Telling Americans God is In Control of Earth’s Future Saps Their Concern About Climate Change
Published in Earth & Environment, Behavioural Sciences & Psychology, and Arts & Humanities
Last week on September 13th, Pew Research Center published a brief report on how U.S. public opinion has changed on political issues in the past 20 years. Among the notable trends was Americans’ continued polarization on climate change being a major threat to the nation. Since 2009, Democrats’ concern about the threat of climate change has jumped considerably, while Republicans’ concern has actually declined slightly. Though there are a variety of reasons for this partisan divide, other Pew data confirm that one of these is likely the growing overlap between the Republican Party and conservative Christians, a group known for being particularly skeptical of science, and climate science included.
But what specifically drives the link between religious beliefs and climate science? Given that the vast majority of Americans still hold fairly conservative theological beliefs like belief in the Bible’s authority, it’s important that we understand the connection. Some studies have argued much of the connection is due not to religious belief per se, but more to the Republican Party’s capture of conservative Christians. Others have attributed the link to a fundamentalistbent toward distrusting all scientific claims as threats to religious authority. And still others argue the link may be theological, specifically the idea that God has either given humans a stewardship to take care of the environment, or he has given them dominion to use the Earth’s resources as they please.
We suspected part of the answer is found in Americans’ understanding of Earth’s future, and who is primarily responsible for how it plays out. We got a clue from earlier studies that found Americans who believed in theological concepts like Jesus’s Second Coming or “the Rapture” (when Jesus suddenly takes his people up to Heaven) were less concerned about environmental degradation. These findings seem to suggest that when Americans feel Earth’s future is completely in God’s hands and will proceed according to his inviolable will, there is little reason to be concerned with the environment. After all, humans could not possibly thwart God’s ultimate plan.
This is actually a more popular idea than many may realize. In fact, it is one that is commonly repeated among evangelical pastors and Republican lawmakers when criticizing what they consider to be climate change “hysteria” on the political left. For instance, in 2017, House Rep (R-MI) Tim Walberg told attendees at a townhall meeting, “I believe there is a creator in God who is much bigger than us. And I’m confident that, if there’s a real problem, he can take care of it.” More recently, in 2022, a former Trump staffer and conservative activist in the Southern Baptist Convention, William Wolfe, wrote for the Standing for Freedom Center “God has promised that the earth will never again be destroyed…It won’t end from a heatwave caused by global warming…This world will be brought to an end when God decides that it is time, and not a moment before.”
In our recent study, we wanted to test whether these views had a causal connection to Americans’ concern about the threat of climate change, their support for policies to address it, or even their interest in receiving factual information about it.
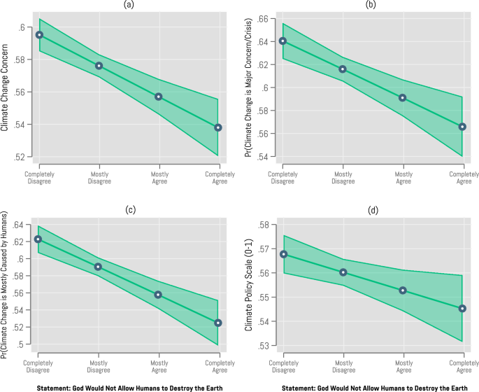
For the first test, we used cross-sectional data from a national survey of over 5,300 Americans fielded by the Public Religion Research Institute. Even after statistically controlling for religious, political, and other demographic characteristics, we found the more Americans agreed with the statement that “God would not allow humans to destroy the Earth,” the less likely they were to express concern about climate change as a major crisis, to believe that climate change is caused by human beings, or to support policies to address climate change.
But how strong is this evidence, really, that belief in divine (versus human) control of Earth’s future can affect climate change attitudes? Might it just be correlational?
We wanted to go a step further and see if changing Americans’ views about God’s vs. humanity’s control over Earth’s future could causally affect their views on climate change. We developed a national survey experiment in which we randomly assigned over 3,300 American adults to read one of two fictitious articles (our treatment groups) or no article (a control group). The articles were virtually identical except that one informed the readers about there being a consensus among religious scholars that God, not human beings, is in control over Earth’s future. The other article flipped the message to tell them human beings, not God, are in control over Earth’s future.
Did the contrasting messages make a difference?
Compared to the Americans who were randomly told that human beings (and not God) were in control over Earth’s future, those who were randomly told God was in control were significantly less likely to (1) believe climate change was a major problem or crisis, (2) believe climate change must be addressed with policy change, or even (3) request climate-related information from the National Oceanic and Atmospheric Administration (NOAA).

In other words, what people believe about God’s (vs. humanity’s) control over the future of the planet shapes their concern about climate change.
Why does this matter? Remember the narrative that “God is in control over the planet” is a common refrain in many political and religious circles. Our research suggests these messages may not just be sound bites and empty rhetoric. To the extent audiences find such statements authoritative (e.g., many Christians likely would if coming from Christian pastors), they may in fact be shaping Americans’ views of climate science to detrimental effect.
The good news is that telling Americans that “humans are in control over Earth’s future” had an even stronger influence on the respondents than the “God is in control” message, making them more inclined to view climate change as a threat. Around the turn of the century, the campaign to treat hookworm in the American South learned to rely on insider religious leadership to convince intransigent rural populations of the health crisis. Effective campaigning to combat climate change may require a similar tactic—one that enlists the help of concerned “insider” religious leaders and communities to communicate the responsibility of human beings to care for the Earth as a means of protecting our planet and selves.
Follow the Topic
-
npj Climate Action
This journal considers research that explores all aspects of mitigating the hazardous effects of global climate change.
Related Collections
With Collections, you can get published faster and increase your visibility.
Climate Activism: Bridging Science, Advocacy, and Public Engagement
Publishing Model: Open Access
Deadline: May 28, 2026
New Perspectives on EU Climate Politics using Text-as-Data Methods
Publishing Model: Open Access
Deadline: Oct 28, 2026
Please sign in or register for FREE
If you are a registered user on Research Communities by Springer Nature, please sign in