How can cities adapt to a warmer climate?

Urban populations are particularly vulnerable to extreme heat. In this paper, we demonstrate how spatial causal inference can model interventions to reduce the urban heat island effect.
How can cities adapt to a warmer climate?
Like

Share this post

Choose a social network to share with, or copy the URL to share elsewhere

This is a representation of how your post may appear on social media. The actual post will vary between social networks

One of the significant outcomes of COP28 this past December was to further define the Global Goal on Adaptation (GGA). The GGA develops consensus on what measures countries should take to ensure their citizens are prepared for a changing climate. As heat waves are becoming more intense and summers grow longer, communities around the world need to put into place interventions that reduce the burden of extreme heat on human health and energy systems. Our research demonstrates how to estimate the efficacy of such interventions.

Extreme heat is not a new health risk – by many accounts, it is the deadliest natural hazard. In a warming climate, we can expect this to continue being the case. Heat exposure is exacerbated in urban areas, where the urban heat island effect can cause temperatures to be much higher than the surrounding countryside (often by more than 5 degrees Celsius). With less vegetation and large amounts of asphalt, urban areas absorb more heat from the sun, and urban populations experience that heat through increased temperatures. If cities can put into place interventions to reduce this effect, they will reduce mortality and heat-related illness, as well as lower energy demand caused by prolonged heat waves. Thus, cities should prioritize urban heat island mitigation to adapt to a warming climate.

We look at two common urban heat island interventions in our research: cool roofs and urban greening. With cool roofs, highly reflective paint is coated onto rooftops to increase their albedo, or the amount of solar radiation reflected. With urban greening, asphalt or concrete surfaces are replaced with greenspace. Vegetation also increases albedo, while also raising evaporation rates, which has a cooling effect on the surrounding air. Using satellite imagery, we can measure the albedo and vegetation in an urban area. By combining this data with air temperature observations, we develop a model to estimate the effect of altering albedo and vegetation on temperature.

Our model comes from recent developments in the field of spatial causal inference, which seeks to adapt causal inference to spatial problems (such as those often encountered in the environment). In urban heat island research, spatial causal inference is an underused approach for understanding interventions, and our paper demonstrates one way to apply this approach. We determined that a data driven approach could be used to estimating the impact of interventions on temperature. This is in contrast with physics-based approaches, which estimate the effects of interventions by simulating the change in heat transfer that occurs when altering the urban environment (e.g., by planting trees or installing a cool roof).

Our data driven approach is made possible through recent statistical innovations that overcome the assumptions on which traditional causal inference rely. We review two of these assumptions and make use of recent innovations in the field to address them.

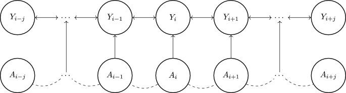
The first broken assumption is that of no interference. Interference refers to the fact that spatial units are not independent. That is, if we change the vegetation in one area, the temperature in neighboring areas will be affected. In our model, we derive a spatial term to consider the effects of interference. This spatial term allows us to distinguish the direct effect of changing vegetation or albedo on the temperature where that change was applied from the indirect effect of changes in the surrounding area. The second broken assumption is that there is no unobserved confounding variable that affects the outcome (air temperature). Air temperature is affected by unmeasured variables, such as human activity (e.g., heat emitted from vehicles and buildings) or prevailing weather conditions. Since these are often difficult to observe directly, we adjust for the existence of these variables when fitting the model.

The result is a model that can provide estimates of the effects of desired interventions on air temperature. To demonstrate this result, we visualize the effects of three commonly proposed interventions on air temperature: first, the effect of lining streets with trees; second, the effect of changing a blacktop to a park; and third, the effect of implementing a cool roof. As expected, a change to a larger area has an increased indirect effect on temperature further away from area of intervention. While we focus on showing local changes to air temperature, this model can also estimate larger scale changes to air temperature. For example, it can be used to estimate the change to air temperature if all buildings in a neighborhood were to implement a cool roof.

While we restrict our analysis to considering the effect of vegetation and albedo on temperature, we propose that our approach should be extended to consider alternative urban heat island interventions. Furthermore, effects should be tied to health outcomes and energy demand. For example, an alternative intervention could be to improve building energy efficiency. With increased energy efficiency, buildings release less heat into the urban canopy, resulting in a decreased urban heat island. In all cases, reduced urban heat is expected to reduce heat-induced illness and energy demand. The task remains to estimate to what extent such outcomes are achieved.

Towards that end, we consider our approach as an initial step towards precision climate management. We introduce the concept of precision climate management to refer to the fact that we should use data-driven approaches to understand how certain changes to the environment will impact the climate. Just as precision medicine has emerged as a useful technique for tailoring patient treatments to the individual, we suggest that approaches to climate adaptation should be tailored to the unique characteristics and desired outcomes of a particular community. Spatial causal inference allows for such tailor-made analysis.

A consistent theme at COP28 for refining the Global Goal on Adaptation is that of improving the evaluation of adaptive measures. We expect that further innovations in spatial causal inference can help address this gap, so that communities can better understand how to adapt to a warming climate.

Please sign in or register for FREE

If you are a registered user on Research Communities by Springer Nature, please sign in

Follow the Topic

Landscape/Regional and Urban Planning
Physical Sciences > Earth and Environmental Sciences > Geography > Human Geography > Urban Geography and Urbanism > Landscape/Regional and Urban Planning
Climate-Change Adaptation
Physical Sciences > Earth and Environmental Sciences > Environmental Sciences > Environmental Social Sciences > Climate-Change Adaptation
Applied Statistics
Mathematics and Computing > Statistics > Applied Statistics
SDG 11: Sustainable Cities
Research Communities > Community > Sustainability > UN Sustainable Development Goals (SDG) > SDG 11: Sustainable Cities
SDG 13: Climate Action
Research Communities > Community > Sustainability > UN Sustainable Development Goals (SDG) > SDG 13: Climate Action

Related Collections

With Collections, you can get published faster and increase your visibility.

Advances in neurodegenerative diseases

This Collection aims to bring together research from various domains related to neurodegenerative conditions, encompassing novel insights into disease pathophysiology, diagnostics, therapeutic developments, and care strategies. We welcome the submission of all papers relevant to advances in neurodegenerative disease.

Publishing Model: Hybrid

Deadline: Jun 30, 2026

AI for clinical decision-making

This Collection is dedicated to showcasing original research that advances multimodal learning frameworks capable of integrating diverse data sources—such as imaging, clinical text, laboratory results, and genomics—into cohesive and clinically useful predictive tools.

Publishing Model: Open Access

Deadline: Jun 23, 2026