Increased risk of infections in smoldering multiple myeloma: Results from the screened iStopMM study
Published in Cancer and General & Internal Medicine
Connecting the dots
Smoldering multiple myeloma (SMM) is a precursor to multiple myeloma (MM) and represents a more advanced stage of clonal plasma cell proliferation than the earliest precursor monoclonal gammopathy of undetermined significance (MGUS). SMM is present in 0.5% of the population above 40 years, but while infection risk is well-documented in MM, and has been observed in MGUS as well, it has not previously been investigated in SMM.
With treatment strategies for SMM evolving fast—including trials looking at early intervention—this missing piece was critical. We needed better understanding of the natural history of SMM, specifically the baseline infection risk, to help guide both clinical decisions and patient counseling.
How we approached it:
We used data from the Iceland Screens, Treats or Prevents Multiple Myeloma (iStopMM) study, a large population-based study where over 75,000 Icelandic individuals above 40 years old were screened. This gave us a rare opportunity to study individuals diagnosed with SMM through screening—not just those who are referred to hematology clinics because of clinical suspicion. That meant less selection bias, and a more representative picture of what SMM looks like in the general population.
We included individuals diagnosed with SMM, and compared them to two groups:
- Individuals diagnosed with MGUS through the same screening
- Individuals without MGUS or SMM at time of screening
Then, using comprehensive national health registries, we examined their infection history—both diagnosed infections (using ICD-10 codes) and antimicrobial medications prescribed to treat infections (using ATC-codes).
What we found:
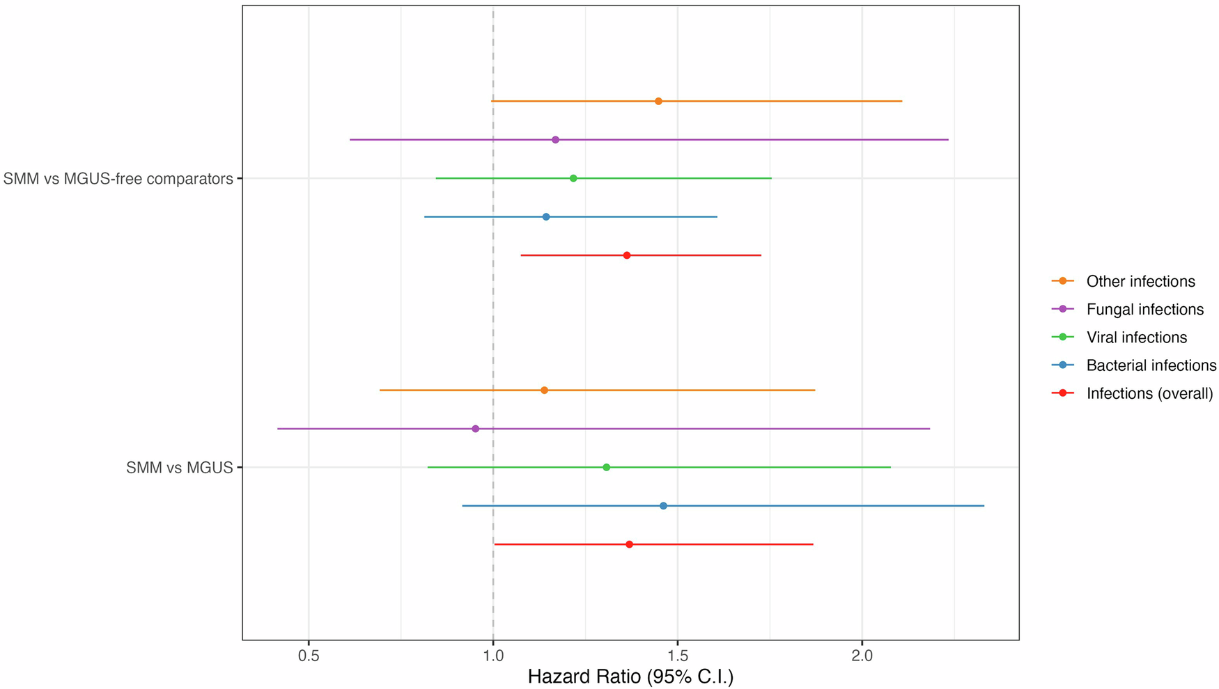
The results were clear: individuals with SMM had a significantly higher risk of infections compared to both individuals with MGUS (HR 1.36) and individuals without MGUS (1.37) (figure). Furthermore, we found that the individuals with SMM received significantly more antibacterial prescriptions (HR 1.24) suggesting a potentially larger bacterial infectious burden.
Although this may seem expected—given that SMM represents a more advanced disease stage—it had not been demonstrated previously. Importantly, these findings came from a screened population where the studied SMM cohort consisted primarily of individuals classified as low risk (76%), according to Mayo Clinic’s 2/20/20 model. Taken together, this indicate that even in individuals with a modest disease burden, the increased infection susceptibility is still significant.
The infection pattern was similar across all groups with respiratory infections being the most dominant type of infection. But the individuals with SMM experienced a higher number of infections, pointing to a greater infectious burden overall.
When we dug deeper, we found that immunoparesis (i.e., suppression of normal immunoglobulin levels) was more prevalent in SMM (46%) compared to individuals with MGUS (22%) and individuals without MGUS (9.5%), reflecting a more advanced disease stage with a gradual decline in immune function. When adjusting for immunoparesis the infection risk estimates were decreased, suggesting that immunoparesis may be one of the mechanisms driving the increased susceptibility to infections in SMM.

Figure 1: Time-to-first infection analysis. Forest plot of hazard ratios (HRs) with 95% confidence intervals (Cis) of subgroups of infections defined by ICD codes in individuals with SMM compared to MGUS-free comparators (top) and individuals with MGUS (bottom).
What it means:
To our knowledge, this is the first study to describe infection risk specifically in SMM, which adds a new layer to how we think about this “asymptomatic” condition.
It shows that even in the absence of symptoms, individuals with SMM may be biologically more vulnerable than we thought. Accounting for the pre-existing infection risk is essential, especially as more clinical trials are investigating early treatment in high-risk SMM, which may itself lead to treatment related immunosuppression and increase the risk of infections.
However, we did not evaluate severity of infections, therefore it is unclear if any measures should be taken in the clinical management of SMM. This is something that should be investigated further in future studies to ensure a better understanding of the underlying mechanisms and help identify patients who would benefit from closer monitoring and preventive care.
Future directions
Recognizing the increased infection risk in SMM not only strengthens the foundation for clinical decision-making but also ultimately lead to improve patient care. At the same time, our findings raise important questions for future research:
- Should we consider prophylactic administration of antibiotics, immunoglobulins or specific vaccinations for some patients with SMM?
- Are the individuals with SMM who experience more frequent infections also at greater risk of progression to MM?
- Consequently, should infection tendency be incorporated into SMM risk stratification models?
By exploring these questions, future studies can build upon the groundwork laid here, ultimately refining risk assessment, guiding preventive strategies, and enhancing the quality of care for patients with SMM.
Follow the Topic
-
Leukemia
This journal publishes high quality, peer reviewed research that covers all aspects of the research and treatment of leukemia and allied diseases. Topics of interest include oncogenes, growth factors, stem cells, leukemia genomics, cell cycle, signal transduction and molecular targets for therapy.
Your space to connect: The Primary immunodeficiency disorders Hub
A new Communities’ space to connect, collaborate, and explore research on Clinical Medicine, Immunology, and Diseases!
Continue reading announcement
Please sign in or register for FREE
If you are a registered user on Research Communities by Springer Nature, please sign in