The mechanical and sensory signature of plant-based and animal meat

The health of our planet and our bodies depends on us shifting away from the over-consumption of meat. By combining 3D experimental testing and sensory evaluation, we investigate the similarities and differences of current plant-based meat products compared to animal meats.
The mechanical and sensory signature of plant-based and animal meat
Like

Share this post

Choose a social network to share with, or copy the URL to share elsewhere

This is a representation of how your post may appear on social media. The actual post will vary between social networks

Would you substitute a beef burger with a plant-based patty?

Animal meat, particularly from cattle and sheep, is a particularly inefficient way to meet our protein needs given the land use and feed requirements of these animals.  The livestock industry alone contributes 12-18% of the total greenhouse gas emissions. In contrast, plant-based meat is estimated to have a 50% lower environmental impact than animal meat. Yet,  most people are still not reaching for a plant-based alternative meat on the supermarket shelves. Taste and texture are the two main reasons why people say they aren't making the switch. 

Making better meat alternatives requires pairing mechanical testing with sensory evaluation

One of the most common ways to quantify the mechanical differences between meat products is through texture profile analysis, which is a double-compression test. However, meat is a three-dimensional material, and chewing is a complex process, so using three-dimensional testing methods is important to understand how meat really behaves in our mouths. Here, we've used tension, compression, and shear tests.  Stiffness, the linear relationship between the applied stress and the resulting amount of deformation, provides a key metric which we can use to directly compare the meat products. 

While mechanical tests give us objective numbers like stiffness, sensory evaluation gives us subjective measures of how people perceive the texture of meat while chewing. We developed a survey that focused on the mechanical attributes of meat like softness and chewiness then gave people samples of each meat and asked them to rank how well each meat fit the descriptor. By combining mechanical testing with sensory evaluation, we are able to identify the current strengths and limitations of plant-based meats compared to animal meats. 

The good news: Plant-based meats are already able to mimic the mechanical behavior of minced animal meats. 

When it comes to minced or chopped animal products like hotdogs and sausages,  we found that their plant-based counterparts had similar stiffness values across tension, compression, and shear, as shown in Figure 1. In contrast, tofurky was much stiffer and tofu much softer than animal meats. Interestingly, all animal meats had a higher tension/compression stress ratio, meaning they were stiffer in tension than compression. In contrast, the plant-based meats tended to be equally stiff or stiffer in compression than tension. This asymmetry in mechanical properties is  one area to improve for plant-based products to better mimic animal meat. Notably, this difference was only revealed because we performed tests across multiple dimensions. 

Tension, compression, and shear testing of plant-based and animal meats.
Figure 1: (a)-(d) We performed tension, compression, and shear tests on 5 plant-based and 3 animal meats. (e)-(g) From the stress-stretch and stress-shear curves, we extracted the linear stiffness of each meat and (h) took the average across the three testing modes.  (i) We report the peak stress from the tension to failure test as well as the (j) stretch at peak stress. (k) Lastly, we took the ratio of the tension/compression stress at 10% stretch.

People can taste the stiffness of meat. 

