Unveiling the dark and bright of the universe: two birds with one stone of the 21-cm forest
Published in Astronomy
The mystery of dark matter and the first galaxies
The nature of dark matter is one of the most important problems faced by fundamental physics. To answer the question whether the dark matter is cold or warm, one key is to measure the dark matter particle mass through cosmological observations of small-scale structures. The dark matter particle mass has been constrained at low redshifts, but has never been constrained at cosmic dawn, when the first luminous objects form in the pristine dark matter halos. However, detecting the small-scale structures in which no star formation has ever occurred is rather difficult.
Fortunately, the atomic hydrogen gas in and around these dark small structures creates 21-cm absorption lines along the lines of sight against high-redshift radio point sources, known collectively as the 21-cm forest (Fig. 1 – left panel). The 21-cm forest on the source spectrum provides a unique probe to the small-scale structures during cosmic dawn. However, the 21-cm forest signals will be easily suppressed by the heating effect of the first galaxies in the early universe, making the detection very challenging (Fig. 1 – right panel). On the other hand, the early heating history by itself is a fundamental and unsettled problem in astrophysics and cosmology, which has a complex interplay with the formation of the first galaxies.

Fig.1 – Left: an illustration of 21-cm forest signals produced by various structures along a line of sight towards a background source. Right: the effect of heating, parameterized by fX, on the transmission of 21-cm photons (Xu et al. 2011).
The challenges of the 21-cm forest probe
The probe of 21-cm forest was proposed more than twenty years ago (Carilli et al. 2002; Furlanetto & Loeb 2002), and it has been recognized for years as a sensitive probe for the gas temperature (Xu et al. 2009) and potentially for dark matter properties (Shimabukuro et al. 2014) during the cosmic dawn. However, detection has never been even attempted due to a number of challenges:
- The extremely weak signals. For direct detection of individual absorption lines, an extremely long integration time is usually required even for telescopes like LOFAR and SKA.
- The difficulty in identifying high-redshift background sources that should exist at cosmic dawn and be bright on bands below 200 MHz. Candidates are radio-loud quasars and radio afterglows of gamma ray bursts.
- The degeneracy between the dark matter particle mass and the heating effect. A lower dark matter particle mass in warm dark matter models reduces the number of 21-cm absorption lines by suppressing the small-scale structures, while a higher heating level suppresses both the absorption depth and line number. Both effects reduce the number of detectable absorption lines, preventing the probe from constraining either the dark matter particle mass or the heating effect from the first galaxies.
The solution: two birds with one stone
Over the recent years, a number of high-redshift radio-loud quasars are discovered and the SKA telescope went into the construction phase, and thus it is time to realize the 21-cm forest observations. Sparked by the power spectrum analyses widely used in cosmological probes, we realized that the distinctive scale-dependences of the signals caused by the warm dark matter effect and the heating effect, could be used to statistically extract the key features to distinguish the two effects.
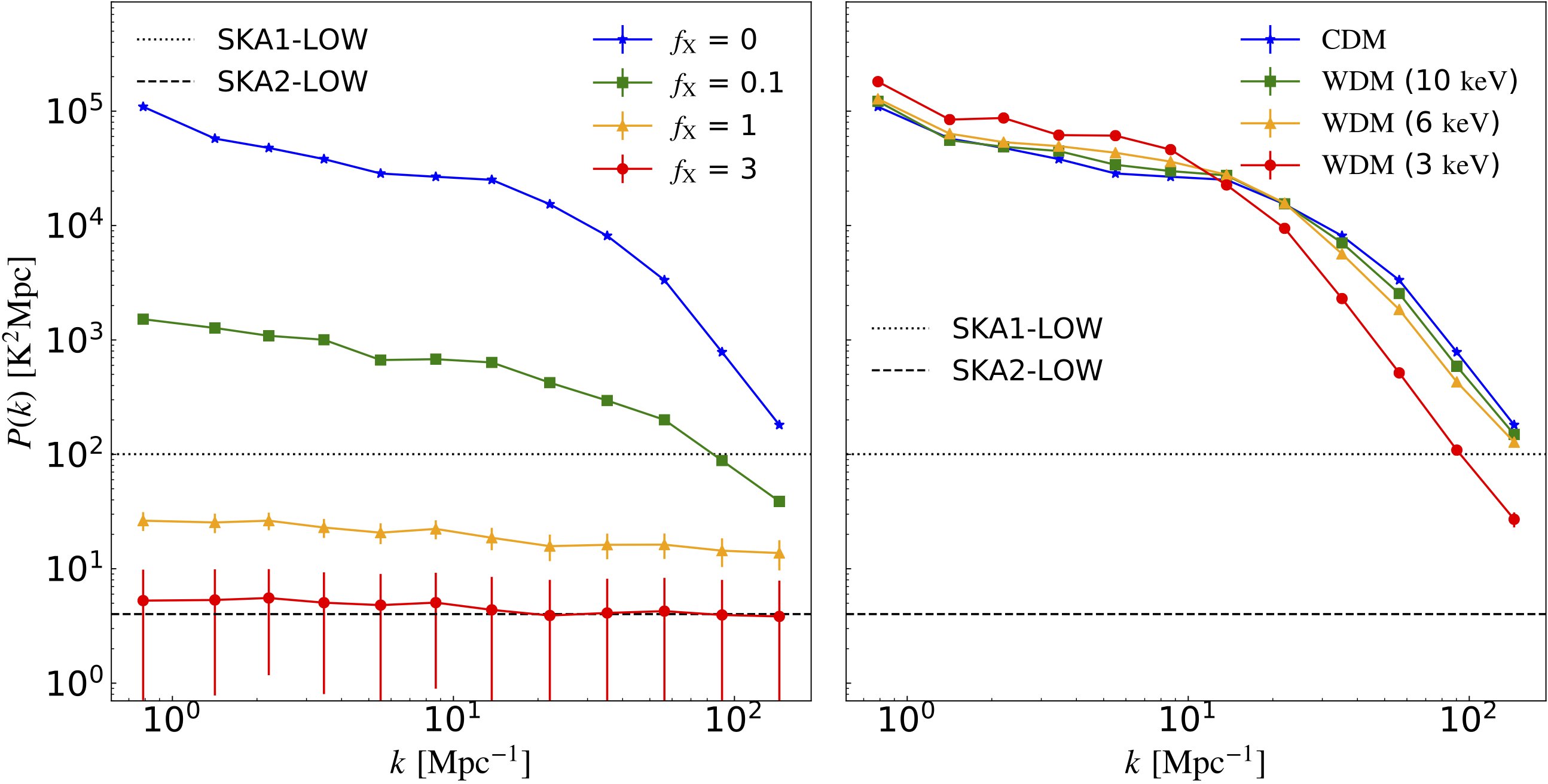
In this work, we propose a novel statistical solution to solve simultaneously the weak signal problem and the degeneracy problem, by measuring the 1-D power spectrum of the 21-cm forest (Thyagarajan 2020). We divide the observation time into two halves and cross-correlate the results of the two measurements. This is equivalent to an autocorrelation measurement for the signal, while for the noise, cross-correlation helps in noise suppression. As a result, the 1-D cross-power spectrum measurement significantly enhances the sensitivity of the detection. By further combining with the signal scale-dependence revealed by the amplitude and shape of the 1-D power spectrum (Fig. 2), the 21-cm forest becomes a viable and effective means to simultaneously measure dark matter properties and the thermal history of the universe.

