Streptococcus pneumoniae (the pneumococcus) is a leading cause of childhood deaths globally. Despite the introduction of pneumococcal conjugate vaccines (PCVs) in 168 countries by March 2023, vaccine access has lagged in some high burden low-middle-income countries. In the absence of invasive pneumococcal disease surveillance, data from carriage studies remain a vital proxy for determining the effect of PCV introduction. Currently, there is limited data on impact of PCVs in the Asia-Pacific region and even fewer data with long-term follow up.
Mongolia is a lower-middle income country in Asia with an approximate population of 3.4 million people. Mongolia has a high number of risk factors for respiratory and pneumococcal disease prompting the Government of Mongolia to introduce the 13-valent PCV (PCV13) into the national immunisation program from 2016 in a phased manner. To assess the impact of PCV13 introduction the Government of Mongolia established a collaboration with the World Health Organization (WHO) and the Murdoch Children’s Research Institute (MCRI). Together with the National Center of Communicable Diseases, and hospital and family health centre staff, the group led a large body of work spanning nearly a decade. The evaluation of vaccine introduction included an enhanced hospital-based pneumonia surveillance program and three community carriage surveys.

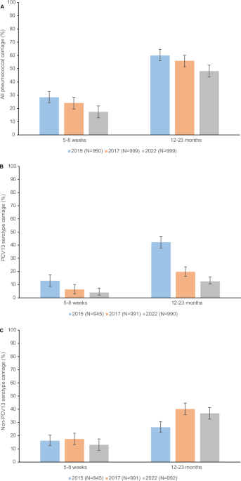
The hospital surveillance demonstrated a positive effect of PCV13 on severe pneumonia hospitalisations, especially in districts with a catch-up campaign at time of introduction (https://doi.org/10.3201/eid3003.230864). The first two community carriage surveys, which compared the pre-PCV13 (2015) period to one-year post-PCV13 introduction (2017), found a 50% reduction in PCV13 serotype carriage in infants and toddlers, with evidence of serotype replacement (increase non-PCV13 serotypes) in toddlers (https://doi.org/10.1016/j.vaccine.2019.05.078). In this current paper (https://doi.org/10.1038/s41467-024-50944-3), we analysed the impact of PCV13 in Mongolia six-years post-PCV introduction, adding to very limited data on the long-term vaccine impact from the region.
Some of the major findings in our study include:
- A reduction in all pneumococcal carriage prevalence in both infants and toddlers in 2022, compared to the pre-PCV13 (2015) survey.
- A fluctuation in the prevalence of individual PCV13 and non-PCV13 serotypes across the three survey years, and variation by age group.
- Serotype 19F remained the most prevalent serotype across all three years for infants.
- In toddlers aged 12–23-months serotype 6A was replaced by 19F post-PCV introduction as the most prevalent serotype.
- Non-encapsulated lineage NT2 was the most prevalent non-PCV13 serotype overall in both age groups in 2015. This was replaced by 15A as most prevalent in both age groups in 2022.
- A higher pneumococcal carriage density for all pneumococci (both vaccine and non-vaccine serotypes) in the post-PCV13 survey compared with the pre-PCV13 period for both age groups.
- In our final survey, there was a reduction in antimicrobial resistance (AMR) genes in the toddler age group.
- From the 1045 samples tested, we identified a total of 76 Global Pneumococcal Sequence Clusters (GPSCs).

Community carriage studies such as this require active participation from the community in which they are taking place. This is exemplified in the design of this program, which recruited children seeking treatment at local family health care clinics in the subdistrict where they lived. Mongolia has a structured public healthcare system with family health centres providing primary health care at subdistrict level. Doctors and nurses at family health centres track the health of key population groups, including pregnant women, infants, children and the elderly. Doctors and nurses identified infants and toddlers eligible for the study. Family health centres were randomly chosen for the study to reflect subdistrict housing type. By recruiting children seeking health care across several subdistricts we were able to capture a reliable subset of the urban population representing areas containing multiple dwelling types and accounting for differing health seeking behaviours in the community.
The collaboration between Mongolian and Australian researchers has delivered evidence of impactful change for the health of children in Mongolia. This study has provided evidence of substantial impact of PCV on pneumococcal carriage up to six years following implementation of PCV13 in Mongolia. The reduction in PCV13 serotype carriage in Mongolia will likely translate to reduced pneumococcal disease in the population. We also identified the persistence of some vaccine serotypes and identified emerging replacement serotypes. Findings such as these highlight the need for ongoing carriage surveillance studies, particularly in the absence of invasive pneumococcal disease surveillance. This study together with the results of the hospital surveillance program has resulted in PCV been included in the Immunization Law of Mongolia.
Data such as these may be used to inform vaccination strategies, particularly as new PCV formulations continue to enter the market. Continued re-evaluation of vaccination programs taking into consideration carriage data such as these is vital to improving paediatric health outcomes globally, particularly given the global morbidity and mortality rates for invasive pneumococcal diseases such as pneumonia.
Follow the Topic
-
Nature Communications
An open access, multidisciplinary journal dedicated to publishing high-quality research in all areas of the biological, health, physical, chemical and Earth sciences.
Related Collections
With Collections, you can get published faster and increase your visibility.
Women's Health
Publishing Model: Hybrid
Deadline: Ongoing
Advances in neurodegenerative diseases
Publishing Model: Hybrid
Deadline: Mar 24, 2026
Please sign in or register for FREE
If you are a registered user on Research Communities by Springer Nature, please sign in