Multi-omics analysis reveals PIAS family gene dysregulation as a driver of head and neck squamous cell carcinoma (HNSC) progression and therapeutic vulnerability

Head and neck squamous cell carcinoma is a highly aggressive cancer with limited biomarkers. PIAS genes regulate key signaling and may influence tumour growth and immunity. Their role in HNSC is not well defined. This study investigates PIAS family dysregulation and clinical relevance in HNSC.
Multi-omics analysis reveals PIAS family gene dysregulation as a driver of head and neck squamous cell carcinoma (HNSC) progression and therapeutic vulnerability
Like

Share this post

Choose a social network to share with, or copy the URL to share elsewhere

This is a representation of how your post may appear on social media. The actual post will vary between social networks

This project began with a simple observation. While exploring transcriptional datasets from head and neck squamous cell carcinoma, we noticed that PIAS genes repeatedly appeared among the most dysregulated regulators. Although PIAS proteins are known for their role in SUMOylation and transcriptional control, very little was known about their contribution to this cancer. This gap in the literature sparked the central question of our work: could PIAS genes serve as meaningful biomarkers or therapeutic targets in HNSC?

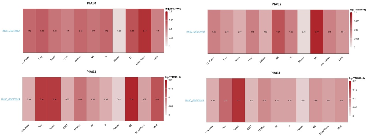
As we delved deeper, a much more complex picture emerged. Public datasets showed strong up-regulation of PIAS1, PIAS2, PIAS3 and PIAS4, but the mechanisms behind this pattern seemed unclear. We expanded our approach to include promoter methylation, genomic alterations, immune-cell correlations and protein-level validation. The more layers we added, the more consistent the findings became. The evidence pointed toward a coordinated dysregulation of the entire PIAS family.

The experimental phase of the study brought the story to life. When we knocked down PIAS genes, HNSC cells became less invasive, less migratory and less proliferative. Seeing these changes in real time made the computational predictions feel real. This was a turning point in the project and confirmed that PIAS genes are not just biomarkers, but active contributors to tumour behaviour.

The final step, molecular docking, added an unexpected dimension. Identifying potential inhibitors such as Cyclocreatine and Vorinostat opened a new therapeutic angle that we had not initially anticipated. It suggested that PIAS-related vulnerabilities may be pharmaceutically targetable.

This study represents the collective effort to connect genomic signals to biological meaning. By combining multiple databases with bench experiments, we uncovered a clearer view of how PIAS genes contribute to HNSC progression and how they might guide future diagnostic and therapeutic strategies. The journey revealed more than we expected, and we hope it encourages further exploration into this underexamined gene family.

Please sign in or register for FREE

If you are a registered user on Research Communities by Springer Nature, please sign in

Follow the Topic

Biomedical Engineering and Bioengineering
Technology and Engineering > Biological and Physical Engineering > Biomedical Engineering and Bioengineering
  • Discover Oncology Discover Oncology

    This is a fully open access general oncology journal that aims to provide a unified forum for researchers and clinicians. The journal spans from basic and translational science, to preclinical, clinical, and epidemiology, and welcomes content that interfaces at all levels of cancer research.

Related Collections

With Collections, you can get published faster and increase your visibility.

Single-Cell RNA Sequencing in Cancer Immunotherapy

Cancer immunotherapy is a hot area of current oncology research, with its core focus on activating or enhancing the body's immune system's ability to recognize and kill cancer cells. However, cancer cells possess complex heterogeneity and dynamics, which affect the efficacy of immunotherapy in many ways. Single-cell RNA sequencing (scRNA-seq) has emerged as a powerful tool in recent years, providing us with an unprecedented insight into the cellular heterogeneity and dynamics within tumors. This technology has revolutionized our understanding of cancer biology, especially in the context of cancer immunotherapy. By enabling researchers to analyze individual cells, scRNA-seq allows them to identify distinct cell populations, track cellular responses to treatments, and discover new therapeutic targets. This collection aims to compile cutting-edge research in this field and explore the various applications of single-cell RNA sequencing in cancer immunotherapy.

This collection will cover the following topics: 1. The latest advances in single-cell RNA sequencing technology in cancer immunotherapy, including research on technology optimization and data interpretation; 2. Using single-cell RNA sequencing to reveal the characteristics of immune cell subgroups in the tumor microenvironment and their interaction mechanisms with cancer cells; 3. Analyzing the molecular basis of immune therapy response and resistance through single-cell RNA sequencing, exploring new biomarkers and therapeutic targets; 4. Combining single-cell RNA sequencing with clinical studies of immunotherapy to assess treatment outcomes, predict patient prognosis, and optimize treatment plans.

Keywords: cancer immunotherapy, single-cell RNA sequencing, therapeutic targets, tumor microenvironment, treatment response

Publishing Model: Open Access

Deadline: Dec 19, 2025

Immune Checkpoint Inhibitors in Cancer: Mechanisms, Clinical Applications, and Future Directions

Immune checkpoint inhibitors (ICIs) have revolutionized cancer treatment by harnessing the body's immune system to target and eliminate tumor cells. These inhibitors, which include antibodies targeting CTLA-4, PD-1, and PD-L1, have shown remarkable efficacy in various cancer types, leading to durable responses and prolonged survival in patients who had limited treatment options. The success of ICIs in oncology has sparked a surge in research focused on understanding their mechanisms of action, identifying biomarkers for response, managing immune-related adverse events, and expanding their application to a broader range of malignancies.

However, despite the transformative impact of ICIs, many challenges remain. The majority of patients do not achieve complete responses, resistance to therapy is common, and the long-term effects of immune modulation are not fully understood. Ongoing research is crucial to optimize the use of ICIs, overcome resistance, and develop combination therapies that can enhance their efficacy.

This Collection aims to compile cutting-edge research and reviews on immune checkpoint inhibitors in cancer, encompassing a wide range of topics that reflect the current state and future directions of this rapidly evolving field. The issue will include but is not limited to the following themes:

Mechanisms of Action: Exploration of how ICIs modulate immune responses against cancer, including molecular and cellular mechanisms.

Clinical Applications: Studies on the efficacy and safety of ICIs in various cancer types, including ongoing clinical trials and real-world evidence.

Biomarkers of Response and Resistance: Research on predictive biomarkers for ICI efficacy, including genetic, proteomic, and immunological factors.

Combination Therapies: Investigations into the synergistic effects of ICIs with other treatment modalities, such as chemotherapy, radiation, targeted therapy, and other immunotherapies.

Management of Immune-Related Adverse Events (irAEs): Studies focusing on the identification, prevention, and management of irAEs associated with ICIs.

Emerging Targets and Future Directions: Reviews and original research on novel immune checkpoint targets beyond PD-1/PD-L1 and CTLA-4, and innovative therapeutic strategies in development.

Ethical, legal, and regulatory challenges arising from the ever-growing implementation of highly innovative techniques, and how to best meet such challenges in order to ensure equitable, patient-centered access to the most effective personalized/precision medicine-based diagnostics/therapeutics approaches as they become available.

We believe that this Collection will not only provide valuable insights into the current challenges and opportunities associated with ICIs but also serve as a comprehensive resource for researchers and healthcare professionals dedicated to improving cancer outcomes.

Keywords: immune checkpoint inhibitors, cancer treatment, biomarkers, immune-related adverse events, immune checkpoint targets

Publishing Model: Open Access

Deadline: Dec 31, 2025