Long-term humoral response following Delta and Omicron BA.1 co-infection

Published in Healthcare & Nursing

Long-term humoral response following Delta and Omicron BA.1 co-infection
Like

Share this post

Choose a social network to share with, or copy the URL to share elsewhere

This is a representation of how your post may appear on social media. The actual post will vary between social networks

Background

The fifth wave of the SARS-CoV-2 took place in France between November 2021 and January 2022. This period presented an intense epidemic episode, with simultaneous circulation of the Delta and Omicron BA.1 variants. In the meantime, the virological team based at the Croix Rousse Hospital in Lyon (Antonin Bal, Laurence Josset, Bruno Lina) was able to identify 29 patients exhibiting a simultaneous Delta/Omicron BA.1 infection out of 27,387 nasopharyngeal swabs tested positive for SARS-CoV-2 by RT-PCR and submitted to viral sequencing. These situations illustrate the rarity of simultaneous infection by two variants of the same virus.  For nine of these patients, blood samples were available 6 months after infection. To serve as comparison reference groups, blood sampling was also performed on nine individuals infected with the Omicron BA.1 only during the same period as well as nine COVID-19-naïve individuals vaccinated with the BNT162b2 ancestral monovalent mRNA vaccine (Pfizer), 6 months after infection or vaccination respectively. All infected individuals had been previously vaccinated with the BNT162b2 vaccine; they all exhibited a mild form of COVID-19. A natural infection occurring after vaccination is called a breakthrough infection.

To evaluate the long-term humoral response of these individuals, two groups of researchers, one located in Lyon (Sophie Trouillet-Assant, Guy Oriol, Carla Saade) and the other in Saint-Etienne (Bruno Pozzetto, Stéphane Paul, Melyssa Yaugel-Novoa, Carla Saade) investigated different parameters:

  • levels of antibodies of the IgG class targeted against the receptor binding domain (RBD) of the SARS-CoV-2 spike protein of the ancestral strain (commercial test);
  • levels of antibodies of the IgA class targeted against the subunit 1 (S1) of the SARS-CoV-2 spike protein of the ancestral strain (in-house technique);
  • titers of neutralizing antibodies against isolates belonging to different SARS-CoV-2 variants (19A, Delta, Omicron BA.1, Omicron BA.4 and Omicron BA.5) (in-house technique). Two of them, Delta and Omicron BA.1, corresponded to the variants having circulated during the period of patients’ infection.

Results

There was no significant difference in anti-RBD IgG and anti-S1 IgA levels among individuals with a breakthrough infection caused by Delta and BA.1 or by BA.1 only; however, these levels were 4.13 and 10.83 -fold lower, respectively, among COVID-19-naïve individuals than in those with hybrid immunity (Fig. 1a and 1b).

Figure 1. Anti-RBD IgG (a) and anti-S1 IgA (b) levels 6 months after last immunization in individuals vaccinated and then co-infected with Delta and BA.1, or vaccinated and then infected with BA.1, or in COVID-19-naïve fully-vaccinated individuals.

