What counts as killing and what as letting die?
Published in Social Sciences
A long held issue in bioethical debates related to end-of-life decisions is the distinction between killing and letting die. Critics of the legalization of euthanasia have traditionally invoked that distinction to explain why withholding life-sustaining treatment (WH-LST) and withdrawing life- sustaining treatment (WD-LST) can be morally permissible, while euthanasia cannot. The underlying assumption is that physicians who refrain from applying life sustaining treatmens âfor instance a vital drug- and those who stop them once initiated âfor instance extubation from ventilatory dependent patients- merely let their patients die, whereas those who inject a lethal dose of a substance kill them. Advocates of legalization, on the other hand, often use the categories "killing" and "letting die" as if they did not presuppose a moral assessment of the behaviors in question, but only to describe them. They understand that there are morally acceptable and morally unacceptable ways of both killing and letting die.
In an influential study, Cushman and colleagues showed that moral appraisals affect doing/allowing judgments. They examined peopleâs judgments about two doctorsâ behaviours that each resulted in the death of a homeless patient (Cushman et al. 2008). The doctors behaved in exactly the same way, except that they differed in their primary motive: half the participants read about a doctor who was motivated by concern for the patientâs dignity, while the other half read about a doctor holding a derogatory view about the patient, and whose motivation was to save time and hospital resources. This study showed that participants who condemned euthanasia were more likely to indicate that the doctor ended the patientâs life.
While moral philosophers and laypeople commonly use the terms doing versus allowing as if they could capture all possible instances of human behavior, recent research in moral psychology has introduced enabling as a normatively distinct category that people prefer over doing or allowing to describe certain cases where the agent behavior results in harm (Barry and Ăverland 2011; Barry, Ăverland and Lindauer 2014). A person enables an event (e.g. death) when the event results from an action ânot an omission- but without its being the case that there is a complete causal process between the agentâs action and the event: the agentâs action is necessary but not sufficient for the event to happen. According to this definition, WD-LST is a case of enabling death, while WH-LST and medically assisted death are not, the former because it only involves omissions, the latter because it is sufficient for bringing about death.
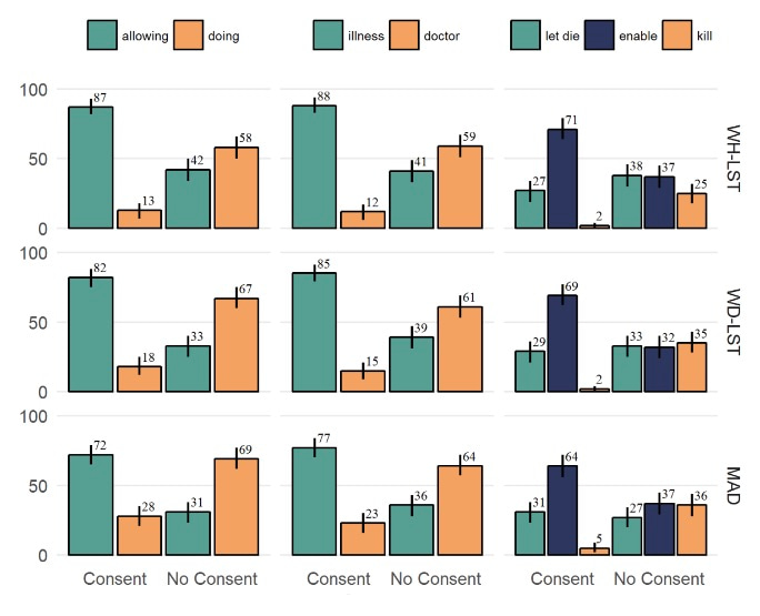
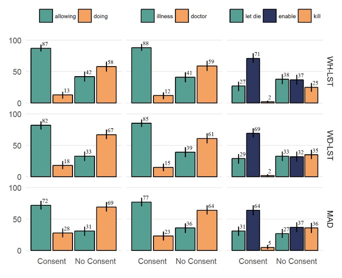
By applying this type of research to the bioethical context of end-of-life decision making, David RodrĂguez-Arias, Blanca RodrĂguez, Anibal Monasterio Astobiza and Ivar Hannikainen (2020) have explored whether different uses these terms may be at the root of social and academic disagreements about medically assisted death. In their study, they investigate how health professionals, students of medical sciences and other disciplines think and conceptualize expressions such as "killing", "letting die" and "euthanasia". Medical students and professionals (N=184), as well as students from other disciplines (N=122), were recruited and presented with hypothetical scenarios describing physicians´ decisions at the end of life: withholding of life support treatment (not putting on a ventilator), withdrawal of life support treatment (extubation), and an injection of a lethal substance. Each of these practices were performed by a physician, who behaved either in accordance with the patientâs preferences, or against them. In the experiment, the modulating factor was the consent of the patient, who either consented the intervention or opposed it: half of the participants were given three scenarios in which the physician acted out of respect for the patient´s wish, and the other half responded to identical scenarios in which the physicians acted in an identical manner, except for the fact that the patient opposed the intervention.
