Enhanced radiative cooling by using an additional atmospheric transparent window

Here, we show a dual-selective radiative cooling design based on a scalable thermal emitter, which exhibits selective emission in both atmospheric transparent windows and reflection in the remaining mid-infrared and solar wavebands, with enhanced radiative cooling performance.

Published in Materials

Enhanced radiative cooling by using an additional atmospheric transparent window
Like

Share this post

Choose a social network to share with, or copy the URL to share elsewhere

This is a representation of how your post may appear on social media. The actual post will vary between social networks

Daytime radiative cooling is a passive cooling technology that achieves subambient cooling (i.e., cooling below ambient temperature) through the radiative heat exchange between earth the (~300 K) and the cold outside space (~3 K). The most attractive feature of this technology is that the subambient cooling can be achieved in strong sunlight without consuming any energy or emitting greenhouse gases. Radiative cooling technology is therefore expected to become an alternative to traditional energy-intensive cooling systems (such as air conditioners), thus contributing to the alleviation of the current growing energy crisis and global warming.

The subambient cooling capability of a daytime radiative cooling material is due to its ability to emit heat into the cold (~3 K) outside space through the atmospheric transparent windows, while at the same time rejecting solar heat, such as a thermal emitter with a high solar reflectance.

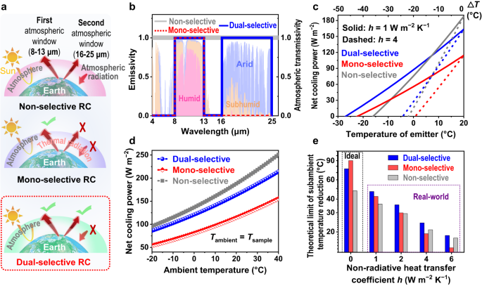
Since the first experimental development of daytime radiative cooling based on a thermal emitter by Shanhui Fan's group at Stanford University in 2014, various efficient thermal emitters have been developed, mainly for building or personal thermal management. According to the spectral response in the mid-infrared (MIR) waveband, these thermal emitters can be mainly categorized into non-selective thermal emitters and selective thermal emitters. The non-selective thermal emitters exhibit high absorption/emission over the entire MIR wavebands, while the selective thermal emitters exhibit a high absorption/emission only in the 8–13 μm atmospheric window (defined as mono-selective thermal emitters) and a high reflection in the remaining MIR wavebands.

These radiative cooling thermal emitters are usually designed based on the atmospheric transparency window. In fact, the absorption of heat by water results in completely different atmospheric transparency for different humidity environments. In arid climates, in addition to the widely known main atmospheric transparency window in the 8–13 μm waveband, there is another window in the 16–25 μm waveband that can also dissipate heat to outer space, defined as the second atmospheric transparency window, whose cooling effect cannot be neglected in such arid environments. However, existing radiative cooling designs typically focus only on the main atmospheric transparent window (8–13 μm) and ignore another window, under-exploiting their cooling potential. It is well known that there are vast arid and hot regions on Earth, such as the Middle East and North Africa. Therefore, it is of great importance to develop a radiative cooling material that can make full use of the two atmospheric windows for cooling. It is well known that there are vast arid and hot regions on Earth, such as the Middle East and North Africa. It is therefore important to develop a radiative cooling material that can take full advantage of the both atmospheric windows.

Based on this, we propose a dual-selective radiative cooling model characterized by selective emission in the two atmospheric transparent windows (8–13 μm and 16–25 μm) and reflection in the remaining non-windowed MIR and solar wavebands. Theoretical simulations show that the dual-selective model has significantly better subambient cooling performance than the existing typical radiative cooling designs (non-selective and mono-selective thermal emitter models) in a real arid environment. The thermal measurement results showed that the dual-selective sample could achieve a high subambient temperature reduction of ~9 °C under strong sunlight in an arid environment, which was significantly better than the existing typical radiative cooling thermal emitters (≥ 3 °C cooler).

To assess the practicality of the dual-selective thermal emitter sample, we compared its cooling performance with that of commonly used commercial building roofing materials, including black asphalt, color steel sheet (white), white paint and bare Al foil. The results showed that the cooling performance of the dual-selective sample was much better than that of these common commercial roofing materials. In addition, the dual-selective sample could withstand more than 300 hours of intense UV irradiation (equivalent to more than 1253 days of continuous outdoor exposure in Beijing) and 5 months of outdoor exposure in Beijing, demonstrating its high weather resistance. Furthermore, considering that conventional radiative cooling materials are usually white or silver, they do not meet aesthetic demands. We also colored the dual-selective film by introducing a commercially available colored polyethylene film onto the surface and demonstrated that the colored dual-selective samples still had subambient cooling capability, indicating their high color compatibility.

Furthermore, considering that conventional radiative cooling materials are usually white or silver, they do not meet aesthetic demands. We also colored the dual-selective film by introducing a commercially available colored polyethylene film onto its surface and demonstrated that the colored dual-selective samples still had high subambient cooling capability, indicating their high color compatibility. In summary, the dual-selective thermal emitter showed high subambient cooling performance, high weather resistance and high color compatibility, demonstrating high practicality and commercial potential.

This work provides a scalable design for the reliable passive cooling in real conditions, paving the way for the next-generation energy-saving thermal management.

Please sign in or register for FREE

If you are a registered user on Research Communities by Springer Nature, please sign in

Follow the Topic

Materials for Energy and Catalysis
Physical Sciences > Materials Science > Materials for Energy and Catalysis

Related Collections

With Collections, you can get published faster and increase your visibility.

Women's Health

A selection of recent articles that highlight issues relevant to the treatment of neurological and psychiatric disorders in women.

Publishing Model: Hybrid

Deadline: Ongoing

Biosensing

With this cross-journal Collection, the editors of Communications Biology, Nature Biomedical Engineering, Nature Sensors, Nature Communications, and Scientific Reports welcome the submission of primary research Articles focusing on the development of engineered biosensing devices with the potential to be applied in biomedical research and in the management of disease conditions.

Publishing Model: Hybrid

Deadline: Jun 30, 2026