Symptoms and respiratory infections: Insights from the UK 2022/2023 winter season

Our recent study highlights the complex relationship between test positivity for respiratory infections, self-reported symptoms, and age.

Published in Public Health and Statistics

Symptoms and respiratory infections: Insights from the UK 2022/2023 winter season
Like

Share this post

Choose a social network to share with, or copy the URL to share elsewhere

This is a representation of how your post may appear on social media. The actual post will vary between social networks

Explore the Research

SpringerLink
SpringerLink SpringerLink

SARS-CoV-2, influenza A/B and respiratory syncytial virus positivity and association with influenza-like illness and self-reported symptoms, over the 2022/23 winter season in the UK: a longitudinal surveillance cohort - BMC Medicine

Background Syndromic surveillance often relies on patients presenting to healthcare. Community cohorts, although more challenging to recruit, could provide additional population-wide insights, particularly with SARS-CoV-2 co-circulating with other respiratory viruses. Methods We estimated the positivity and incidence of SARS-CoV-2, influenza A/B, and RSV, and trends in self-reported symptoms including influenza-like illness (ILI), over the 2022/23 winter season in a broadly representative UK community cohort (COVID-19 Infection Survey), using negative-binomial generalised additive models. We estimated associations between test positivity and each of the symptoms and influenza vaccination, using adjusted logistic and multinomial models. Results Swabs taken at 32,937/1,352,979 (2.4%) assessments tested positive for SARS-CoV-2, 181/14,939 (1.2%) for RSV and 130/14,939 (0.9%) for influenza A/B, varying by age over time. Positivity and incidence peaks were earliest for RSV, then influenza A/B, then SARS-CoV-2, and were highest for RSV in the youngest and for SARS-CoV-2 in the oldest age groups. Many test positives did not report key symptoms: middle-aged participants were generally more symptomatic than older or younger participants, but still, only ~ 25% reported ILI-WHO and ~ 60% ILI-ECDC. Most symptomatic participants did not test positive for any of the three viruses. Influenza A/B-positivity was lower in participants reporting influenza vaccination in the current and previous seasons (odds ratio = 0.55 (95% CI 0.32, 0.95)) versus neither season. Conclusions Symptom profiles varied little by aetiology, making distinguishing SARS-CoV-2, influenza and RSV using symptoms challenging. Most symptoms were not explained by these viruses, indicating the importance of other pathogens in syndromic surveillance. Influenza vaccination was associated with lower rates of community influenza test positivity.

Ever wondered about the likelihood of having the flu if you’ve got a fever? Or how your age influences the symptoms you experience if ill with RSV? And can we distinguish SARS-CoV-2 from other respiratory infections based on which symptoms people report? These are some of the questions our recent research study explored. In this blog post, I’ll explain the motivation behind our study and highlight our key findings. 

What was our study about?
Respiratory infections affect lots of people every winter, and cause symptoms such as sneezing or fever. Often, these symptoms are mild, but such infections can also lead to more serious illness. Understanding how many people are getting different respiratory infections over time, and what symptoms they experience, is important to accurate diagnosis and effective treatment in the NHS. Getting more knowledge about these infections can also aid healthcare preparedness and inform vaccination policies.

Influenza A/B (flu) and respiratory syncytial virus (RSV) are two common causes of respiratory infection. Since the start of the COVID-19 pandemic, SARS-CoV-2 has also been co-circulating with these viruses. Our recent study investigated these three respiratory infections in the UK during the 2022-2023 winter season, along with self-reported symptoms. This study was based on a large household survey, the Office of National Statistics COVID-19 Infection Survey. Around 750 participants in the survey were randomly selected each week to have their nose and throat swabs PCR-tested for flu, RSV, and SARS-CoV-2. Our research study analysed this data using a range of statistical methods, including generalised additive models, which is a type of regression model.

What were the main findings?
Our study found that differentiating between flu, RSV, and SARS-CoV-2 based on symptoms alone may prove difficult. Symptom profiles were largely similar across the three viruses, with middle-aged participants being more likely to report symptoms than other age groups. Cough, sore throat, sneezing, and fatigue were amongst the most common symptoms for all three infections.