After each intervention, participants viewed three sets of statements about the physicianâs behaviour, as follows
- Doing/allowing judgments. Participants were asked to endorse eitherthe statement that the doctor (1) âended the patientâs lifeâ or (0)âallowed the patientâs life to endâ.
- Causal selection. Participants were asked to identify the cause of the patientâs death: i.e. whether (1) the doctor or (0) the patientâs illness caused the patientâs death.
- Killing/enabling/letting-die. Participants were asked to select one of three descriptions of the physicianâs behaviour: âThe doctor killed the patientâ, âThe doctor let the patient dieâ, or âThe doctor enabled the patientâs deathâ.

On the one hand, the results of this research show that both lay people (students) and health professionals use the terms âkillâ and âlet die âin an evaluative (such as morally charged) rather than simply descriptive way. This would explain why some people characterize some acts, such as withdrawing life support treatment (that intervention involves actions, not simply omissions), as "letting" or "allowing" death; while others describe certain omissions, such as not initiating life support treatment (not offering breathing assistance to a patient who requests it), as examples of "killing". We can therefore conclude from this is that, in employing the categories of âkillâ and âlet dieâ, bioethicists and scholars involved in these debates should clarify whether they use these terms descriptively or evaluatively. Otherwise, they may be creating further confusion to a debate already plagued by inaccuracies and ambivalence (Simon-Lorda & Barrio-Cantalejo. 2012).
On the other, the results suggest that the bipartite distinction pitting "killing" against "letting die" appears incomplete. Echoing previous studiesâ results on the doing/enabling/allowing distinction (Barry et al. 2014), participants often prefer to describe life-ending interventions as âenabling the patientâs deathâ, when afforded this third option. Further research on âenablingâ in end-of-life contexts may bring welcomed nuance to ongoing debates about the distinction between WH-LST and WD-LST.
Understanding the theoretical assumptions of the language used to refer to practices linked to the end of life is particularly important, especially if legal consequences are to be derived from such categories. Future studies using experimental procedures and empirical data (in line with the interdisciplinary field of experimental philosophical bioethics) help to advance in the understanding of social controversies, including those about end-of-life decisions.
References
Barry, C., Lindauer, M., & Ăverland, G. (2014). Doing, allowing, and enabling harm: An empirical investigation. In T. Lombrozo, J. Knobe & S. Nichols (Eds.), Oxford studies in experimental philosophy (Vol. 1, pp. 62â90). Oxford, U.K.: Oxford University Press.
Barry, C., and Ăverland, G. The Feasible Alternatives Thesis: Kicking Away the Livelihoods of the Global Poor (2012) Politics, Philosophy and Economics
Cushman, F., Knobe, J., & Sinnott-Armstrong, W. (2008). Moral appraisals affect doing/allowing judgments. Cognition, 108(1), 281â289.
RodrĂguez-Arias D, RodrĂguez LĂłpez B, Monasterio Astobiza A and Hannikainen IR. (2020) How Do People Use "Killing", "Letting Die", and Related Bioethical Concepts? Contrasting Descriptive and Normative Hypotheses. Bioethics. (2020) (DOI: 10.1111/bioe.12707)
Simon-Lorda, P., & Barrio-Cantalejo, I. M. (2012). End-of-life healthcare decisions, ethics and law: The debate in Spain. Eur. J. Health Law, 19(4), 355â365.
Follow the Topic
-
Nature
A weekly international journal publishing the finest peer-reviewed research in all fields of science and technology on the basis of its originality, importance, interdisciplinary interest, timeliness, accessibility, elegance and surprising conclusions.
-
Scientific Reports
An open access journal publishing original research from across all areas of the natural sciences, psychology, medicine and engineering.
-
Nature Human Behaviour
Drawing from a broad spectrum of social, biological, health, and physical science disciplines, this journal publishes research of outstanding significance into any aspect of individual or collective human behaviour.
Related Collections
With Collections, you can get published faster and increase your visibility.
Advances in neurodegenerative diseases
Publishing Model: Hybrid
Deadline: Jun 30, 2026
Basic Psychological Needs and Well-Being
Publishing Model: Hybrid
Deadline: Nov 27, 2026
Please sign in or register for FREE
If you are a registered user on Research Communities by Springer Nature, please sign in