Remove the Boron if You Can: Macrocyclic BODIPYs Remain Fluorescent in Superacids

Our new macrocyclic BODIPY dyes remain fluorescent even in superacids, demonstrating how molecular weaknesses can be turned into strengths through structural design.
Remove the Boron if You Can: Macrocyclic BODIPYs Remain Fluorescent in Superacids
Like

Share this post

Choose a social network to share with, or copy the URL to share elsewhere

This is a representation of how your post may appear on social media. The actual post will vary between social networks

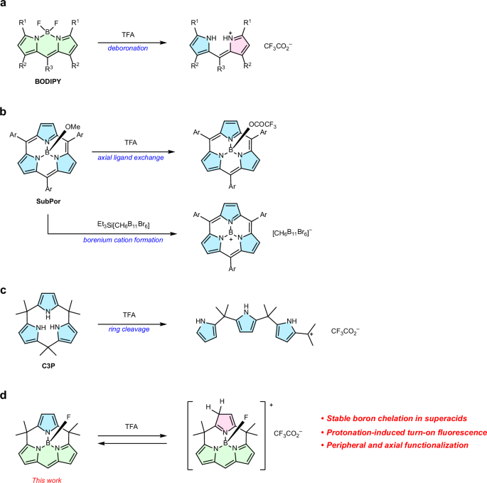
Why doesn’t this boron come out?

This question emerged while we were studying boron-containing macrocycles such as subporphyrins and subphthalocyanines. In these systems, the boron atom is typically used as a template for macrocyclization. Once embedded at the center of the macrocycle, the boron atom becomes so stable that it cannot be removed even under strongly acidic conditions. This exceptionally strong boron coordination by contracted porphyrinic macrocycles has long been recognized by chemists as a limitation, as it prevents the incorporation of other metal ions.

In contrast, some compounds suffer from the opposite problem, where the boron atom comes out too easily. Boron-dipyrromethenes (BODIPYs) are known to readily lose their boron center upon exposure to acidic conditions. This long-standing vulnerability is often described as the Achilles’ heel of BODIPY dyes. This made us wonder whether this apparent weakness could instead be turned into a strength.

At that time, we were not trying to solve the Achilles’ heel of BODIPY dyes, but were instead working on the chemistry of calix[3]pyrrole, a member of the contracted porphyrinoid family despite its globally non-aromatic skeleton. Calix[3]pyrrole itself is unstable under acidic conditions, undergoing strain-induced ring cleavage and ring-expansion reactions. However, we found that once a boron atom is installed at the center of the macrocycle, the resulting boron–calix[3]pyrrole complex becomes exceptionally stable even under strongly acidic conditions. We eventually realized that this unusual stability arises from a synergistic interaction between the boron center and the tripyrrolic macrocycle, allowing reversible protonation at one of the pyrrole units. This finding inspired us to test whether the same concept could be applied to BODIPY. When we embedded the BODIPY core within a framework containing three pyrrole units, something remarkable happened. The π-conjugated system preserved the intrinsic spectroscopic properties of BODIPY, while the same synergistic effect suppressed deborylation even in strongly acidic media.

The macrocyclic BODIPYs remain fluorescent even in superacids stronger than concentrated sulfuric acid, enabling applications such as acid sensing and fluorescence staining of highly acidic materials. Importantly, peripheral and axial functionalization allow orthogonal tuning of emission wavelengths and solubility, highlighting the versatility of this molecular design. More broadly, this work demonstrates how a long-recognized weakness of a molecular scaffold can be transformed into a strength through structural design.

We hope this work will inspire the development of fluorescent molecules capable of illuminating extreme chemical environments, demonstrating how molecular weaknesses can become powerful design principles.

Please sign in or register for FREE

If you are a registered user on Research Communities by Springer Nature, please sign in

Follow the Topic

Fluorescent dyes
Life Sciences > Biological Sciences > Biological Techniques > Biological Sensors and Probes > Fluorescent dyes
Organic Chemistry
Physical Sciences > Chemistry > Organic Chemistry
Supramolecular Chemistry
Physical Sciences > Chemistry > Organic Chemistry > Supramolecular Chemistry
Materials Chemistry
Physical Sciences > Chemistry > Materials Chemistry
Sensors
Physical Sciences > Chemistry > Analytical Chemistry > Sensors

Related Collections

With Collections, you can get published faster and increase your visibility.

Healthy Aging

This collection welcomes submissions based on studying preclinical models, as well as population-wide and clinical studies. Studies that advance our understanding of mechanisms behind healthy aging are also welcomed. Clinical research of interest will include epidemiological studies, observational studies, longitudinal cohort studies, systematic reviews and clinical trials.

Publishing Model: Open Access

Deadline: Jun 01, 2026

Women's Health

A selection of recent articles that highlight issues relevant to the treatment of neurological and psychiatric disorders in women.

Publishing Model: Hybrid

Deadline: Ongoing