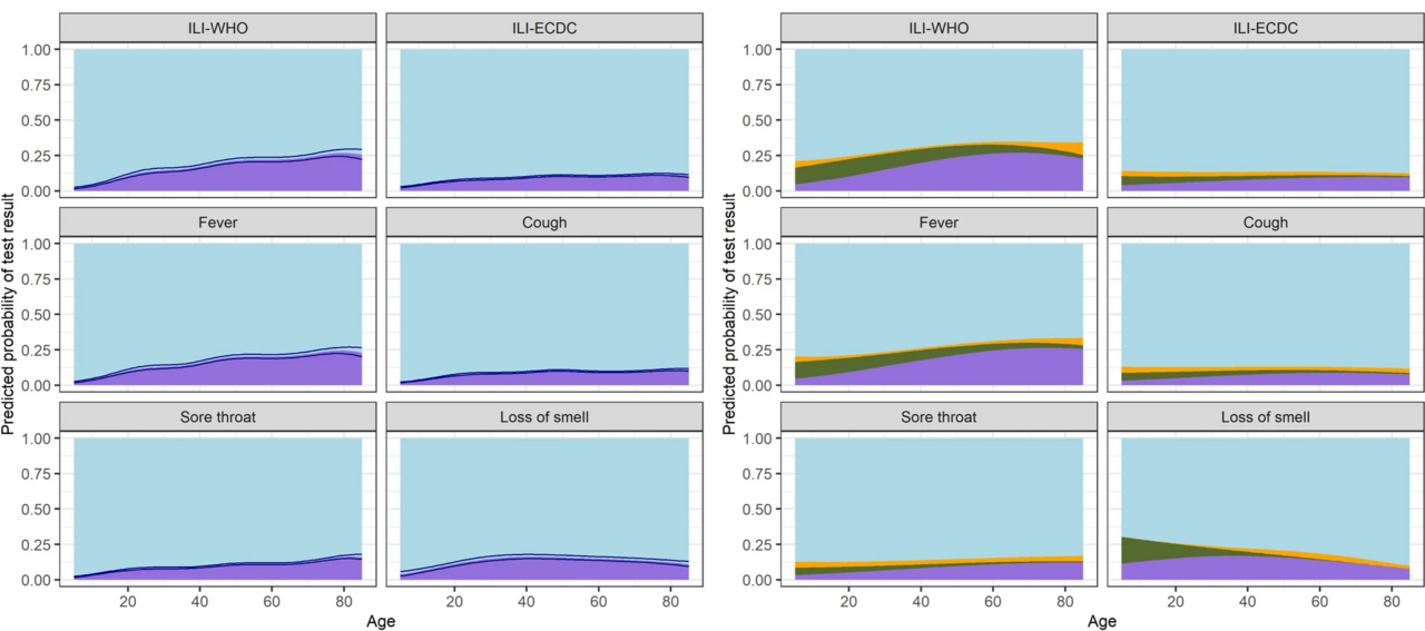
We did however see some differences between the three infections. For instance, RSV-positive people in our study generally reported fewer symptoms than those who tested positive for SARS-CoV-2 or the flu. In particular, fever was relatively uncommon amongst those with RSV. Importantly, we also observed considerable background rates of several symptoms, especially cough in young children, and fatigue and headache in middle-aged participants.

SARS-CoV-2 positivity was notably higher in adults than children, and RSV was more common in children below school year 12 than in older participants. Flu was also less common in participants aged 50 years and above than in younger age groups.  By estimating incidence over time using a technique called Richardson-Lucy deconvolution, we found that flu peaks occurred earlier in children than older adults, with a delay of around 2 weeks.

Many of the symptoms reported by people in the survey could not be explained by either of the three viruses we studied, highlighting the role of other infections such as the common cold. Fever was the symptom with the highest percentage of test-positive participants. The likelihood of testing positive for either of the three viruses generally increased by age across symptoms. However, even in older individuals reporting influenza-like-illness as defined by the WHO, only around ~30% had a positive test result for either SARS-CoV-2, the flu, or RSV. We also found that reporting flu vaccination in the past two winter seasons was associated with a lower likelihood of testing positive for flu in the current season.

What are the implications?
Given our findings, further research is needed on the role of other infections such as rhinovirus in causing respiratory symptoms. Future studies would benefit from having more specific data about the onset timing of symptoms and infections. However, our study emphasises the value of community-level data to understanding trends in respiratory infections and symptoms in people outside healthcare settings. Our study also raises important questions about the role of age in infection susceptibility, illness natural history, symptom reporting behaviour, and vulnerability to other symptom-inducing conditions. These questions provide promising avenues for future research, and highlight important considerations to the NHS and public health more broadly.

Please sign in or register for FREE

If you are a registered user on Research Communities by Springer Nature, please sign in

Follow the Topic

Public Health
Life Sciences > Health Sciences > Public Health
Biostatistics
Mathematics and Computing > Statistics > Applied Statistics > Biostatistics
  • BMC Medicine BMC Medicine

    This journal publishes outstanding and influential research in all areas of clinical practice, translational medicine, medical and health advances, public health, global health, policy, and general topics of interest to the biomedical and sociomedical professional communities.

Related Collections

With Collections, you can get published faster and increase your visibility.

