RTS,S, the first malaria vaccine - what mediates protection and how long does immunity last?
Published in Microbiology, General & Internal Medicine, and Immunology
Currently, RTS,S is the only malaria vaccine that has completed phase III clinical trials in African children, and in October 2021 the WHO recommended widespread use of RTS,S among children in sub-Saharan Africa and other regions with moderate to high P. falciparum malaria transmission.
Modest vaccine efficacy and short durability for RTS,S
RTS,S demonstrated only modest efficacy with relatively short longevity. In young children aged 5–17 months, RTS,S vaccine efficacy against clinical malaria was ~50% over 18 months of follow-up. Efficacy waned quickly such that there was little or no significant efficacy after 18 months. When a booster dose was given at 18 months, vaccine efficacy over 3-4 years was 36%. Notably, other vaccine candidates tested in clinical trials have either failed to confer significant protection in target populations of malaria-exposed individuals or have not yet demonstrated higher efficacy or greater durability than RTS,S in young children that is reproducible in multiple trials. So while RTS,S is imperfect, there is no vaccine on the horizon that is markedly superior.
What protective immune responses are induced by RTS,S?
The RTS,S vaccine is based on the circumsporozoite protein (CSP), a major surface-expressed antigen on the sporozoite stage of P. falciparum, and antibodies are the main mediator of vaccine efficacy. However, the mechanisms of action of these antibodies are not fully understood, especially among children. This lack of knowledge impedes progress to improve on RTS,S and constrains the development of more efficacious second-generation vaccines. Recent studies have demonstrated that antibody interactions with Fc-receptors on immune cells can play important roles in mediating immunity against sporozoites, including opsonic phagocytosis by neutrophils and monocytes and cellular cytotoxicity by NK cells.
We investigated the induction and longevity of functional antibodies in a phase IIb trial of RTS,S among Mozambican children aged 1-5 years old. We found that RTS,S vaccination induced specific IgG with FcγRIIa and FcγRIII binding activity and promoted phagocytosis by neutrophils, THP-1 monocytes, and primary human monocytes, neutrophil respiratory burst activity, and NK cell activation, suggesting these mechanisms could be contributing to vaccine efficacy.
Biostatistical modelling suggested IgG1 and IgG3 contribute in promoting FcγR binding and phagocytosis, and IgG targeting the NANP-repeat and C-terminal regions of CSP were similarly important for functional activities

Figure Legend: Antibodies against CSP opsonise sporozoites and interact with FcγRs to promote phagocytosis, which is predominantly mediated by neutrophils. Rate ratios are shown for the relationship between IgG subclasses and IgG to NANP-repeat and C-terminal domains of CSP, and antibody functional activities (FcγRIIa or III-binding and neutrophil phagocytosis). Rate ratios are also shown for the relationship between FcγRIIa and FcγRIII binding and neutrophil phagocytosis. Values are rate ratios and represent the percent change in participants’ antibody functional activities for each unit increase in IgG reactivity or FcγR binding. p≤0.001 for all rate ratios except neutrophil phagocytosis with IgG3 (p=0.023) and IgG to NANP (p=0.023).
Induction of functional antibodies is highly variable and negatively influenced by malaria exposure
Responses were highly heterogenous among children, and the magnitude of neutrophil phagocytosis by antibodies was relatively modest, which may reflect modest vaccine efficacy. Interestingly, induction of functional antibodies was lower among children who had experienced higher malaria exposure. The basis for this negative influence is not known, but could reflect impacts of malaria on the innate immune system or CD4+ T-cells, which are important for vaccine responses. This contrasts to what is seen with COVID-19 vaccines where prior infection with SARS-CoV-2 is associated with better vaccine responses.
