The price of prosociality in pandemic times
Published in Social Sciences
In the US, Sarah has recovered from COVID and also received three vaccine shots, but she still avoids crowds and the parties she loves and wears a mask full-time outside of her home. Mariano fears contracting COVID and infecting his dad, who has dementia (a condition that presents unique risks during a pandemic). He has completely changed his life in Buenos Aires, sacrificing his own interests to maximize his father's brain health. Survana lives in India where she earns minimum wage but decides to donate 10% of her monthly salary to contribute to social programs for people experiencing homelessness during the pandemic. Julia lived alone in Ireland and planned to visit her beloved family in the UK for Christmas. Still, the risk of contagion for her family and the community are too high; she decides to stay home alone for the holidays. Every day, millions of people across the globe make individual sacrifices to promote the wellbeing of their families and communities in these pandemic times. This human trait is called prosociality and has, in many ways, reduced the magnitude of negative impacts brought on by the SARS-CoV-2 pandemic. The following question, however, remains to be answered: is prosociality sustainable?
Research has shown that the Power of Us—a set of prosocial tendencies such as empathy and moral cooperation—is critical to cope with behavioral changes required by pandemic-related legislation. Fear, individualism, and counter-empathy, however, are not conducive to supporting behavioral changes involving social distance, hygienic habits, and other areas of life impacted by the pandemic. Through an open survey, we investigated the extent to which empathy and moral cognition influence different behaviors during pandemics. The study discussed here assessed the way in which factors associated with prosociality (e.g., empathy and moral judgement that supports social benefits) may predict public health restrictions. These restrictions (quarantine, curfews) involve isolation, uncertainty, economic strain, and mental health risks. We were also interested in evaluating the price of prosocial tendencies regarding risk perception (related to evaluation of contagion and health risks) and impact estimations (projected negative consequences for medical and social life at individual, familial, and community levels). These are two critical measures for tracking the capacity of perceiving and weighing the future consequences of the SARS-CoV-2 pandemic.
We found that people with higher prosocial tendencies (greater empathy levels and increased deontological moral tendencies favoring the common societal goods, see figures 1 and 2) presented increased acceptance of public health restrictions. But most relevant, these people overestimated their risk of contagion and perceived a more negative impact of the pandemic on their lives, their relatives, and their broader community in both health and social domains. These individuals also tend to have more pessimistic expectations for the economic reactivation of the community and the preservation of the social tissue during pandemics. Moreover, these effects (in risk estimation and negative impacts) were more noticeable among vulnerable demographics, including older and female participants. Results were preserved by controlling for demographic and individual mental health differences, such as depression and anxiety traits. In brief, one of the most relevant sets of psychological attributes required to respond effectively to pandemic requirements is increasing risk perception and negative impact estimation. While many of the broad effects of sustaining these prosocial tendencies may be positive in the short-term, prosociality may also have the potential to induce stress-related conditions and mental health challenges in individuals sustaining this trait over long periods of time.

