Examining energy inequality under the rapid residential energy transition in China through household surveys

How the abrupt and massive-scale energy transition affects energy inequality in China? Our study investigates the differential impacts of the energy transition on household energy cost and energy burden between urban and rural areas, as well as among different regions.

Published in Social Sciences

Examining energy inequality under the rapid residential energy transition in China through household surveys
Like

Share this post

Choose a social network to share with, or copy the URL to share elsewhere

This is a representation of how your post may appear on social media. The actual post will vary between social networks

In the past decade, although a series of actions have been taken to facilitate the residential energy transition to address severe air pollution issues, abruptly and substantially switching energy sources across the country raised deep concerns about energy inequality.

Residential energy transitions from 2011 to 2017. The proportions of households using different fuel types for cooking at the baseline (2011) and at the follow-up times (2013, 2015, and 2017).

Residential energy transitions from 2011 to 2017. The proportions of households using different fuel types for cooking at the baseline (2011) and at the follow-up times (2013, 2015, and 2017).

   To address this issue, we employed nationwide survey data to identify the households that underwent a variety of energy transition pathways during this rapid transition. Our findings show that, during 2013-2017, cost-based energy inequality among Chinese households declined but still existed. More noteworthy, households that experienced energy transition were mainly dominated by low-income groups (i.e., extremely poor and poor households), with a share of around 60%. This finding also helps explain why households that adopt clean stoves often concurrently use their solid-fuel stoves in a previous study.

Distribution patterns of households with residential energy transition by income groups. a, b, c, Sample sizes of households switched from solid fuels to clean fuels (a) before the wide implementation of energy transition programs, and (b, c) during the period of a rapid transition in support of government efforts. d, e, f, Percentages of households that switched from solid fuels to clean fuels by income groups (d) during 2011-2013, (e) during 2013-2015, and (f) 2015-2017. 

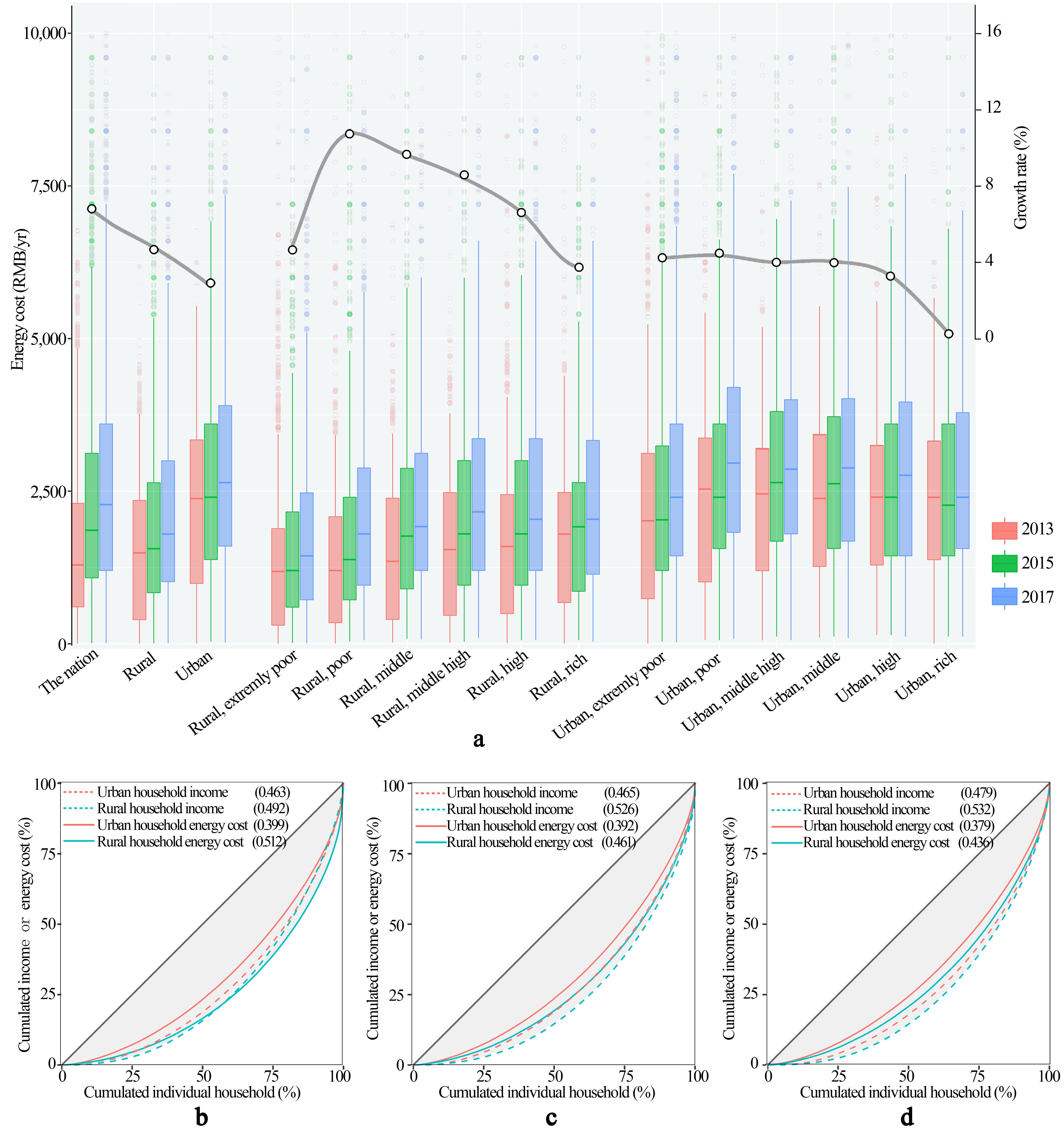
     Our findings indicated that, with a dramatic increase in energy costs for households that switched from traditional solid fuels to clean energy, the energy cost-based inequality had declined within either urban or rural areas. However, the inequality level within the rural areas was still high, with the Gini index being 0.436 in 2017. Moreover, unlike urban households which experienced a decline in energy burden from 5.4% to 4.8% during 2013-2017, the energy burden on rural households was reinforced (increased from 5.3% to 6.5%). When measuring energy inequality in energy burden, we found that, during the rapid energy transition, both urban-rural and regional inequality in energy burden were aggravated to some extent.

