Uncovering the Mysterious Fate of Plastic Debris in the Open Ocean

We recently conducted a study investigating the settling behavior of low-density microplastics (LDMPs) in open oceans. Our findings have opened up a new research front on how these tiny plastic debris may ultimately be removed from the sea surface waters.

Published in Earth & Environment

Uncovering the Mysterious Fate of Plastic Debris in the Open Ocean
Like

Share this post

Choose a social network to share with, or copy the URL to share elsewhere

This is a representation of how your post may appear on social media. The actual post will vary between social networks

As environmental scientists delve deeper into the impacts of plastic pollution on our Planet's oceans, new research is shedding lights on the complex dynamics of plastic debris in the marine environment. We recently conducted a study investigating the settling behavior of low-density microplastics (LDMPs) in open oceans. Our findings have opened up a new research front on how these tiny plastic debris may ultimately be removed from the sea surface waters.

The Challenge of Locating Missing Plastics

One of the enduring mysteries of marine plastic pollution is the apparent discrepancy between the vast quantity of plastics estimated to enter the global oceans from land-based sources each year and the relatively small amount of plastic debris observed floating on the sea surface. Our study focused on LDMPs, which are particularly challenging to track due to their buoyancy and small sizes. These microplastic debris are often overlooked by traditional monitoring efforts, yet they may pose significant risks to marine life and wider ecosystems.

Microbially Induced Calcium Carbonate Precipitation: A Potential Solution

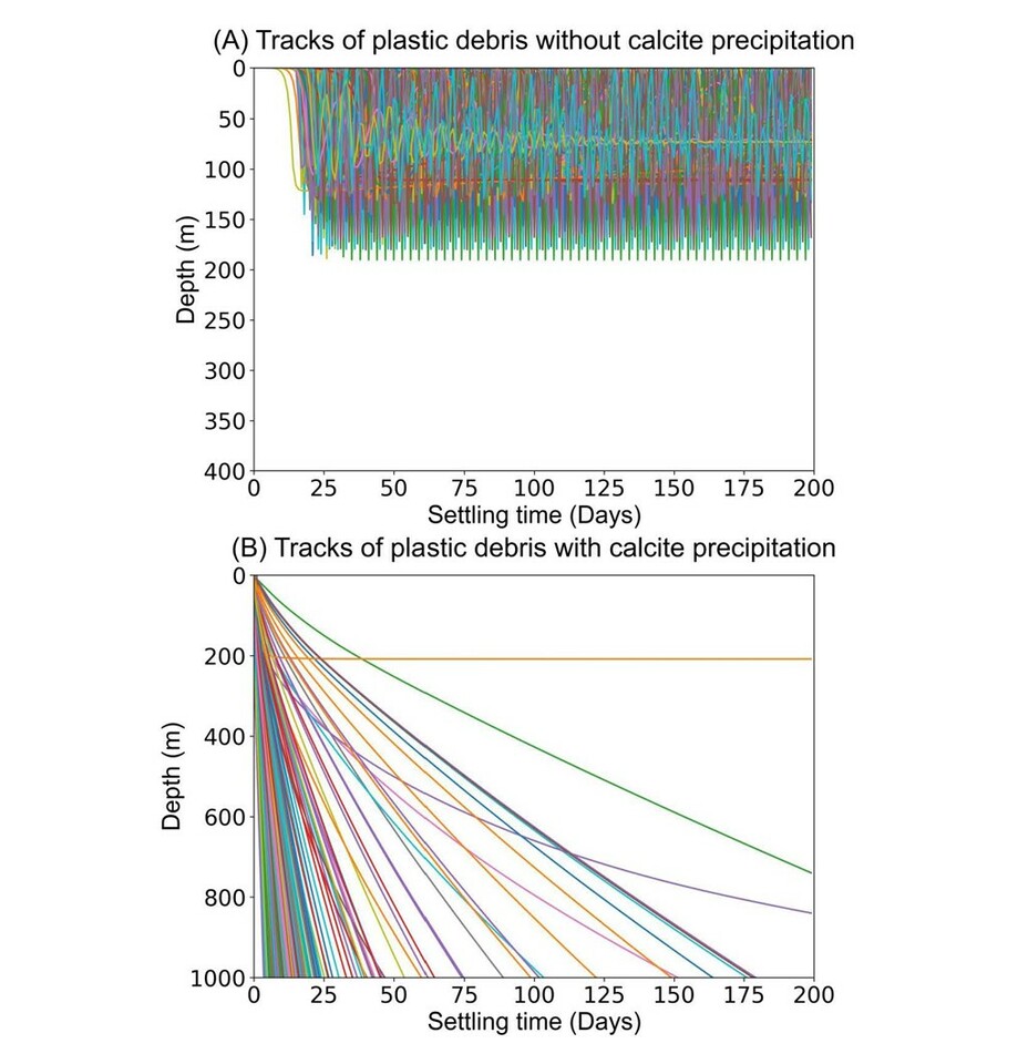
Our research has revealed a fascinating process that may help explain the fate and destiny of these missing plastics: Microbially induced calcium carbonate precipitation (MICP).  This natural process, which occurs when certain microorganisms metabolize calcium and carbonate ions from seawater, forms calcite crystals on LDMPs’ surfaces.  Our model simulations show that these calcite coatings can greatly increase the density of LDMPs, enabling them to sink to the ocean floor over time.