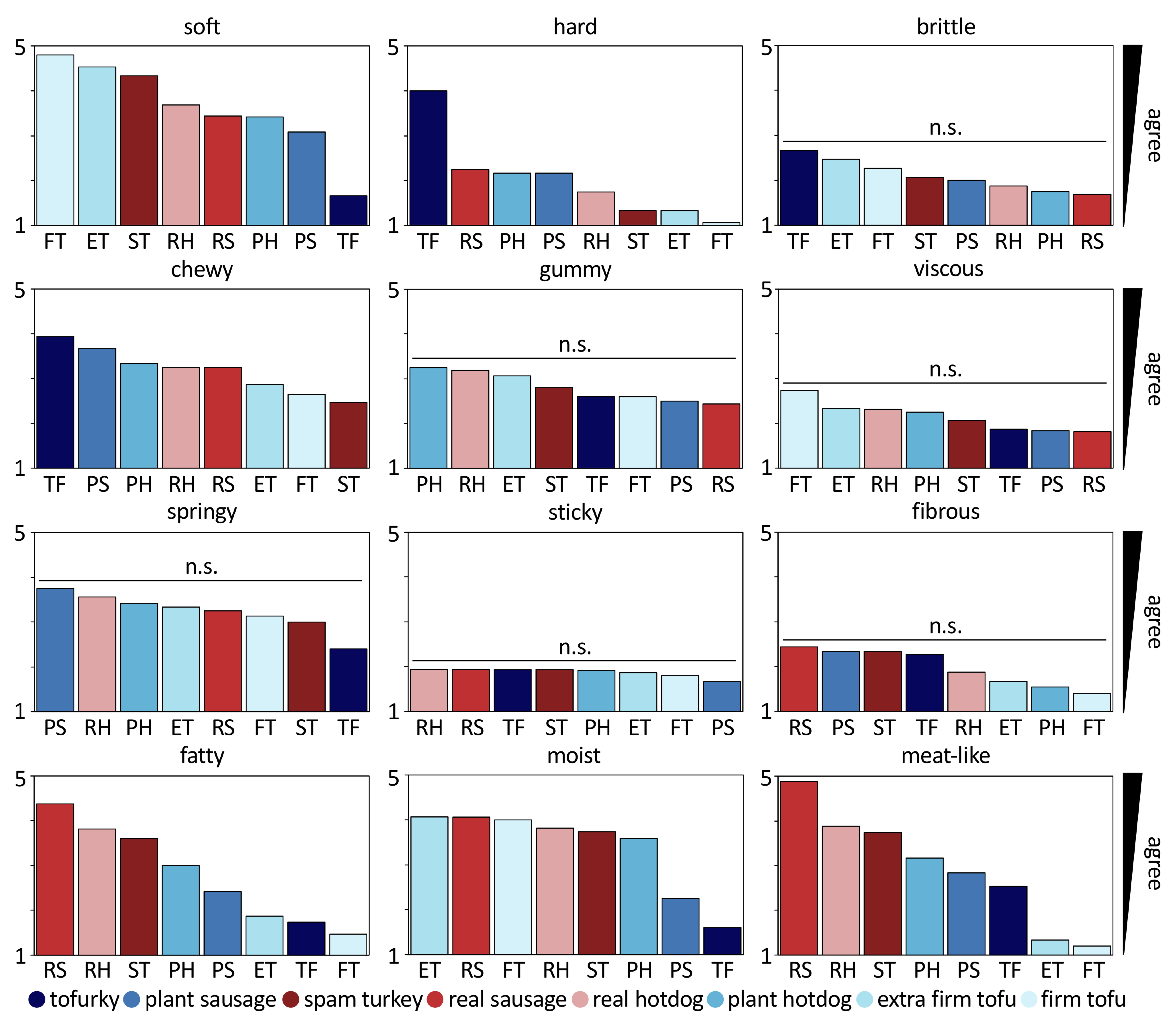
We surveyed 16 participants for our study. Based on two standard meat tasting surveys, the Food Neophobia Survey and Meat Attachment Questionnaire, our participants were generally very open to trying new foods and ambivalent to meat in their diet. In Figure 2, we show the results from participants' rankings of how each meat met certain mechanical descriptors. We have colored the meats by their mean stiffness in Figure 1 (h), above, with a darker color indicating a higher stiffness.  Interestingly, the ranking of softness is nearly the reverse of the measured stiffness, with plant-hotdog and plant-sausage again being quite similar to their animal equivalents and tofurky and tofu being on either end of the scale. Hardness is nearly the reverse ranking of softness. This indicates that stiffness is positively correlated with the perception of hardness and inversely with softness. One key area for improvement of plant-based meats is in their perceived fattiness - recreating the complex structure of meat including fibers and fat remains a critical challenge. 

Sensory evaluation of the mechanical characteristics of animal and plant-based meats.
Figure 2: We gave cooked samples of each meat product to participants and had them rank on a scale of 1-5 how well each meat fit the sensory description, with 1 being strongly disagree and 5 being strongly agree.  Plots with n.s. mean that any differences between meats are not statistically significant. 

The future of plant-based meat: rigorous testing, consumer evaluation, and open-source data. 

Mechanical testing enables rigorous cross-meat and cross-study comparisons with objective, quantifiable metrics like stiffness. Consumer evaluation of meat products is critical to understand how people perceive meat while eating it. Yet, to truly accelerate the design of plant-based meats, sharing open-source data is essential.  Our vision is to use the results of testing and sensory evaluation in a generative artificial intelligence framework that will allow us to reverse engineer formulas for plant-based meat products with customer-friendly tunable properties. We are committed to keeping our data accessible at https://github.com/LivingMatterLab/CANN. 

Will you join us in the future of alternative meat engineering?

Please sign in or register for FREE

If you are a registered user on Research Communities by Springer Nature, please sign in

Follow the Topic

Biomechanics
Life Sciences > Biological Sciences > Zoology > Biomechanics
Environmental Health
Physical Sciences > Earth and Environmental Sciences > Environmental Sciences > Environmental Health
Food Science
Life Sciences > Biological Sciences > Food Science
Sensory Evaluation
Life Sciences > Biological Sciences > Food Science > Sensory Evaluation
Mechanical Properties of Materials
Physical Sciences > Materials Science > Materials Characterization Technique > Characterization and Analytical Technique > Mechanical Properties of Materials
SDG 2: Zero Hunger
Research Communities > Community > Sustainability > UN Sustainable Development Goals (SDG) > SDG 2: Zero Hunger

Related Collections

With Collections, you can get published faster and increase your visibility.

Progress towards the Sustainable Development Goals

The year 2023 marks the mid-point of the 15-year period envisaged to achieve the Sustainable Development Goals, targets for global development adopted in September 2015 by all United Nations Member States.

Publishing Model: Hybrid

Deadline: Ongoing

The future of palm oil and palm oil product quality, safety and integrity in food technology

This collection invites research on the future of palm. Highlighting innovations in quality, safety and authenticity, supporting the supply of fully transparent and sustainable palm oil products.

Publishing Model: Open Access

Deadline: Nov 24, 2025