A Bischler-Napieralski and Homo-Mannich Sequence Enables Diversified Syntheses of Sarpagine Alkaloids and Analogues
Published in Chemistry
Natural products and their derivatives have profoundly inspired drug discovery and development. Their enormous structural diversity, often in an intricate manner, can be hardly matched by any synthetic molecular libraries. Meanwhile, the evolutionarily bioactive roles generally endow natural products with more drug-like properties and make them presumably the best sources of potential drug leads. However, the low abundance of most natural products in organisms slows the pace of modern drug discovery, as it proposes challenges in all processes of isolation, screening, and optimization. The development of concise and efficient methodologies to empower large-scale supply of natural products and analogues shall help to address these issues and facilitate the discovery of drug hits.
Our group has been dedicated to the total synthesis of polycyclic alkaloids with bioactive significance for the last decade. Recently, based on the homo-Mannich reaction of cyclopropanol with iminium, we have developed 1) a C–H oxidation–homo-Mannich reaction sequence to construct the 9-azabicyclo[3.3.1]nonane skeleton, which was used as the key step in total synthesis of sarpagine, koumine, and strychnos alkaloids (Angew. Chem. Int. Ed. 2019, 58, 6420; Angew Chem. Int. Ed. 2021, 60, 13105; Nature Chem. 2023, 15, 1074); 2) a sequence of dearomatization asymmetric allylic dearomatization of indole and homo-Mannich reaction to fulfil the collective asymmetric synthesis of ibophyllidine, aspidosperma, kopsia, and melodinus alkaloids (Angew Chem. Int. Ed. 2023, e202307286); 3) dearomative addition and coupling of cyclopropanols with electron-rich arenes for the total synthesis of schizozygane and indolizidine alkaloids. (J. Am. Chem. Soc. 2021, 143, 19975; Org. Lett. 2023, 25, 2058).
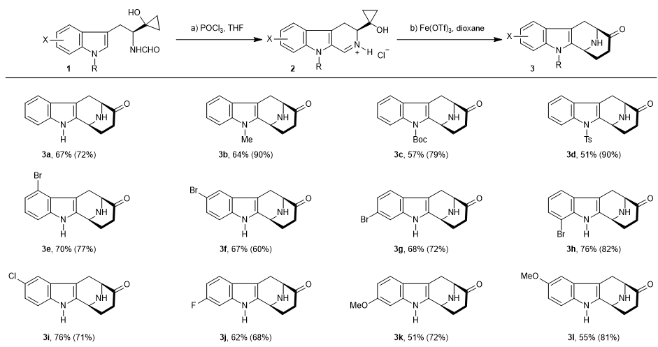
In our previous work, we have developed a tandem sequential C–H oxidation and cyclopropanol ring-opening cyclization to access the indole-fused azabicyclo[3.3.1]nonane core using L-tryptophan as the chiral starting material. However, this strategy depends on the use of p-methoxyphenyl (PMP) group, which facilitates the initial C–H oxidation and then cyclopropanol ring-opening cyclization but also brings about unrewarding and low-yielding transformations for its introduction and removal.1,2 We speculated that starting from chiral cyclopropanol 1, which can be easily converted from L-tryptophan, a Bischler-Napieralski and homo-Mannich reaction sequence shall provide an alternative synthetic choice thus avoiding the manipulation of protecting groups (Figure 1). This strategy calls for mild conditions for the Bischler-Napieralski cyclization to tolerate the acid-labile cyclopropanol unit, and new conditions for the homo-Mannich reaction of cyclopropanol to a new type of iminium partner (Figure 2). With the optimization of reaction conditions (Figure 3), the total synthesis of seven natural sarpagines, as well as a diverse array of analogues, have been achieved in short steps (Figure 3).
Figure 1. Background and study synopsis.

Figure 2. Substrate scope. Conditions: a 1 (1 mmol), POCl3 (5 mmol), THF (1 mL), 0 °C to room temperature, 5–20 min; b 2 (0.2 mmol), Fe(OTf)3 (0.4 mmol), dioxane (2 mL), room temperature, 15–30 min.
Figure3. Total synthesis of sarpagine alkaloids.
Despite sarpagine alkaloids have been separated and identified worldwide, we were astonished that this chemotype was far from well understood in term of pharmacology. There are a dozen studies relevant to the bioactivities of sarpagine alkaloids, yet few of them revealed the mechanism of action (MOA) or depicted the structure-activity relationship (SAR).3-5 To provide more insights into the MOA and SAR of sarpagine alkaloids, we tested the antiproliferation activity of all sarpagine products and designed more derivatives for further research. It turned out that our efforts were not in vain. A new derivative with optimized activity was identified to exert antiproliferation effect through the ferroptosis system xc--GSH-GPX4 pathway. This finding not only elucidates the pharmacological potential of our syntheses, but also strengthens the standpoint that elaborating the natural product skeletons is a continuing source for the discovery of therapeutic agents.

Figure 4. Compound 15ai induced cell death of MDA-MB-231 cells through ferroptosis.
For more details, please have a look at our article.
References
- Tan, Q. et al. Copper-Catalyzed Aerobic Oxidative Cyclization Cascade to Construct Bridged Skeletons: Total synthesis of (−)-suaveoline. Chem. Int. Ed. 58, 6420–6424 (2019).
- Yang, Z. et al. Asymmetric total synthesis of sarpagine and koumine alkaloids. Chem. Int. Ed. 60, 13105–13111 (2021).
- Rahman, M. T., Tiruveedhula, V. V. N. P. B. & Cook, J. M. Synthesis of bisindole alkaloids from the Apocynaceae which contain a macroline or sarpagine unit: a review. Molecules 21, 1525 (2016).
- Pandey, K. P., Rahman, M. T. & Cook, J. M. Bisindole alkaloids from the Alstonia species: recent Isolation, bioactivity, biosynthesis, and synthesis. Molecules 26, 3459 (2021).
- Heravi, M. M., Zadsirjan, V. & Malmir M. Application of the asymmetric Pictet–Spengler reaction in the total synthesis of natural products and relevant biologically active compounds. Molecules 23, 943 (2018).
Follow the Topic
-
Nature Communications
An open access, multidisciplinary journal dedicated to publishing high-quality research in all areas of the biological, health, physical, chemical and Earth sciences.
Related Collections
With Collections, you can get published faster and increase your visibility.
Women's Health
Publishing Model: Hybrid
Deadline: Ongoing
Advances in neurodegenerative diseases
Publishing Model: Hybrid
Deadline: Mar 24, 2026


Please sign in or register for FREE
If you are a registered user on Research Communities by Springer Nature, please sign in