Generalizing quantum measurement paradigms in an optimal way by counting photons

Some measurement strategies always give an answer and with minimal chance of errors, while others guarantee no errors but at the cost of sometimes giving no results. Here, we implement a strategy which optimally interpolates between these two, opening the door to more general quantum measurements.

Published in Physics

Generalizing quantum measurement paradigms in an optimal way by counting photons
Like

Share this post

Choose a social network to share with, or copy the URL to share elsewhere

This is a representation of how your post may appear on social media. The actual post will vary between social networks

Quantum state discrimination is a central problem in quantum measurement theory, with applications spanning from quantum communication to computation. On one hand, some measurement schemes achieve the smallest possible error probability allowed by quantum mechanics. The limit of this approach, called minimum error state discrimination (MESD), is governed solely by the overlap of the quantum states to be discriminated. On the other hand, some measurements can be realized to result in zero errors, albeit at the cost of sometimes producing an inconclusive result. Such strategies are dubbed unambiguous state discrimination (USD) measurements due to their ability to unambiguously identify quantum states with (ideally) no errors whatsoever. However, these two approaches only represent two extremes when it comes to all possible quantum measurements. More general discrimination strategies combine strategies combine fundamental aspects of both MESD and USD in order to realize measurements which interpolate between these two paradigms. Such approaches are called optimal inconclusive measurements, as they achieve the smallest possible error probability (which can be less than that of MESD) for a specified inconclusive probability (which is less than that of USD).

One important aspect of optimal inconclusive measurements is that they are not projective measurements. Thus, these more general quantum measurements provide a much more powerful tool for quantum information and communication. While optimal inconclusive measurements can be constructed as operators in high dimensional Hilbert spaces, their physical implementation for discrimination of optical quantum states has remained an open challenge. In theoretical work by Nakahira & Usada [PRA 86, 052323 (2012)], the authors put forward a strategy which implements the optimal inconclusive measurement for two coherent states of light. This measurement relies on linear optics, photon counting, and feedback, which are also the components required to implement MESD and USD measurements. This generalized measurement allows for transitioning among standard discrimination paradigms in an optimal way from minimum error to unambiguous measurements for binary coherent states.

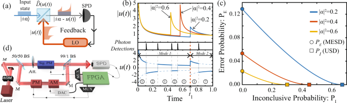
Fig. 1. Summary of the optimal inconclusive measurement for binary coherent states. (a) Concept of the measurement, which relies on displacement operations with an optimal waveform, single photon counting, and feedback. (b) Example of three different magnitudes of the optimal displacement waveform (top panel). The strategy switches between a MESD-like measurement to a USD-like measurement at a particular time t1. The bottom panel shows an example of the total waveform, where the sign of the displacement switches each time a photon is detected. (c) Our experimental results, which demonstrate that optimal inconclusive measurements (points with error bars) can interpolate between MESD (corresponding to points along the y-axis) and USD (corresponding to points along the x-axis). 

In this work, we experimentally demonstrate these optimal inconclusive measurements on two phase-encoded coherent states, providing the first implementation of such generalized quantum measurements of binary optical coherent states. In addition, we implement the optimal MESD measurement for these states since a phase encoding is the optimal modulation format for optical communication under and average power constraint. Our demonstration uses coherent displacement operations using interference on a highly imbalanced beam splitter, single photon detection, and fast FPGA-based feedback. The strategy relies on finding the optimal feedback policy for the displacement operations, which will be conditioned on photon detections as the measurement progresses. Once the desired inconclusive probability, total input energy, and prior probability are fixed, the optimal displacement magnitude is in fact pre-determined. Surprisingly, the optimal feedback policy is simply to switch the sign of the displacement (from positive to negative or vice-versa) every photon detection. Similar to the so-called Dolinar receiver for optimal MESD, this strategy provably implements the optimal inconclusive measurement for binary coherent states.

Fig. 2. Experimental setup for implementing optimal inconclusive measurements. AOM: Acousto-optic modulator, M: Mirror, BS: Beam Splitter, Att.: Attenuator, PM: Phase modulator, AM: Amplitude modulator, SPD: Single-photon detector, MUX: Multiplexer, DAC: Digital-to-analog converter, FPGA: Field-programmable gate array.

In addition to realizing this more general quantum measurement scheme for binary states, we propose a hybrid measurement that leverages the binary optimal inconclusive measurement in conjunction with sequential, unambiguous state elimination to realize higher dimensional inconclusive measurements of coherent states. Optimal inconclusive measurements of any number of states are a critical tool for quantum communication tasks such as quantum key distribution. Furthermore, these strategies can be ideal for use in classical communication where certain coding schemes are tailored for an erasure channel, which can model the inconclusive results from the measurement. We anticipate that further understanding of the capabilities of linear optics, photon counting, and feedback will lead to the physical implementation of more general non-projective measurements in two (or higher) dimensional spaces.

This work is published in npj Quantum Information 884 (2022),  and can be found at: https://www.nature.com/articles/s41534-022-00595-3 .

Please sign in or register for FREE

If you are a registered user on Research Communities by Springer Nature, please sign in

Follow the Topic

Physics and Astronomy
Physical Sciences > Physics and Astronomy

Related Collections

With Collections, you can get published faster and increase your visibility.

Quantum-Enabled Bioimaging

This collection aims to foster interdisciplinary collaboration, bridging the gap between quantum physics and biomedicine, and to encourage innovative quantum-enabled approaches that can redefine our understanding of complex biological processes.

Publishing Model: Open Access

Deadline: Aug 04, 2026

Algorithms, Protocols and Architectures for Early Fault Tolerance

This collection will serve as a platform to explore how quantum advantage could be best achieved using the early fault-tolerant machines that are expected to emerge in the coming years and may enable us to perform millions to trillions of quantum gate operations.

Publishing Model: Open Access

Deadline: Jun 25, 2026