Ancient journeys: how climate and the environment shaped the global expansion of early humans

The Out of Africa theory suggests that more than 70,000 years ago, some groups of people left Africa to spread across Europe, Asia, Australia, and the Americas. However, it remains unclear how much the environments they encountered facilitated or hindered their journey.
Ancient journeys: how climate and the environment shaped the global expansion of early humans
Like

Share this post

Choose a social network to share with, or copy the URL to share elsewhere

This is a representation of how your post may appear on social media. The actual post will vary between social networks

Examining so-called ‘environmental determinism’ at the global scale requires two main inputs: identifying the most likely migration routes among many thousands of possibilities, and determining what makes such routes more favourable compared to others.

Archaeological evidence and more recently, large-scale genetic comparisons, are the tools most applied to reveal past routes of human migration. But in isolation, these data are often too sparse and incomplete, and can only reveal potential routes associated with high uncertainty. Not only does such uncertainty challenge the identification of continuous, regional migration patterns, it has been nearly impossible to test how the environment might have influenced the choice of different routes.

 While some modelling approaches have explored migration patterns, they often rely on untested assumptions about ancient demographics and ecological constraints. Such models also attempt to validate predictions with sparse archaeological data, but these are constrained again by the high associated uncertainty.

 The next obvious step was therefore to combine both archaeological evidence and genetic data to overcome the problem of hyper uncertainty. But even when standardising these two different data types, we still faced the challenge of how to deal with patchy spatial coverage and sampling biases in the available data.

 Fortunately, we had recently developed a mathematical technique to map the arrival of the ancestors of Indigenous peoples across south-eastern Australia — a region covering an area approximately equivalent to the entirety of western Europe. This technique accounts for the uneven sampling of point-based dated material and corrects for spatial biases.

At the global scale, we first generated two maps to which we applied this technique: one estimating the timing of Homo sapiens' arrival across Eurasia and the Americas based on radiocarbon-dated archaeological data, and another one based on the fixation index of mitochondrial DNA that represents the genetic distance between populations at different locations. We then designed a second mathematical procedure to identify trajectories across these maps that minimised differences in both arrival timing and genetic distance along the potential pathways.

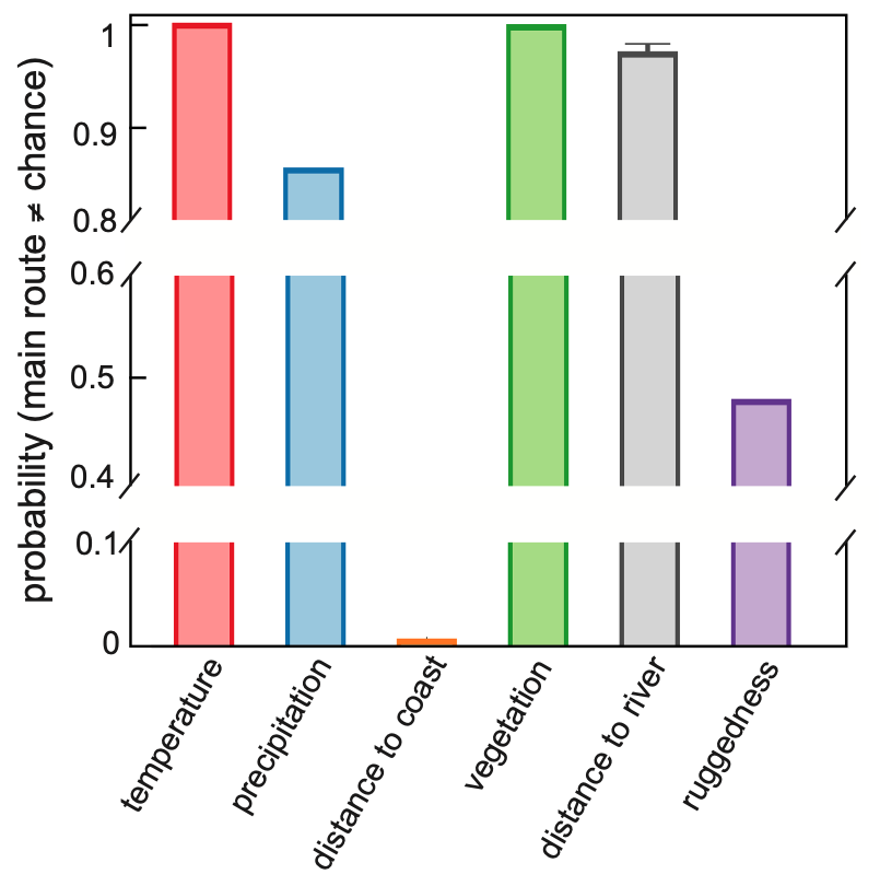
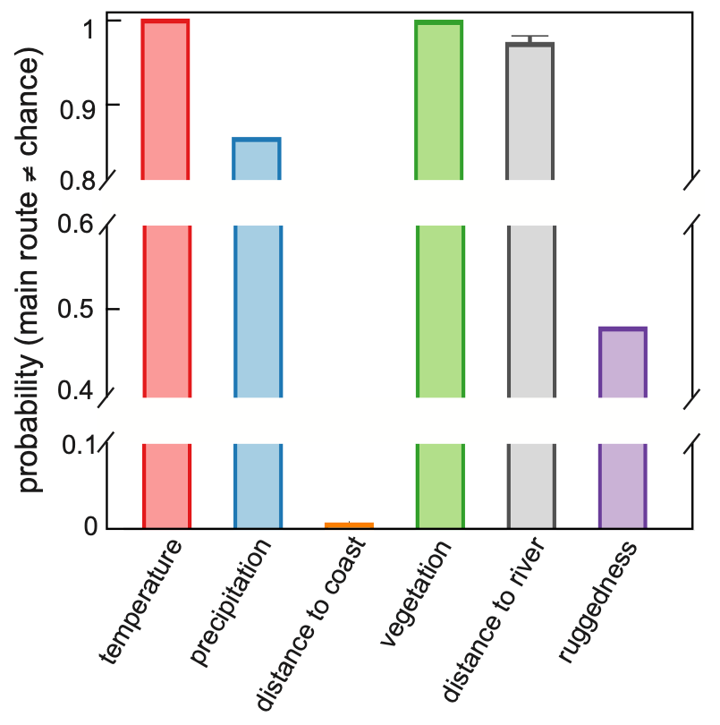
The outcome was the first global-scale prediction of human migration pathways that avoided the guesswork of previous approaches. We identified several potential migration trajectories for each region of Eurasia and the Americas, ranking them from most- to least-likely. We then analysed six environmental variables (see figure below) generated at the reconstructed timing of arrival based on a hindcasted atmosphere-ocean general circulation model to determine which climate and environmental conditions best explained the differences between the most- and least-likely trajectories.