Healthy aging and longevity: the role of preventive medicine and risk factors

BMC Medicine is calling for submissions to our Collection on healthy aging and longevity, emphasizing the interplay between physical, cognitive, and social functioning that enables an average lifespan under ideal conditions. As populations age globally, the research focus has shifted from increasing lifespan to enhancing “healthspan”—the period of life spent in good health. This Collection seeks to explore innovative approaches and cutting-edge research in areas such as healthy aging, preventative medicine, and the role of risk factors in promoting longevity. With a focus on mitigating modifiable risk factors with dietary and lifestyle interventions or personalized care, and on tackling genetic predisposition with a proactive, preventive approach, this Collection will aim to expand our knowledge of key determinants of the quality of life for older adults.

Recent findings highlight the complexity of the relationships between genetics, lifestyle choices, and environmental factors from early life to later influencing health outcomes. By addressing these complex interactions with interventions targeting nutrition, physical activity, risk stratification, and treatment for chronic diseases throughout the lifespan, we can create effective strategies to enhance the quality of life as people age and mitigating the effects of multimorbidity and frailty among older adults.

A preventive, life course approach to health and longevity research is highly relevant to public health as it addresses the root causes of diseases and promotes overall well-being from early life through old age. By focusing on prevention and early intervention, it aims to reduce the incidence of chronic diseases, improve quality of life, and extend healthy life expectancy. Moreover, investing in preventive measures such as healthy lifestyle promotion, early screenings, and immunizations reduces healthcare costs in the long term by reducing the need for expensive treatments and hospitalizations.

Health inequities in aging women's care pose an additional challenge to the public health management of aging, as women often face inequities influenced by a combination of biological, social, and economic factors. Gender biases in healthcare practice and medical research often result in women receiving less effective treatments and having their symptoms dismissed or underestimated. Women of color and those from lower-income households are particularly vulnerable to these disparities. Addressing these inequities requires a multifaceted approach, including improving access to preventative healthcare and addressing social determinants of health.

Continued research in health and longevity may pave the way for transformative breakthroughs in public health policies, aging-related therapies and innovative interventions. As our understanding deepens, we must develop more personalized approaches to health management, improve the resilience of aging populations, and ultimately reshape how we view aging in society.

Topics of interest include but are not limited to:

-Healthy aging and lifestyle interventions

-Preventative medicine and early intervention approaches

-Multidisciplinary approaches to longevity

-Nutrition and physical activity in healthspan

-Modifiable risk factors and risk stratification for cardiovascular and neurological disease in older adults

-Women’s health aging, including research on menopause and ovarian function

All manuscripts submitted to this journal, including those submitted to collections and special issues, are assessed in line with our editorial policies and the journal’s peer review process. Reviewers and editors are required to declare competing interests and can be excluded from the peer review process if a competing interest exists.

This Collection supports and amplifies research related to SDG 3 (Good Health and Well-being).

Publishing Model: Open Access

Deadline: Jan 29, 2026

Climate change and human health

BMC Medicine is calling for submissions to our new Collection on the health impacts of climate change. The relationship between global warming and human health is increasingly becoming a focal point in public health research. Rising temperatures, shifting weather patterns, and extreme weather events are projected to have profound effects on various health outcomes. From increased prevalence of vector-borne diseases to heightened risks of heat-related illnesses, the health implications of climate change are vast and multifaceted. This Collection aims to explore the direct and indirect impacts of global warming on health, examining how these changes affect vulnerable populations and health systems worldwide.

Understanding the implications of global warming for human health is crucial for developing effective public health strategies and interventions. Recent research has highlighted the links between climate change and a variety of health issues, including air pollution, water-borne diseases, and undernutrition. Advances in climate modeling and epidemiological studies have enhanced our ability to predict health outcomes related to climate change, providing invaluable insights that can inform policy decisions and health care planning.

Continued research in this area may lead to innovative solutions to mitigate the health impacts of climate change. For example, interdisciplinary approaches that integrate climate science, public health, and social determinants of health could reveal new pathways for adaptation and resilience. Future studies may also focus on the development of health infrastructure designed to withstand climate-related stresses, thus improving community health outcomes in an era of global warming.

We are considering manuscripts on, but not limited to the following topics:

-Impact of air pollution on health

-Heat-related illnesses

-Water-, and vector-borne diseases in a warming world

-Social determinants of health and climate vulnerability

-How health systems and infrastructure may be affected by climate change

-Nutrition and health in the context of climate change

-Impacts of climate change on non-communicable diseases

All manuscripts submitted to this journal, including those submitted to collections and special issues, are assessed in line with our editorial policies and the journal’s peer review process. Reviewers and editors are required to declare competing interests and can be excluded from the peer review process if a competing interest exists.

This Collection supports and amplifies research related to SDG 3 (Good Health and Well-being) and SDG 13 (Climate Action).

Publishing Model: Open Access

Deadline: Mar 02, 2026