Therapeutic outcome of early-phase clinical trials in multiple myeloma
Published in Cancer
The treatment landscape of multiple myeloma is changing rapidly as many novel drugs have been approved in recent years. With many new drugs currently in clinical trials, treatment of myeloma will continue to change in the coming years and is an exciting field to work in. In our academic hospital in Utrecht, The Netherlands, patients are often offered to participate in early phase clinical trials. We have seen the wonderful results in our patients since the time we started with the first-in-human administration of daratumumab1 but we were unsure as to how many of patients worldwide actually benefit from enrolling in these trials. Is participation in an early phase clinical trials purely a scientific endeavor? Or can it offer patients an actual therapeutic option?
Prior analyses have demonstrated an improvement of responses in early phase clinical trials in solid tumors in recent decades. However, insight in the therapeutic outcome of such trials in hematological cancers - and multiple myeloma specifically – was lacking. The otherwise unfortunate shutdown of laboratory-based research due to the COVID-19 pandemic gave us an opportunity to undertake this research and get acquainted with statistical programming in R. We decided not only to investigate the clinical outcome of early phase clinical trials, but to also asses safety parameters such as dose limiting toxicities and discontinuations of the trial drug due to adverse events. Additionally, we set out to answer questions like: has there been an increase over the past decade? Are there notable differences between drug classes? Is there a difference between phase I and phase II clinical trials?
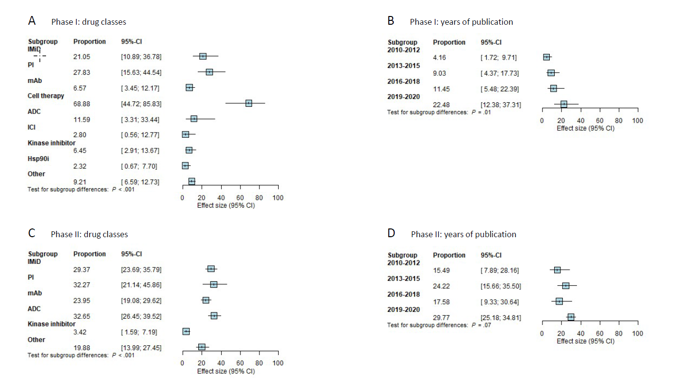
After an extensive literature search, our meta-analysis comprised of 61 phase I trials and 37 phase II trials involving in total 4479 patients with relapsed/refractory multiple myeloma. We focused exclusively on trials using novel drugs as monotherapy, evaluating the possible therapeutic benefit of the first-in-human use of an experimental compound. We found substantial responses, but also a high degree of heterogeneity. Therefore, we decided not to report a single estimate of the response rates but provide the 95% confidence intervals (CI) and prediction intervals as a summary of the treatment effect. A key finding was a significant difference between years of publication in phase I trials, but not in phase II trials. The rate of response appears to have increased over the past decade, as the 95% CI of the ORR of trials published from 1 January 2010 to 31 December 2012 was 1.7% to 9.7%, while for trials published from 1 January 2019 to 1 July 2020 the 95% CI was 12.4% to 37.3%. An important contributing factor to this difference might be the advent of immunotherapy – CAR T cells especially – which raises expectations for the years to come.
Given the debate on the therapeutic benefit of early phase clinical trials in the modern era of anticancer therapy, the paper that we recently published in Blood Cancer Journal contributes to a relevant discussion in the field of oncology2,3. Our analysis shows that responses can be substantial, but there is a high degree of heterogeneity and the range of therapeutic outcomes is large. Our findings can be used by clinicians to guide assessment and communication on enrollment of patients in early phase clinical trials.
References
1 Lokhorst, H. M. et al. Targeting CD38 with daratumumab monotherapy in multiple myeloma. N Engl J Med (2015). 373: 1207–1219.
2 Chakiba C, Grellety T, Bellera C, Italiano A. Encouraging Trends in Modern Phase 1 Oncology Trials. N Engl J Med (2018). 378: 2242-2243.
3 Adashek, J.J., LoRusso, P.M., Hong, D.S. et al. Phase I trials as valid therapeutic options for patients with cancer. Nat Rev Clin Oncol (2019). 16: 773–778
Follow the Topic
-
Blood Cancer Journal
This journal seeks to publish articles of the highest quality related to hematologic malignancies and related disorders.
Please sign in or register for FREE
If you are a registered user on Research Communities by Springer Nature, please sign in