Solving the mystery of unexpected methane plumes in the Neva Bay shipping lane

How an extra sensor, time, a chance meeting, and interdisciplinary collaboration lead to the discovery of a previously overlooked mechanism of ship-triggered methane emissions.

Published in Earth & Environment

  Solving the mystery of unexpected methane plumes in the Neva Bay shipping lane
Like

Share this post

Choose a social network to share with, or copy the URL to share elsewhere

This is a representation of how your post may appear on social media. The actual post will vary between social networks

Ship-triggered methane emissions

The global oceans are intensively trafficked by ships, and the intensity is especially high in coastal and estuarine areas (Figure 1) which are important sources of methane emitted to the atmosphere through diffusion or the release of bubbles (ebullition). Our recent study, published in Communications Earth & Environment, shows that when ships travel through shallow, methane-rich waters, the resulting pressure changes and water mixing can trigger significant methane emissions from the seafloor – emissions that rarely are captured by current field measurement approaches (Figure 2).

Figure 1. Global ship traffic density based on 2022 AIS data, presented as kilometres travelled every year in each 0.1° x 0.1° grid cell. Values of 106 km travelled y-1 correspond to ca 250 passages day-1 and 104 corresponds to ca 2.5 passages d-1 (in north south direction of the grid cell).

Measurement campaigns and monitoring schemes usually focus on pristine areas and exclude areas with intense ship traffic to avoid contamination. However, this approach implies there are large knowledge gaps regarding the effects of the impact of human-induced pressures and processes in areas with intense ship traffic. Our results show that although the shipping lane covers a limited area in the Neva Bay, the methane emission from the shipping lane can contribute with a considerable share of the total methane emission from the area. However, these emissions would still have been unknown, if a group of researchers from Chalmers University of Technology (Chalmers) had not been in the right place at the right time, looking for everything else than methane plumes, but with a methane sensor they didn’t expect to give any interesting signals.

Figure 2. A ship passing over a methane (CH4) rich sediment induces pressure changes, which triggers methane release from the sediment to the overlaying water. The methane is then emitted from the water to the atmosphere, a process which is sped up by the turbulent mixing in the ship wake.

It started with an eight-year old field campaign and a conference presentation

Johan Mellqvist and Kent Salo from Chalmers were part of a research project measuring air emissions from ship fuel combustion in Neva Bay in 2011 (Beecken et al., 2014), conducting measurements downwind of ships operating in regular traffic on the bay. During these measurements, they observed unexpectedly large methane emissions that appeared with a slight delay compared to the ship exhaust plumes (Figure 3). This delay indicated that the emissions were unrelated to the ships' fuel combustion.

Figure 3. Observed carbon dioxide (CO2) from the ships exhaust plume and delayed methane (CH4) emissions downwind a passing ship. A typical delay of ~50s between the CH4 and CO2 plumes, is clearly visible and indicated by the black arrow.

In 2012, they returned to continue studying exhaust gas emissions from ships in real traffic. This time, they brought complementary equipment to investigate the observed methane emissions more closely. These included floating chamber measurements on the water surface and sampling of oxygen levels at different depths (Figure 4). Multiple methane plumes were again detected, and it became clear that methane was present in the water at elevated concentrations. However, since these observations were outside the scope of the original study, no further efforts were made at the time to resolve the mystery of the large methane emissions.

Figure 4. Water sampling (top left), floating chamber measurements (right), and the gas inlets for the methane observations and the Airmar instrument used for wind measurements (bottom left). Photos: Johan Mellqvist.

Eight years later, Amanda T. Nylund started her PhD project on turbulent ship wakes at Chalmers (Nylund 2023), under the main supervision of Ida-Maja Hassellöv (Chalmers) and co-supervision of Lars Arneborg (Swedish Meteorological and Hydrological Institute, SMHI) and Anders Tengberg (Chalmers). Still, it was not until Amanda presented her work at a conference that some pieces to an unsolved the puzzle appeared. In the audience was Johan, who remembered the old measurements from Neva Bay. Could these be related to the ship wake disturbances that Amanda just had talked about? Now the time had come to look into the unexplained methane emissions, and a collaborative interdisciplinary investigation started!

Piecing the puzzle required collaboration

Solving the methane mystery now became a part of Amanda’s PhD project, and the two research groups started analysing the old dataset to figure out if the methane emissions could be linked to the turbulent wake from the ship. When it was evident that the emissions were linked to ship passages, another layer was added to the project. Rickard Bensow (Chalmers) was engaged to perform high resolution Computational fluid dynamic (CFD) modelling of the pressure and turbulence field around and behind the ship, in an attempt to investigate the potential mechanisms triggering the methane emissions. In addition, Jukka-Pekka Jalkanen (Finish Meteorological Institute) contributed with modelling estimates of the ships exhaust emissions, which made it possible to compare and correlate the combustion-related emissions with the triggered emissions of methane from natural sources.

Finalizing the project required a combination of methodological approaches, both field work and modelling, and disciplinary perspectives from the fields of physical, chemical and biological oceanography, naval architecture, atmospheric chemistry, numerical modelling and simulations (Figure 5). It took some time to find a common language to communicate effectively across the diverse disciplinary backgrounds, but it was both necessary and worthwhile.

Figure 5. A combination of methodological approaches, including both field work and modelling, was needed to solve the methane emission mystery. Photo: Amanda T. Nylund (left) and Johan Mellqvist (right).