Estimated probability that the difference between environmental values (mean annual temperature, mean annual precipitation, mean distance to nearest coast, percentage of forest, mean distance to the nearest main river, and mean ruggedness) along the most-likely routes compared to the other, less-plausible routes is not derived by chance.

The emerging results were fascinating and corroborated several hypotheses arising from environmental determinism — our first ancestors chose to travel primarily through warm, humid areas with a mix of forest and grasslands near rivers. While the relative importance of environmental conditions varied across regions, we now have the empirical support for how the environment influenced where the first explorers migrated.

 A closer regional look shows that in Europe, humans likely first spread from the Fertile Crescent through the Caucasus Mountains into Scandinavia around 48,300 years ago and into Western Europe around 44,100 years ago, following warmer and wetter conditions. In northern Asia, migration routes followed major rivers to cope with harsher climates, reaching Beringia (a now-submerged land bridge between Siberia and Alaska) around 34,700 years ago. In North America, humans initially migrated along the Pacific coast around 16,000 years ago and moved inland around 3,000 years later through the ice-free corridor of the Mackenzie River basin.

Most likely routes favoured by the first human migrants across Eurasia and the Americas. Coloured areas indicate the type of ecosystems encountered, based on climate and vegetation models. The inset image illustrates the ideal migration conditions: warm and humid areas containing a mix of forest and grasslands near rivers. Credit: Flinders University

Incorporating new modelling methods with the latest climatic, archaeological, genetic and environmental data provides insights into how ancient humans moved and adapted across vast continents tens of thousands of years ago. Our work underscores how climate and ecology shaped human prehistory, highlighting biodiversity's role in human survival and mobility to thrive in new environments for thousands of years. The current biodiversity crisis is now compromising our ability to thrive, and despite our advanced technologies, our future is uncertain in the face of global environmental decline.

 This Behind the Paper post is co-authored by Frédérik Saltré, Corey J. A. Bradshaw, Bastien Llamas and Thomas Higham. This research was supported by Australian Research Council Centre of Excellence for Australian Biodiversity and Heritage.

Please sign in or register for FREE

If you are a registered user on Research Communities by Springer Nature, please sign in

Follow the Topic

Ecology
Life Sciences > Biological Sciences > Ecology
Environmental Archaeology
Humanities and Social Sciences > Archaeology > Environmental Archaeology
Paleoecology
Life Sciences > Biological Sciences > Ecology > Paleoecology
Human Geography
Physical Sciences > Earth and Environmental Sciences > Geography > Human Geography
Human Migration
Humanities and Social Sciences > Society > Population and Demography > Human Migration

Related Collections

With Collections, you can get published faster and increase your visibility.

Healthy Aging

This collection welcomes submissions based on studying preclinical models, as well as population-wide and clinical studies. Studies that advance our understanding of mechanisms behind healthy aging are also welcomed. Clinical research of interest will include epidemiological studies, observational studies, longitudinal cohort studies, systematic reviews and clinical trials.

Publishing Model: Open Access

Deadline: Jun 01, 2026

Women's Health

A selection of recent articles that highlight issues relevant to the treatment of neurological and psychiatric disorders in women.

Publishing Model: Hybrid

Deadline: Ongoing