Improving Post-Separation Suicide Attempt Prediction Models for Transitioning Service Members

Machine learning can improve identification of service members and Veterans at highest risk for suicide in the initial years following separation from military service. Continued work, though, is needed to improve the applicability of machine learning models to guide intervention efforts.
Like

Share this post

Choose a social network to share with, or copy the URL to share elsewhere

This is a representation of how your post may appear on social media. The actual post will vary between social networks

Each year, 200,000 United States service members leave military service. While transitioning back into civilian life, these Veterans are at elevated risk for suicide-related behaviors, particularly in the first few years following separation. To guide accurate identification of those at greatest risk, previous research developed machine learning models using information gathered prior to military service separation as part of the Study to Assess Risk and Resilience in Servicemembers – Longitudinal Study (STARRS-LS). These models demonstrated good accuracy in predicting suicide attempts occurring up to 12 months following separation. They are currently being used in a demonstration project to identify and target high-risk transitioning Veterans for preventative intervention. Nevertheless, extant models were limited. The relatively small number of suicide attempts limited statistical power, and the exclusive focus on identifying risk provided little practical guidance to outreach workers on what interventions to use after an at-risk Veteran is identified.

This study expanded on previously developed models to address these limitations. Specifically, we sought to determine whether the prediction strength of our previously developed model could be improved with a larger sample and longer follow-up period (3 years versus 12 months in previous models). Second, we sought to develop complementary models to predict the occurrence of post-separation stressful life events – a robust mediator of the relationship between risk predictions and occurrence of a post-separation suicide attempt. If complementary models could be developed, they could prove helpful in guiding intervention efforts of outreach workers.

Data for this study were drawn from the STARRS-LS surveys. At the time of data analyses, three waves of longitudinal follow-up surveys had been completed, cumulatively surveying respondents over the course of 6 years (2016-2022). Only respondents who were in the Regular Army and who had left military service at least one year prior to completing the third follow-up survey were included in analyses. Stacking data across follow-up periods allowed for a consolidated sample of n = 16,742 person-years to estimate the predictive model.

Self-report measures were used to assess occurrence of suicide attempts (assessed at each of the 3 longitudinal follow-up surveys) and stressful life events, including those related to economic (e.g., job loss), victimization (e.g., assault), and interpersonal (e.g., divorce) events (assessed at the first and second longitudinal follow-up surveys) among participants. Pre-separation predictors in analyses included demographics, Army career variables, adverse childhood experiences, other lifetime traumatic events, chronic stressors, personality characteristics, self-injurious thoughts and behaviors, mental disorders, physical disorders, and geo-spatial variables. Analyses were done using the SuperLearner ensemble machine learning method.

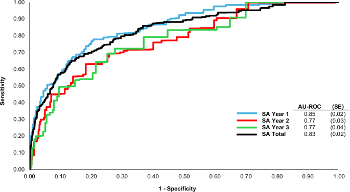
Approximately 1.2% of respondents reported a 12-month suicide attempt prevalence in the three years after military service separation. The 12-month prevalence of stressful life events was 26.0% for economic events, 5.7% for victimization events, 23.6% for interpersonal events, and 40.5% for any of these. The updated suicide attempt prediction model was a notable improvement over the original model, with greater predictive accuracy in the first year following separation from military service and good predictive accuracy in the second and third years following separation (the latter of which was not examined by the original model). Service members with the greatest 5% of risk as defined by this model accounted for approximately 40% of observed post-separation suicide attempts. By targeting resources and interventions for those at greatest risk, services and programming may be delivered more efficiently and, potentially, more effectively.

In relation to the second study aim, the occurrence of stressful life events was associated with increased risk of suicide attempt. However, models to predict post-separation stressful life events showed poor predictive accuracy in both the total sample and in the subsample identified as at risk for suicide attempt. Continued research is needed to provide practical guidance for outreach workers on interventions that would be most relevant to mitigating risk of post-separation suicide attempt among Veterans identified as at risk by machine learning models.

 

Recommended Reading:

Chu C, Stanley IH, Marx BP, King AJ, Vogt D, Gildea SM, et al. Associations of vulnerability to stressful life events with suicide attempts after active duty among high-risk soldiers: results from the study to assess risk and resilience in servicemembers-longitudinal study (STARRS-LS). Psychol Med. 2023;53:4181–91.

Kearns JC, Edwards ER, Finley EP, Geraci JC, Gildea SM, Goodman M, et al. A practical risk calculator for suicidal behavior among transitioning U.S. Army soldiers: results from the study to assess risk and resilience in servicemembers-longitudinal study (STARRS-LS). Psychol Med. 2023;53:7096–105.

Stanley IH, Chu C, Gildea SM, Hwang IH, King AJ, Kennedy CJ, et al. Predicting suicide attempts among U.S. Army soldiers after leaving active duty using information available before leaving active duty: results from the study to assess risk and resilience in servicemembers-longitudinal study (STARRS-LS). Mol Psychiatry. 2022;27:1631–9.

Ursano RJ, Colpe LJ, Heeringa SG, Kessler RC, Schoenbaum M, Stein MB. The Army study to assess risk and resilience in servicemembers (Army STARRS). Psychiatry. 2014;77:107–19.

Please sign in or register for FREE

If you are a registered user on Research Communities by Springer Nature, please sign in

Follow the Topic

Machine Learning
Mathematics and Computing > Statistics > Statistics and Computing > Machine Learning
Mental Health
Humanities and Social Sciences > Behavioral Sciences and Psychology > Clinical Psychology > Mental Health
Care Systems and Practices
Humanities and Social Sciences > Society > Sociology > Health, Medicine and Society > Care Systems and Practices

Related Collections

With Collections, you can get published faster and increase your visibility.

Moving towards mechanism, causality and novel therapeutic interventions in translational psychiatry: focus on the microbiome-gut-brain axis

The explosion of knowledge revealing the role of the gut microbiome in regulating brain function and behaviour represents an exciting new frontier in Translational Psychiatry.

Publishing Model: Open Access

Deadline: May 19, 2026

From mechanism to intervention: translational psychiatry of childhood maltreatment

We invite research on mental health impacts of childhood maltreatment, the psychological, biological, and social dimensions of childhood trauma, and mitigating interventions.

Publishing Model: Open Access

Deadline: Jun 30, 2026