Prevalence of Oral Diseases and the Influence of the Presence of Overweight/Obesity in Schoolchildren Population in Mallorca

The pediatric population is one of the social groups most affected by oral pathology, and overweight and/or obesity is increasingly frequently observed. This work presents a study of the prevalence of oral disease in the school population in Mallorca and its relationship with overweight/obesity.

Published in Biomedical Research

Prevalence of Oral Diseases and the Influence of the Presence of Overweight/Obesity in Schoolchildren Population in Mallorca
Like

Share this post

Choose a social network to share with, or copy the URL to share elsewhere

This is a representation of how your post may appear on social media. The actual post will vary between social networks

Obesity and oral diseases—such as dental caries and periodontal disease—are major and growing public health concerns. Although traditionally treated separately, both share nutrition as a key contributing factor. Obesity and dental caries are highly prevalent chronic conditions, affecting children and adolescents significantly. While periodontal disease has been more common in adults, it is now increasingly seen in younger populations.

Globally, obesity has nearly tripled since 1975 and is especially prevalent in the U.S. and Europe. In Spain, over 40% of children aged 6–9 are overweight or obese, placing the country among the highest in Europe. In the Balearic Islands, 19.3% of school-aged children were overweight in 2004–2005.

Dental caries is one of the most common oral diseases in children and adolescents, influenced by biological, behavioral, and environmental factors. Periodontal disease, another common condition, shares risk factors with caries—especially diets high in sugar. In Spain, about one-third of children under 6 and adolescents are affected by caries, and over 25% of young adults have periodontal disease.

Poor diet—rich in fats, salt, and sugars but lacking in essential nutrients—is a major cause of both obesity and oral diseases. Sugar is the main dietary factor linked to caries, and a lack of micronutrients contributes to periodontal disease. Obesity is also linked to inflammation, which may worsen gum disease. Bioactive molecules called adipokines, released by fat tissue, play a role in the inflammation of periodontal tissues.

This study investigates the prevalence of oral diseases among schoolchildren in Mallorca and their association with overweight and obesity. It is the first local study on this topic since 2005 and the first to explore this specific relationship in the region.

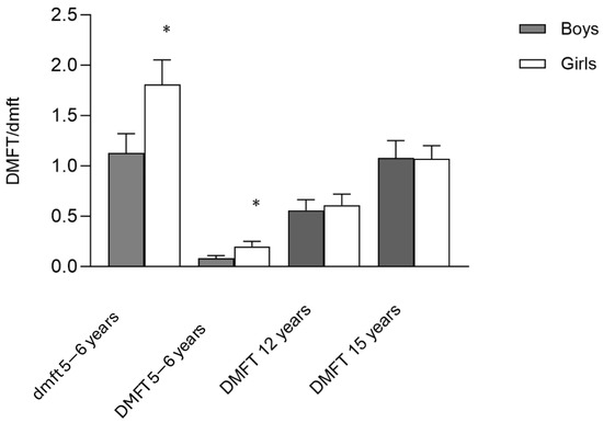
Results found that students aged 15 years have a caries prevalence rate of 45.49%, higher than those aged 12 (27.39%). The presence of dental calculus in 15-yearold students is 52.8%, even higher than in 12-year-olds (30%). Students aged 6 and 12 with lower weight percentiles have fewer healthy teeth than those with higher percentile.

Conclusions; A decrease in the prevalence of caries and an increase in periodontal disease were observed in the school population in Mallorca compared to previously recorded data, and obesity prevalence increased slightly. Additionally, the presence of oral pathology (caries and periodontal disease) seems to relate to age; the older a person is, the greater the presence of caries and periodontal disease. Gender may influence the prevalence of periodontal disease, whereas weight percentile range could affect the proportion of healthy teeth in the pediatric population. Further research is warranted, including an analysis of students’ dietary habits, to obtain more conclusive evidence on the incidence of these factors and the development of dental pathology and overweight/obesit

Please sign in or register for FREE

If you are a registered user on Research Communities by Springer Nature, please sign in