Fig. 2 – The simulated 1-D power spectra of the 21-cm forest. Left: 1-D power spectra P(k) as a function of Fourier mode k in the CDM model. The blue, green, yellow and red data correspond to heating rates of fX = 0, 0.1, 1 and 3, respectively, relative to the current rate. Right: 1-D power spectra for an un-heated IGM (fX = 0). The blue, green, yellow and red data correspond to the CDM model and WDM models with DM particle masses of 10 keV, 6 keV, and 3 keV, respectively. The black dotted and dashed lines are the expected thermal noises for phase 1 (SKA1-LOW) and phase 2 (SKA2-LOW) of low-frequency SKA respectively, and the error bars show the total measurement errors of SKA2-LOW. The differences in the power spectrum shape and amplitude can distinguish the effects of WDM from heating if fX ≤0.1 for SKA1-LOW and up to fX = 3 for SKA2-LOW. (Shao et al. 2023)
In scenarios where the cosmic heating is not too severe, the low-frequency array of phase-one SKA is capable of effectively constraining both the dark matter particle mass and the gas temperature (Fig. 3 – left panel). In cases where the cosmic heating is more significant, the utilization of multiple background radio sources with the phase-two SKA still enables robust detection capabilities (Fig. 3 – right panel). Thus the 1-D power spectrum of 21-cm forest can indeed kill the two birds with one stone.

Fig. 3 – Constraints (68.3% and 95.4% confidence level) on TK and mWDM with the 1-D power spectrum of 21-cm forest at z = 9, assuming measurements along lines of sight against 10 background sources with S150 = 10 mJy. (Shao et al. 2023)
The implications
It is found that the measurement of 1-D power spectrum of 21-cm forest will not only make the probe actually feasible by increasing the sensitivity, but also provide a way to distinguish the effects of warm dark matter models and early heating process. For dark matter constraints, the 21-cm forest offers a viable probe at high redshifts, exploring scales and redshift ranges beyond the reach of other observations. By measuring the heating level, the 21-cm forest provides a way to constrain the spectral properties of the first galaxies and the first black holes, so as to shed light on the nature of the first bright objects in the universe. It serves as an indispensable avenue for advancing our understanding of the early universe and peering into the mysteries of both dark matter and the first galaxies.
The realization of the 21-cm forest probe is closely tied to observations of high-redshift background radio sources. Therefore, the next step involves identifying more radio-bright sources at cosmic dawn (such as radio-loud quasars and gamma-ray burst afterglows) that can be followed up in the SKA era. It is highly anticipated that during the operation of SKA, the 21-cm forest will be further developed into a crucial tool for unraveling the nature of dark matter and the formation of the first galaxies.
Follow the Topic
-
Nature Astronomy
This journal welcomes research across astronomy, astrophysics and planetary science, with the aim of fostering closer interaction between the researchers in each of these areas.
Please sign in or register for FREE
If you are a registered user on Research Communities by Springer Nature, please sign in