The Model: A Window into the Ocean's Depths

A novel model is developed that sheds light on how LDMPs settle in open oceans under the influence of MICP.  This model not only considers the impact of biofouling but also accounts for the potential role of MICP in mediating the sinking of LDMPs.  The model incorporates several key elements, including an updated vertical settling model, a biofouling model, and a MICP model.  The vertical settling model calculates the settling speed and trajectory of LDMPs based on the principles of fluid dynamics, considering the instantaneous density of LDMPs and oceanic conditions.  The biofouling model simulates biofilm growth on LDMPs with the considerations of algae attachment, growth, mortality, and respiration.  The MICP model estimates the mass of calcite precipitates on the plastic surface, taking into account the activity level of algal photosynthesis and dissolution rate.  

The integrated model has fully considered the variations in seawater property, light intensity, and nutrient condition in simulating the vertical settling of LDMPs in different oceanic environments.  Calcite precipitation is found to play a significant role in increasing the density of LDMPs and consequently facilitating their settling on the ocean floor.  In particular, LDMPs in the size range of 100–500 μm are most likely to gain sufficient density at the biofouling/MICP stage to sink to the seafloor independently.

The integrated model also reveals two distinct settling patterns of LDMPs, that is, damped oscillation in the epipelagic zone and direct settlement into the oceanic sediment.  These patterns are influenced by factors such as the amount of calcite precipitates, seawater density gradients, and the shape and size of LDMPs.  For instance, large spherical LDMPs tend to exhibit damped oscillation.  In contrast, diminutive spherical LDMPs are more likely to settle directly into the seafloor due to sufficient ballast from biofouling and MICP.

Size and Shape Do Matter

One of the most intriguing findings of our study is the significant impact of LDMP size and shape on their settling dynamics.  Size determines the specific surface area of LDMPs, which in turn affects the vertical drag coefficient and settling velocity of LDMPs.  In the case of sphere-shaped (shape factor close to 1) LDMPs, LDMPs in the size range of 100–500 µm can gain suffficient calcite ballast and settle into oceanic sediment without aggregating with other particles, whereas those larger than 500 µm and smaller than 100 µm may require aggregation to settle.  Similarly, shape also regulates the settling dynamics of LDMPs.  Fibers and films have higher vertical drag coefficients than spheres as they possess larger specific surface areas, resulting in slower settling velocity.  Spheres, with a shape factor close to 1, are more sensitive to negative buoyancy and settle faster than fibers and films.

However, the settling dynamics of LDMPs are complex.  The sinking velocity and whether it can reach the seafloor are two different issues.  Spherical LDMPs move faster, but they tend to oscillate due to insufficient ballast.  High velocity does not necessarily mean that deposition is smooth.  Non-spherical plastics sink more slowly, yet they rarely oscillate and instead directly settle on the seafloor with extra ballast.  Furthermore, fibers and films can twist and flip during the settling process, leading to substantially variable vertical drag coefficients, and tend to distribute in wider depths and broader regions.

Implications for the Future

The implications of our research outcome are far-reaching.  First, it has bestowed new insights into natural processes that may help mitigate the impacts of marine plastic pollution.  In particular, MICP, a commonly-occurring process in the environment, offers a promising avenue for future remediation efforts.  Second, our findings highlight the need for more comprehensive monitoring of microplastics in both oceanic surface waters and sediments.  A better understanding of the transport dynamics of LDMPs would allow us to better assess the potential risks of LDMPs to the ocean benthic ecosystem and develop targeted mitigation strategies.

Final Thoughts

In conclusion, our study has taken an important step towards unlocking the mysterious fate of plastic debris in the open ocean.  By leveraging the power of numerical modeling, we have gained new insights into the complex dynamics of LDMPs and the role of MICP in sequestering LDMPs in oceanic sediment.  As we continue to explore this fascinating topic, we are excited about the prospect for future research to advance our understanding of the global challenge of marine plastic pollution.

For more detailed information and access to the original code, interested readers can visit the GitHub repository: https://github.com/JePhyllis/MICP_Model_v1.0.

The article was published in Nature Communications. Full length open access article can be found at https://doi.org/10.1038/s41467-024-49074-7.

Please sign in or register for FREE

If you are a registered user on Research Communities by Springer Nature, please sign in

Follow the Topic

Environmental Sciences
Physical Sciences > Earth and Environmental Sciences > Environmental Sciences

Related Collections

With Collections, you can get published faster and increase your visibility.

Women's Health

A selection of recent articles that highlight issues relevant to the treatment of neurological and psychiatric disorders in women.

Publishing Model: Hybrid

Deadline: Ongoing

Biosensing

With this cross-journal Collection, the editors of Communications Biology, Nature Biomedical Engineering, Nature Sensors, Nature Communications, and Scientific Reports welcome the submission of primary research Articles focusing on the development of engineered biosensing devices with the potential to be applied in biomedical research and in the management of disease conditions.

Publishing Model: Hybrid

Deadline: Jun 30, 2026