Protective immune responses are relatively short-lived
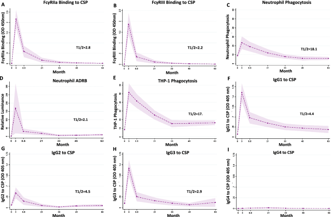
There is very limited data on the longevity of functional antibodies after vaccination with RTS,S. We found that functional antibodies largely declined within a year post-vaccination, and decay was highest in the first 6 months, consistent with the decline in vaccine efficacy over that time. Decay rates varied for different antibody parameters. Interestingly, decay was slower for neutrophil phagocytosis. This may be because the sensitivity of neutrophil phagocytosis to FcγR engagement by IgG means that there is a lower IgG threshold concentration required for activity, which may partly be explained by the expression of three activating FcγRs (FcγRIIIa, IIIb, and IIa) on the neutrophil surface.

Figure Legend: Serum samples were collected at baseline (month 0, M0), 30 days after the third vaccination (month 3, M3) and later time points (M8.5, M21, M33, M45 and M63). Samples were tested for A FcγRIIa-binding and B FcγRIII-binding to CSP, C opsonic phagocytis by neutrophils and D antibody-dependent respiratory burst (ADRB) in neutrophils and E opsonic phagocytosis by THP-1 cells. Antibodies were also tested for IgG subclasses to CSP, including F IgG1, G IgG2, H IgG3 and I IgG4. Data from immunologic assays were analysed in generalised linear mixed model (GLMM). The dashed lines represent the predicted means, the shaded area represents the 95% CIs and T1/2 (in months) indicates the estimated half-lives from the generalised linear mixed model. Half-life represents the time for magnitude to reduce by 50% from the M3 time-point.
Conclusions
Achieving high vaccine efficacy and greater longevity of efficacy are key global goals outlined by WHO and funding partners. We established key functional antibody activities induced by RTS,S, and the temporal kinetics of these responses, in young African children, who are the primary target group of the vaccine. Our results provide insights to understand the modest and time-limited efficacy of RTS,S in children. In future studies, analysis of these functional antibodies needs to be extended into the RTS,S phase III trial, including evaluation of responses in different populations, and an analysis of correlations of protection. Findings from this study address knowledge gaps around RTS,S immunity and may contribute to improving RTS,S efficacy and longevity in the future or the development of next-generation vaccines.
Link to the paper:
https://bmcmedicine.biomedcentral.com/articles/10.1186/s12916-022-02466-2
Feng G, Kurtovic L, Agius PA, Aitken EH, Sacarlal J, Wines BD, Hogarth PM, Rogerson SJ, Fowkes FJI, Dobaño C, Beeson JG. Induction, decay, and determinants of functional antibodies following vaccination with the RTS,S malaria vaccine in young children. BMC Med. 2022 Aug 25;20(1):289
Link to a related paper - Induction and decay of functional complement-fixing antibodies by the RTS,S malaria vaccine in children, and a negative impact of malaria exposure
https://bmcmedicine.biomedcentral.com/articles/10.1186/s12916-019-1277-x
Follow the Topic
-
BMC Medicine
This journal publishes outstanding and influential research in all areas of clinical practice, translational medicine, medical and health advances, public health, global health, policy, and general topics of interest to the biomedical and sociomedical professional communities.
Ask the Editor - Immunology, Pathogenesis, Inflammation and Innate Immunity
Got a question for the editor about the complement system in health and disease? Ask it here!
Continue reading announcementRelated Collections
With Collections, you can get published faster and increase your visibility.
Healthy aging and longevity: the role of preventive medicine and risk factors
BMC Medicine is calling for submissions to our Collection on healthy aging and longevity, emphasizing the interplay between physical, cognitive, and social functioning that enables an average lifespan under ideal conditions. As populations age globally, the research focus has shifted from increasing lifespan to enhancing “healthspan”—the period of life spent in good health. This Collection seeks to explore innovative approaches and cutting-edge research in areas such as healthy aging, preventative medicine, and the role of risk factors in promoting longevity. With a focus on mitigating modifiable risk factors with dietary and lifestyle interventions or personalized care, and on tackling genetic predisposition with a proactive, preventive approach, this Collection will aim to expand our knowledge of key determinants of the quality of life for older adults.
Recent findings highlight the complexity of the relationships between genetics, lifestyle choices, and environmental factors from early life to later influencing health outcomes. By addressing these complex interactions with interventions targeting nutrition, physical activity, risk stratification, and treatment for chronic diseases throughout the lifespan, we can create effective strategies to enhance the quality of life as people age and mitigating the effects of multimorbidity and frailty among older adults.