What the final picture showed

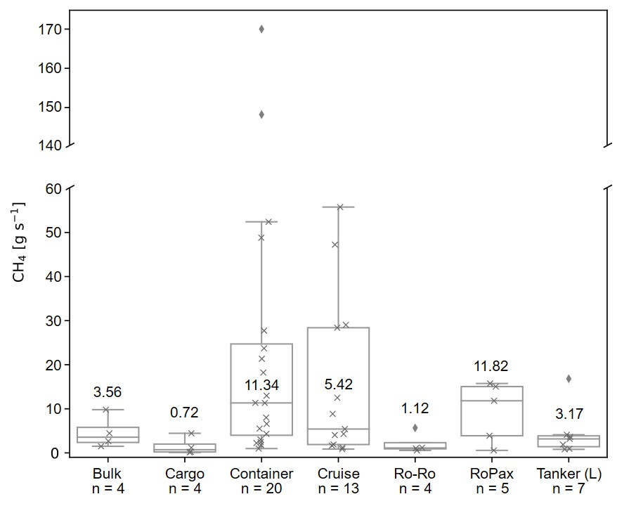
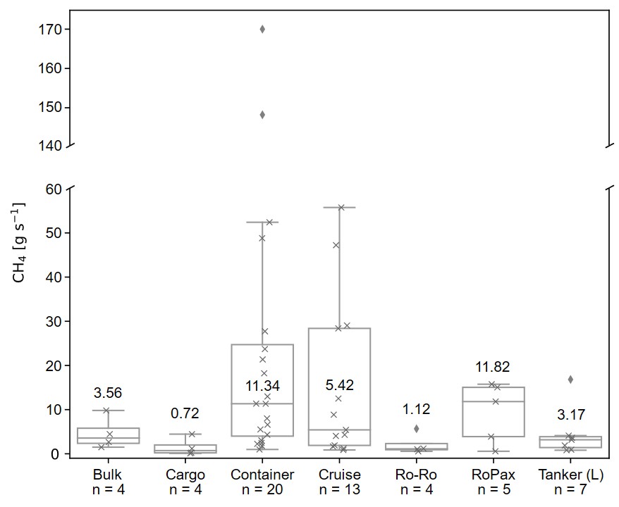
We found that ship-induced pressure changes and turbulent mixing frequently trigger large methane emissions in the Neva Bay shipping lane. Emissions were triggered by all types of ships, but they were more likely to occur if the ship was large and fast. Still, size and speed were not all that mattered, as there were clear differences in emission frequency and magnitude between different ship types of similar size (Figure 6). For example, cruise, RoPax (combined cargo and passenger), and container ships induced large methane emissions most often, but bulk ships of equal or larger size, did not induce as large or frequent emissions. In the end we partly solved the mystery: we achieved our goal of quantifying the magnitude and increasing the understanding of ship-triggered methane emissions for this particular location. The next step will be to investigate how relevant this process is for other similar locations around the world.

Figure 6. Methane (CH4) emission (g s–1) for seven different ship types. The number at each box indicate the median CH4 emission, indicated by the horizontal line inside each box, the individual datapoints are denoted by grey x-symbols, and grey diamonds show outliers. The number of passages (n) for each ship type is indicated on the x-axis. Note the broken y-axis for the two highest container observations.

Shipping lanes may hide more secrets

As a final note, we would like to emphasise the need of considering shipping lanes not merely as a disturbance to be avoided, but as an interesting phenomenon in need of further research. We have first-hand knowledge of how methodologically challenging it is to measure and model processes in shipping lanes and the many practical reasons why these areas are often excluded. Nevertheless, our results show the importance of monitoring and measuring in the disturbed systems as well as the natural, or else currently unknown processes might be overlooked. If part of our team had not been in the right place at the right time, we would still not have known about ships frequently triggering the release of large amounts of methane to the atmosphere. Consequently, without increased monitoring of shipping lanes, there is a risk that other currently unknown interactions between human activities and the environment remain undiscovered.

References

Beecken, J., Mellqvist, J., Salo, K., Ekholm, J., and Jalkanen, J.-P. (2014). Airborne emission measurements of SO2, NOX and particles from individual ships using a sniffer technique, Atmos. Meas. Tech., 7, 1957–1968, https://doi.org/10.5194/amt-7-1957-2014.

Nylund, A. T. (2023). Characterising turbulent ship wakes from an environmental impact perspective. Ph. D. thesis, Chalmers University of Technology.

Please sign in or register for FREE

If you are a registered user on Research Communities by Springer Nature, please sign in

Follow the Topic

Earth Sciences
Physical Sciences > Earth and Environmental Sciences > Earth Sciences
Ocean Sciences
Physical Sciences > Earth and Environmental Sciences > Earth Sciences > Ocean Sciences
Environmental Impact
Physical Sciences > Earth and Environmental Sciences > Environmental Sciences > Environmental Social Sciences > Environmental Impact
Marine and Freshwater Sciences
Physical Sciences > Earth and Environmental Sciences > Environmental Sciences > Water > Marine and Freshwater Sciences

Related Collections

With Collections, you can get published faster and increase your visibility.

Geology of the Moon

This collection focuses on the Geology of our Moon and new insights we gain from remote sensing data, meteorites and returned samples, and modeling efforts.

Publishing Model: Hybrid

Deadline: Jan 31, 2026

Archaeology & Environment

​In this cross-journal Collection, we invite research that provides insight into the interactions between humans and our environment throughout our evolutionary history.​​

Publishing Model: Hybrid

Deadline: Mar 31, 2026