorter, thereby accelerating the generation of active radicals, which ultimately leads to an increase in photocatalytic efficiency. The photocatalytic potential of as prepared catalyst to degrade acrylonitrile wastewater under simulated and natural sunlight irradiation was investigated. CODCr in wastewater decreased from 88.36 mgL-1 to 7.20 mgL-1 via 14 h irradiation of simulated sunlight and achieved regulation discharge by 6 h under natural sunlight, illuminating our photocatalyst effectiveness for refractory industrial wastewater treatment.

More details of this work could be found here: https://doi.org/10.1038/s41598-020-69012-z

References

  1. Pang, D. D.,Wang, Y. T., Ma,  D. & Ouyang, F. Fluorine promoted and silica supported TiO2 for photocatalytic decomposition of acrylonitrile under simulant solar light irradiation. Chem. Eng. J. 258, 43–50 (2014).
  2. Pang,D. D., Qiu, L., Zhu, R. S., Ouyang, F. Silica supported SO42-/TiO2 for photocatalytic decomposition of acrylonitrile under simulant solar light irradiation. Chem. Eng. J. 270, 590–596 (2015).

Please sign in or register for FREE

If you are a registered user on Research Communities by Springer Nature, please sign in

Follow the Topic

Chemistry
Physical Sciences > Chemistry

Related Collections

With Collections, you can get published faster and increase your visibility.

Reproductive Health

This Collection welcomes submissions related to a broad range of topics within reproductive health care and medicine related to reproductive well-being.

Publishing Model: Hybrid

Deadline: Mar 30, 2026

Obesity

This cross-journal collection welcomes submissions of clinical and preclinical work that explores all aspects of obesity, including causes, pathophysiological mechanisms, incidence, prevention, treatment and impact.

Publishing Model: Hybrid

Deadline: Apr 24, 2026