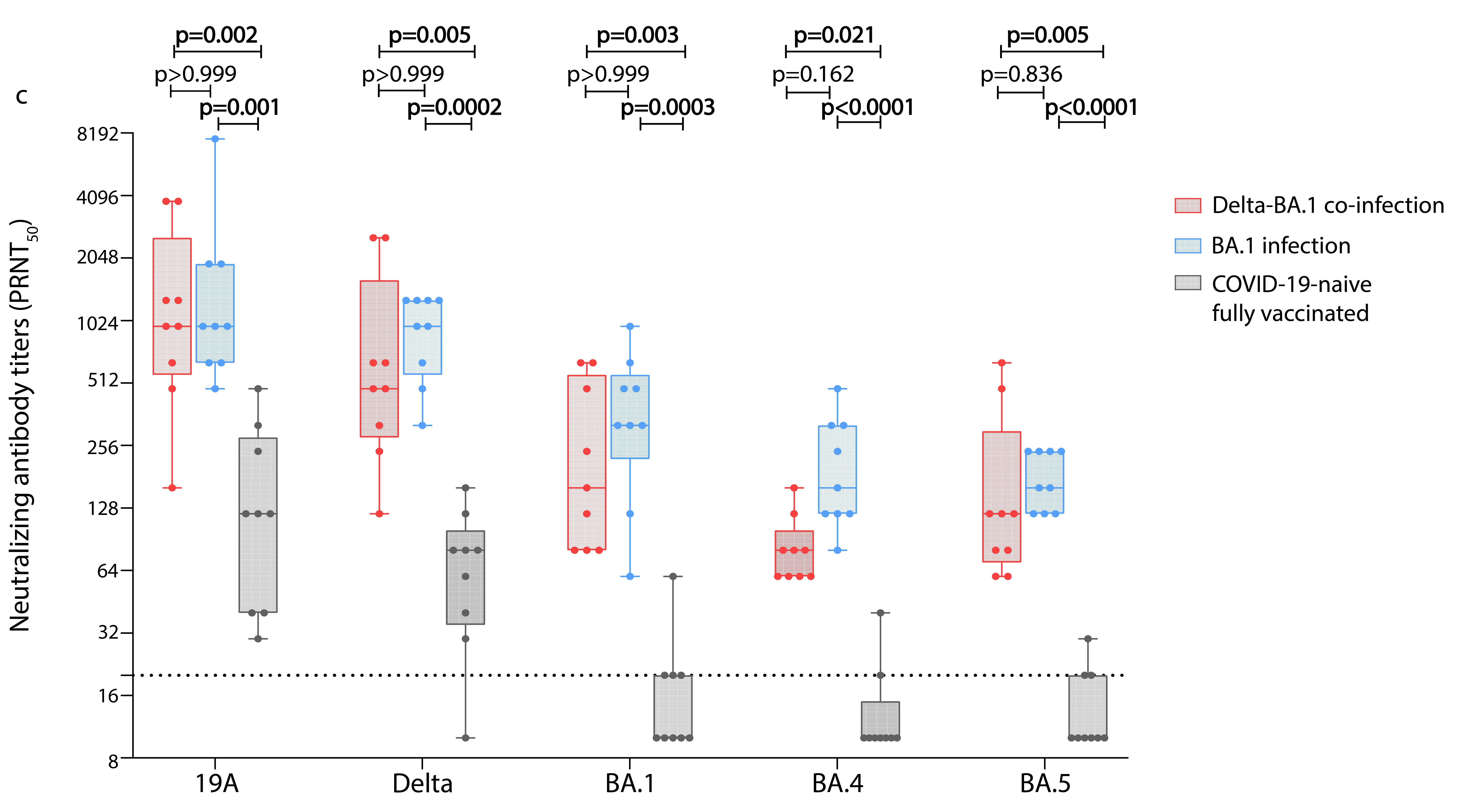
Neutralizing antibody titers were significantly lower among COVID-19-naïve individuals for all viral variants compared to BA.1-infected and Delta-BA.1-co-infected individuals. Compared to COVID-19-naïve individuals, the median neutralizing antibody titer of BA.1-infected individuals was 8-fold higher for the 19A isolate and 12-fold higher for the BA.5 isolate, and it was 8-fold higher for the 19A isolate and 16-fold higher for the BA.5 isolate in Delta-BA.1 co-infected individuals. Interestingly, no significant difference was observed between the two groups of individuals with a breakthrough infection (Delta/Omicron BA.1 vs Omicron BA.1 alone) (Fig. 2).

Figure 2. Neutralizing antibody titers 6 months after last immunization in individuals vaccinated and then co-infected with Delta and BA.1, or vaccinated and then infected with BA.1, or in COVID-19-naïve fully-vaccinated individuals.

Key takeaways

- No significant difference was observed in the humoral response induced by a single or dual breakthrough infection suggesting no additional immune advantage following a co-infection. The antibodies elicited against the previous Delta variant exhibit a low protection against the Omicron BA.1 variant. This is at least in part explained by the antigenic shift resulting from the accumulation of mutations in the spike protein that led to the emergence of the Omicron BA.1 variant.

- The occurrence of infection after vaccination (hybrid immunity) resulted in an enhancement of the long-term humoral response by comparison to the humoral response induced by vaccination only.

- These findings suggest that the vaccines targeted against the ancestral SARS-CoV-2 strain have to be replaced by vaccines including epitopes of Omicron variants in order to induce a more specific and potent immune response.

Please sign in or register for FREE

If you are a registered user on Research Communities by Springer Nature, please sign in

Follow the Topic

Health Care
Life Sciences > Health Sciences > Health Care

Related Collections

With Collections, you can get published faster and increase your visibility.

Therapeutic HPV vaccines

Therapeutic Human papillomavirus (HPV) vaccines are considered to be a promising approach to intercept the development of HPV-driven cancers in already HPV-infected people. This collection aims to gather the state of the art of therapeutic HPV vaccine research – from novel vaccine design concepts, to preclinical models, to results of clinical trials.

Publishing Model: Open Access

Deadline: Jun 30, 2026

Lipid nanoparticle (LNP)-adjuvanted vaccines

This Collection invites research on LNP-adjuvanted vaccines, including mRNA, DNA, protein, and other vaccines, as well as innovative strategies in vaccine adjuvant development.

Publishing Model: Open Access

Deadline: May 19, 2026