Household energy cost and its growth rate by urban-rural divide and associated inequality. a, Household energy cost by urban-rural divide; The income groups are ordered from the poorest on the left to the richest on the right for rural and urban households, respectively; The growth rate of median energy cost for each income group is shown in gray dot lines. The box plots in a display the median line, 25~75% box limits with 1.5× interquartile range whiskers, and the red, green and blue points on the graph represent the outliers that are outside a distance of 1.5 times the interquartile range from the lower or upper quartiles. b, c, d, Lorenz curves and Gini indexes (figures in parentheses) of household energy cost and income by the urban-rural divide in 2013(a); in 2015(b); in 2017(c). The shaded gray regions indicate the values of the Gini index.  The diagonal is the line of perfect equality.

     By employing both linear models and nonlinear models, we found that promoting household income levels and urbanization seem to be beneficial to reducing the energy burden. In addition, there were mixed relationships between the other driving factors and household energy burden, including the average age of family members, family size, and the accessibility to gas fuels. These factors generally have a linear relationship with household energy burden in previous research. However, our study indicates the presence of nonlinear relationships, which provide a new perspective to understand how demographic and regional features impact household energy burden.

Performance in the random forest regression model. a. Comparison between the observed and model-predicted lnBurden (R2=0.883), the x=y lines are shown in black, and the line of best fit in blue. b – f. Relationship between the household energy burden and the indicator of lnIncome (b); and lnAge (c); and lnFamily_size (d); and lnAccess_gas(e); and lnClimate (f). The 95% confidence intervals are shown by the shaded areas in b – f.

Please sign in or register for FREE

If you are a registered user on Research Communities by Springer Nature, please sign in

Follow the Topic

Society
Humanities and Social Sciences > Society
  • Nature Energy Nature Energy

    Publishing monthly, this journal is dedicated to exploring all aspects of this on-going discussion, from the generation and storage of energy, to its distribution and management, the needs and demands of the different actors, and the impacts that energy technologies and policies have on societies.

Related Collections

With Collections, you can get published faster and increase your visibility.

Microgrids and Distributed Energy Systems

This Collection highlights the research advancing the design, control, monitoring of microgrids and relevant components, including the coverage of different scales of the electric grids, challenges with integrating various renewable energy sources, and life cycle analyses.

Publishing Model: Hybrid

Deadline: Mar 31, 2026