20%-efficient Polycrystalline Cd(Se,Te) Thin-Film Solar Cells with Compositional Gradient near the Front Junction
Published in Materials
Bandgap gradient is a proven approach for reducing the nonradiative recombination and improving the open circuit voltages (VOCs) in Cu(In,Ga)Se2 and Cu(Zn,Sn)Se2 thin-film solar cells. It is important to note that the bandgap gradient region must not present any additional detrimental hetero interface that causes nonradiative recombination. For this reason, typically, homovalent elements were introduced to produce such a bandgap gradient. For example, varying the Ga/In ratio has been used to introduce bandgap gradient in Cu(In,Ga)Se2 to improve the VOCs. Recently, Ag was also incorporated in Cu(In,Ga)Se2 and Cu(Zn,Sn)Se2 to introduce regions with bandgap gradient. For Cd(Se,Te) solar cells, a desirable approach for such a bandgap gradient is to incorporate a CdS thin layer in the front junction region. However, it has been previously found that this approach led to the formation of an individual photo-inactive Cd(S,Se) layer with an additional detrimental interface, resulting in even higher nonradiative recombination rates and lower VOCs , current densities (JSCs), and PCEs.
Here, we report an approach to overcome this issue. The key to this success was the incorporation of oxygenated CdS and CdSe layers (Cd(O,S), Cd(O,Se)) before the deposition of CdTe absorber layer. If pure CdS and CdSe layers were used, a photo-inactive wurtzite Cd(S,Se) layer would form, and consequently, an additional hetero interface would also form, as shown in Figure 1a-c. If Cd(O,S) and Cd(O,Se) were used, a region of penternary cadmium chalcogenide, Cd(O,S,Se,Te), was formed during CdCl2 treatment (Figure d-f). This penternary cadmium chalcogenide has the same zinc blend structure of the absorber, without forming an additional detrimental hetero interface, and is photoactive.

Figure 1. Formation of a Cd(O,S,Se,Te) region in Cd(Se,Te) solar cells. (a, d) Cross-sectional HAADF-STEM images; (b, e) overlaid EDS mappings for (green) Te, (blue) Se, and (red) S; (c, f) elemental line profiles extracted from the EDS maps for the devices with CdSe and Cd(O,Se).
To confirm the effect of penternary Cd(O,S,Se,Te) region on device performance, a control device without S was also fabricated, which consists of a SnO2/Cd(Se,Te)/CdTe stack. The Cd(O,S,Se,Te) region at the front interface in the target device leads to a reduced hole density and a thereby reduced nonradiative recombination, which was confirmed by steady-state photoluminescence (PL) and time-resolved photoluminescence (TRPL) measurements (Figure 2).

Figure 2. Reduced recombination due to the presence of Cd(O,S,Se,Te) region. (a) Steady-state PL spectra with different excitation beam wavelengths (405 and 633 nm) entering from the glass side for the (a) control and (b) target devices. (c) Time-resolved PL (TRPL) and the corresponding 3-exponential fitting curves for the control and target devices.
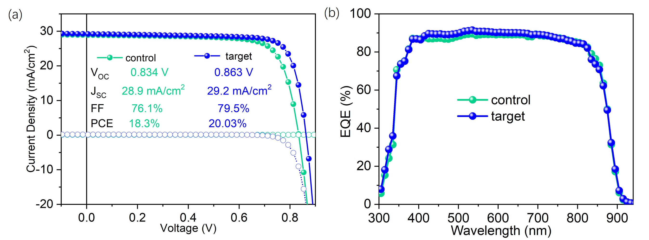
The successful introduction of the bandgap gradient region enabled the fabrication of efficient Cd(Se,Te) solar cells using commercial SnO2 buffer layers. All solar cells showed much improved VOCs and PCEs compared with the solar cells without bandgap gradient. The champion Cd(Se,Te) solar cell achieved a PCE of 20.03%, with a VOC of 0.863 V, a JSC of 29.2 mA cm-2, and a FF of 79.5% (Figure 3).

Figure 3. Performance improvement of devices with the Cd(O,S,Se,Te) region. (a) J-V and (b) EQE curves for the champion control and target devices.
For more details of this work, please read our paper in Nature Communications titled "20%-efficient Polycrystalline Cd(Se,Te) Thin-Film Solar Cells with Compositional Gradient near the Front Junction" by Deng-Bing Li, Sandip S. Bista, Rasha A. Awni, Sabin Neupane, Abasi Abudulimu, Xiaoming Wang, Kamala K. Subedi, Manoj K. Jamarkattel, Adam B. Phillips, Michael J. Heben, Jonathan D. Poplawsky, David A. Cullen, Randy J. Ellingson, and Yanfa Yan at 20%-efficient polycrystalline Cd(Se,Te) thin-film solar cells with compositional gradient near the front junction | Nature Communications.
Follow the Topic
-
Nature Communications
An open access, multidisciplinary journal dedicated to publishing high-quality research in all areas of the biological, health, physical, chemical and Earth sciences.
Related Collections
With Collections, you can get published faster and increase your visibility.
Women's Health
Publishing Model: Hybrid
Deadline: Ongoing
Advances in neurodegenerative diseases
Publishing Model: Hybrid
Deadline: Mar 24, 2026
Please sign in or register for FREE
If you are a registered user on Research Communities by Springer Nature, please sign in