A preventive, life course approach to health and longevity research is highly relevant to public health as it addresses the root causes of diseases and promotes overall well-being from early life through old age. By focusing on prevention and early intervention, it aims to reduce the incidence of chronic diseases, improve quality of life, and extend healthy life expectancy. Moreover, investing in preventive measures such as healthy lifestyle promotion, early screenings, and immunizations reduces healthcare costs in the long term by reducing the need for expensive treatments and hospitalizations.
Health inequities in aging women's care pose an additional challenge to the public health management of aging, as women often face inequities influenced by a combination of biological, social, and economic factors. Gender biases in healthcare practice and medical research often result in women receiving less effective treatments and having their symptoms dismissed or underestimated. Women of color and those from lower-income households are particularly vulnerable to these disparities. Addressing these inequities requires a multifaceted approach, including improving access to preventative healthcare and addressing social determinants of health.
Continued research in health and longevity may pave the way for transformative breakthroughs in public health policies, aging-related therapies and innovative interventions. As our understanding deepens, we must develop more personalized approaches to health management, improve the resilience of aging populations, and ultimately reshape how we view aging in society.
Topics of interest include but are not limited to:
-Healthy aging and lifestyle interventions
-Preventative medicine and early intervention approaches
-Multidisciplinary approaches to longevity
-Nutrition and physical activity in healthspan
-Modifiable risk factors and risk stratification for cardiovascular and neurological disease in older adults
-Women’s health aging, including research on menopause and ovarian function
All manuscripts submitted to this journal, including those submitted to collections and special issues, are assessed in line with our editorial policies and the journal’s peer review process. Reviewers and editors are required to declare competing interests and can be excluded from the peer review process if a competing interest exists.
This Collection supports and amplifies research related to SDG 3 (Good Health and Well-being).
Publishing Model: Open Access
Deadline: Jan 29, 2026
Climate change and human health
BMC Medicine is calling for submissions to our new Collection on the health impacts of climate change. The relationship between global warming and human health is increasingly becoming a focal point in public health research. Rising temperatures, shifting weather patterns, and extreme weather events are projected to have profound effects on various health outcomes. From increased prevalence of vector-borne diseases to heightened risks of heat-related illnesses, the health implications of climate change are vast and multifaceted. This Collection aims to explore the direct and indirect impacts of global warming on health, examining how these changes affect vulnerable populations and health systems worldwide.
Understanding the implications of global warming for human health is crucial for developing effective public health strategies and interventions. Recent research has highlighted the links between climate change and a variety of health issues, including air pollution, water-borne diseases, and undernutrition. Advances in climate modeling and epidemiological studies have enhanced our ability to predict health outcomes related to climate change, providing invaluable insights that can inform policy decisions and health care planning.
Continued research in this area may lead to innovative solutions to mitigate the health impacts of climate change. For example, interdisciplinary approaches that integrate climate science, public health, and social determinants of health could reveal new pathways for adaptation and resilience. Future studies may also focus on the development of health infrastructure designed to withstand climate-related stresses, thus improving community health outcomes in an era of global warming.
We are considering manuscripts on, but not limited to the following topics:
-Impact of air pollution on health
-Heat-related illnesses
-Water-, and vector-borne diseases in a warming world
-Social determinants of health and climate vulnerability
-How health systems and infrastructure may be affected by climate change
-Nutrition and health in the context of climate change
-Impacts of climate change on non-communicable diseases
All manuscripts submitted to this journal, including those submitted to collections and special issues, are assessed in line with our editorial policies and the journal’s peer review process. Reviewers and editors are required to declare competing interests and can be excluded from the peer review process if a competing interest exists.
This Collection supports and amplifies research related to SDG 3 (Good Health and Well-being) and SDG 13 (Climate Action).
Publishing Model: Open Access
Deadline: Mar 02, 2026
Please sign in or register for FREE
If you are a registered user on Research Communities by Springer Nature, please sign in