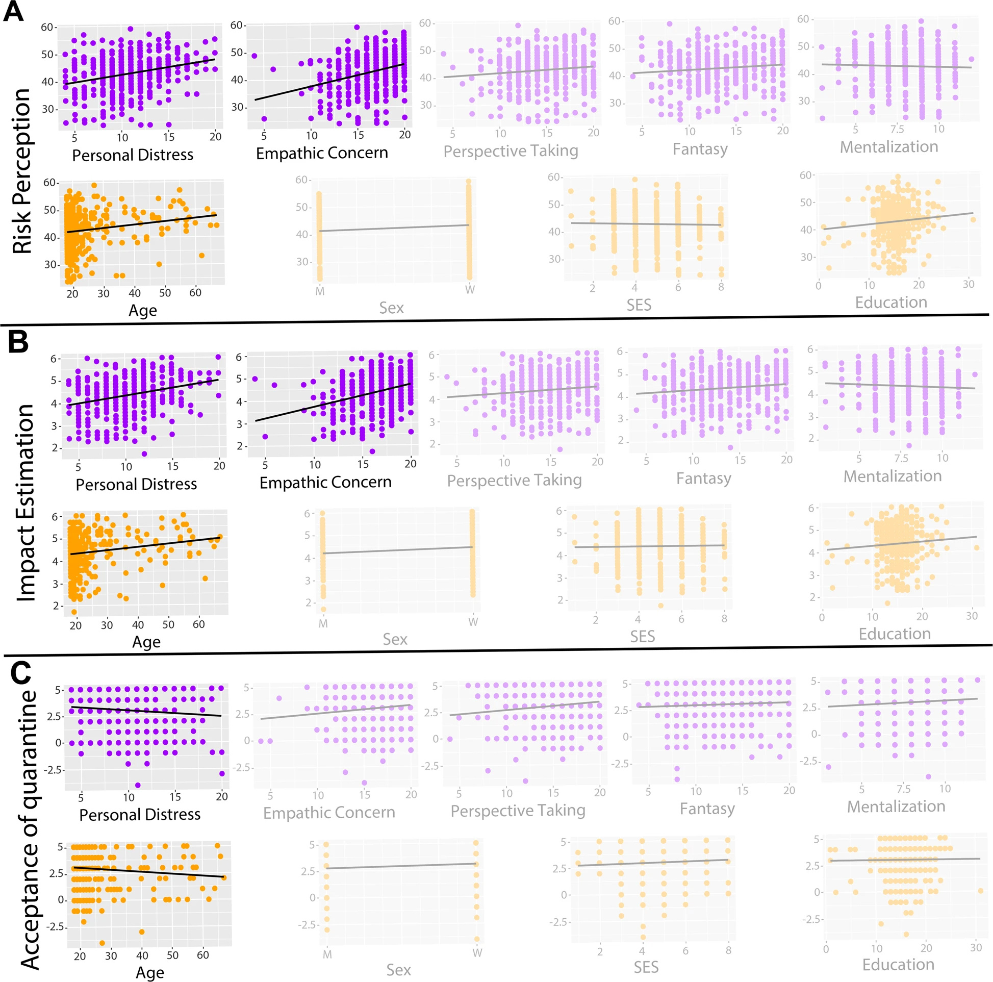
Figure 1. A Regression analysis using risk perception as the dependent variable. The dependent variable was explained by personal distress, empathic concern, and age. B Regression analysis using impact estimation as the dependent variable. This variable was predicted by personal distress, empathic concern, and age. C Regression analysis using the acceptance of quarantine as the dependent variable. This variable was predicted by personal distress, SES, and age. The non-significant variables were shaded across panels. SES socioeconomic status. Reproduced from https://www.nature.com/articles/s41599-021-01022-2
In summary, our results revealed the extent to which two facets of prosociality impact pandemic behaviors. On the one hand, empathy skills and deontological choices predicted acceptance of pandemic requirements (e.g., quarantine). On the other hand, however, these traits also triggered the overestimation of risk signals associated with infection (risk perception and impact estimation).
Figure 2. A Regression analysis using risk perception as the dependent variable. This variable was explained by harm assessment in IH, age, and sex. B Regression analysis using impact estimation as the dependent variable. This variable was predicted by harm assessment in IH, age, and sex. C Regression analysis using the acceptance of quarantine as the dependent variable. This variable was predicted by increased acceptance of IB, reduced acceptance of IH, and age. The non-significant variables were shaded across panels. IH instrumental harm, IB impartial beneficence, SES socioeconomic status. Reproduced from https://www.nature.com/articles/s41599-021-01022-2
Prosocial predispositions may play essential roles in individual responses to the pandemic. Interventions promoting social care and solidarity during pandemics should be accompanied by mental health interventions that help more specifically to reduce the emotional burden experienced by individuals with high prosociality traits – a form of personalization of care. Such programs should promote social skills while reducing stress and teaching coping mechanisms for facing challenging situations. Government emphasis on behavioral change needs to be focused not only on prosociality but also on how to maintain health during these times by improving brain health diplomacy, Brain Capital, and mental health.
* The figure illustrating the post has been designed and produced By Lucas Neufeld, Nano Santamaria, and Agustin Ibanez
Follow the Topic
-
Humanities and Social Sciences Communications
A fully open-access, online journal publishing peer-reviewed research from across—and between—all areas of the humanities, behavioral and social sciences.
Related Collections
With Collections, you can get published faster and increase your visibility.
Interdisciplinarity in theory and practice
Publishing Model: Open Access
Deadline: Dec 31, 2026
Addressing the impacts and risks of environmental, social and governance (ESG) practices towards sustainable development
Publishing Model: Open Access
Deadline: Mar 27, 2026
Please sign in or register for FREE
If you are a registered user on Research Communities by Springer Nature, please sign in