Peering into Atoms: Using 3D Electron Diffraction and Kappa Refinement to Understand Atomic Ionization

Published in Materials and Physics

Peering into Atoms: Using 3D Electron Diffraction and Kappa Refinement to Understand Atomic Ionization
Like

Share this post

Choose a social network to share with, or copy the URL to share elsewhere

This is a representation of how your post may appear on social media. The actual post will vary between social networks

In the field of materials science and crystallography, the study of atoms and their interactions is crucial. Understanding how atoms bond and behave in different materials unlocks numerous technological advancements—from creating stronger building materials to enhancing electronic devices. Traditionally, scientists used X-ray diffraction (XRD) techniques to study atomic arrangements, but when it comes to tiny or crystals containing heavy elements, this method faces limitations. Our recent research in the 3D electron diffraction (3D ED) method has emerged as a powerful tool to overcome these challenges. Our recent study published in Nature Communications offers an approach to determining the ionisation of atoms in crystal structures by analysing 3D electron diffraction data. This blog post will explore the science behind this technique and its significance for crystal research.

The Challenge with Tiny Crystals
Crystals are composed of atoms arranged in highly ordered patterns, and uncovering these structures is key to understanding a material’s properties. For years, X-ray diffraction has been the go-to method for this, but XRD has its limits. Specifically, it struggles when applied to very small crystals, often producing inaccurate or incomplete data. That’s where 3D electron diffraction steps in. Unlike X-rays, electrons interact more strongly with matter, making 3D ED particularly effective for analyzing small or complex crystals.
Our work explores the refinement of 3D ED and demonstrates how it offers better insights into crystal structures compared to traditional X-ray methods.

Electron Diffraction: Seeing Atoms in 3D
To understand the kappa refinement method, it’s important to grasp how scientists visualize atoms. One powerful technique is 3D electron diffraction (3D ED), which involves bombarding a crystal with a beam of electrons and measuring how these electrons scatter. Because electrons are much smaller and interact more strongly with matter than other particles like X-rays, 3D ED is excellent at probing very small crystals that are difficult to study with traditional X-ray diffraction techniques.

In recent years, 3D ED has gained popularity for analyzing materials ranging from simple crystals to complex structures like proteins. 

The Role of Structure Refinement
While 3D ED offers a powerful way to collect diffraction data, accurately interpreting that data requires additional refinement techniques. In the study, we used a process called dynamical refinement. This refinement considers how electrons scatter multiple times within a crystal—a phenomenon called multiple scattering. Accounting for this leads to more accurate models of the crystal structure

The Basics: Traditional vs. New Models of Atoms
A standard model used in crystal structure refinement is the Independent Atom Model (IAM). This model assumes that each atom in the crystal behaves as if it is isolated, with a spherical distribution of electron density. IAM is a convenient approximation, but it has limitations, especially when studying complex materials. We explored beyond this model using what is known as "kappa refinement," which introduces the concept of charge transfer into the model.

How Does Kappa Refinement Work?
We tested the method on five different materials, including quartz (SiO₂), natrolite, borane, caesium lead bromide, and lutetium aluminium garnet. These materials were chosen because they represent a wide range of chemical bonding types and atomic structures.

Kappa refinement improves upon the traditional IAM by adding two key parameters: Pval and kappa (κ). These parameters adjust how much electron density is assigned to the atoms' valence shells (the outermost electron layers where bonding occurs). By doing so, we could model how electrons shift between atoms—indicating which atoms become more positively or negatively charged in the process.

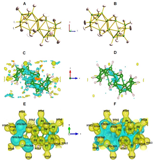
For example, in quartz (SiO₂), kappa refinement showed how silicon atoms lose electrons to oxygen atoms, revealing a clear charge transfer from one element to the other. This insight helps explain how these materials bond on a deeper level than what IAM could offer. In the recent study, the refinement techniques were applied to complex materials like borane and LuAG (Lutetium Aluminum Garnet). Borane showed the most significant improvement in structure model accuracy after kappa refinement, attributed to its quasi-aromatic structure. On the other hand, for LuAG, a material with heavy elements, the shielding effect of core electrons reduced the impact of valence electrons, resulting in a minimal improvement after refinement. However, the use of kappa refinement still provided important insights into charge distribution and bonding, showcasing the method's versatility across different materials.

Testing the Accuracy: DFT Calculations

To ensure that the results were accurate, we compared the outcomes of their kappa refinement with Density Functional Theory (DFT) calculations. DFT is a computational method often used to predict how electrons behave in atoms and molecules. The comparison showed that the kappa refinement results closely matched the predictions from DFT, giving further validation to this new approach.

Interestingly, the level of accuracy varied depending on the type of material. In simpler materials like quartz, the results were highly consistent. However, in more complex materials like borane (B₁₈H₂₂), the model required further refinement, as borane has an unusual electron distribution that behaves in a quasi-aromatic manner, meaning its electrons are more delocalized.
Figure 1 below illustrates the improvements in the structure model between the traditional IAM approach and the kappa refinement method.

Figure1. Evaluation of quality of refinements for borane. Structure model of the compound after IAM refinement (A) where green boxes indicate non-positive definite displacement parameters of the boron atoms, which gets better after the kappa refinement (B).  The 3D difference fourier map after IAM refinement (C), and after kappa refinement (D). Static deformation maps (depicting charge transfer) of the molecule after the refinement of experimental structure factors (E) and theoretical structure factors from Crystal23 (F). Positive and negative isosurfaces are plotted in yellow and blue, respectively.

Why Does This Matter?

Understanding ionization and charge transfer between atoms is critical for developing new materials. For instance, perovskite materials like caesium lead bromide (CsPbBr₃) are promising for making high-efficiency solar panels. By using kappa refinement, scientists can better understand how electrons behave in these materials, which can lead to improved performance in solar cells and other electronic devices.

Moreover, materials like lutetium aluminium garnet (LuAG), and borane are used in lasers and other high-tech applications. Knowing exactly how the atoms in these materials exchange electrons can help engineers fine-tune their properties, making them more efficient or durable.

Conclusion
The advancements in 3D electron diffraction and dynamical refinement represent a major leap forward in our ability to study the atomic world. By refining these techniques, we can now explore crystals that were previously too small or too complex to analyze with traditional methods like X-ray diffraction. We believe kappa refinement offers a pathway to more accurate and detailed crystal structure determinations.
As technology continues to improve and more research is conducted, we can expect even greater insights into the world of crystals—insights that have the potential to revolutionize fields as diverse as medicine, materials science, and chemistry.

Please sign in or register for FREE

If you are a registered user on Research Communities by Springer Nature, please sign in

Follow the Topic

Materials Characterization Technique
Physical Sciences > Materials Science > Materials Characterization Technique
Electron Diffraction
Physical Sciences > Materials Science > Materials Characterization Technique > Crystallography and Scattering Methods > Diffraction > Electron Diffraction
Nanotechnology
Physical Sciences > Materials Science > Nanotechnology
Crystallography and Scattering Methods
Physical Sciences > Physics and Astronomy > Condensed Matter Physics > Structure of Condensed Matter > Crystallography and Scattering Methods

Related Collections

With Collections, you can get published faster and increase your visibility.

Women's Health

A selection of recent articles that highlight issues relevant to the treatment of neurological and psychiatric disorders in women.

Publishing Model: Hybrid

Deadline: Ongoing

Biosensing

With this cross-journal Collection, the editors of Communications Biology, Nature Biomedical Engineering, Nature Sensors, Nature Communications, and Scientific Reports welcome the submission of primary research Articles focusing on the development of engineered biosensing devices with the potential to be applied in biomedical research and in the management of disease conditions.

Publishing Model: Hybrid

Deadline: Jun 30, 2026