Unconventional Superconductivity in a Mineral Miassite, Rh17S15

In a surprising discovery, unconventional line-nodal superconductivity has been identified in a naturally occurring mineral compound miassite, R17S15, proving that there is nothing inherently "unnatural" about "unconventional" superconductivity.
Unconventional Superconductivity in a Mineral Miassite, Rh17S15
Like

Share this post

Choose a social network to share with, or copy the URL to share elsewhere

This is a representation of how your post may appear on social media. The actual post will vary between social networks

Advances in solid-state chemistry have led to the synthesis of many materials with properties not found in nature but potentially useful in practical applications. A prominent example is high-temperature superconductivity found in synthetic cuprate ceramic materials with superconducting transition temperature, Tc, currently up to 133 K, far exceeding the boiling point of liquid nitrogen, 77.4 K =  -195.8 °C = -320.4 °F, which makes them technologically important since nitrogen is an abundant (78% of air) renewable resource. This discovery was awarded a Nobel Prize in 1987. Detailed studies of these high-Tc superconductors soon revealed that their properties do not fit the established model of superconductivity. In other words, they are impossible under this “conventional” paradigm and were hence termed “unconventional.”  Forty years since their discovery, the microscopic physical mechanism behind their unusual properties (and very high Tc) is still not understood despite an immense body of studies yielding a great deal of knowledge about these materials.  There are many other synthetic unconventional superconductors, such as the heavy-fermions (CeCoIn5, UPt3, Ube13, UTe2, etc.) and more recently discovered iron-based superconductors (e.g., based on BaFe2As2, NdFeAsO, FeSe, etc.). There are several thousands of superconducting materials, and by some counts, roughly one-third are unconventional. An important observation is that none of the unconventional superconducting materials or related phases are found in nature (so far).

 Our discovery of unconventional superconductivity in a mineral compound changes this perception and makes us think of the “natural” reasons behind it.

 Twenty-seven chemical elements in the Periodic Table are superconductors at low temperatures and atmospheric pressure.  Since they are all metals that readily react with other elements in Earth’s crust, waters, and atmosphere, it is rare to find pure superconducting elements in nature. Notably, noble metals, such as gold, which can be found in pure form, are not superconducting. And even then, all elemental superconductors are conventional. Multi-element superconducting compounds are even rarer in nature. Only the mineral covellite, CuS, shows superconductivity in samples that occur naturally, a discovery that happened many decades after superconductivity was first detected in laboratory-grown CuS crystals. We know only three other minerals where synthetic analogs are superconductors, namely, parkerite (Ni3Bi2S2), palladseite (Pd17Se15), and miassite (Rh17S15). They all were believed to be conventional.  However, miassite, the subject of our study, turns out to be unconventional, which makes it of particular importance and interest.

 The mineral miassite, initially believed to have Rh9S8 composition, was first synthesized in the 1930s, but superconductivity in polycrystals was reported only in 1954. The stoichiometry was refined to Rh17S15 in the early 1960s. This compound has a large unit cell, approximately  1×1×1 nm3, with a complicated structure consisting of two formula units.  A mineral with the same composition was discovered significantly later ( reported only in 2001) in the placers of the Miass River in the Ural Mountains in Russia, from which its name is derived. Natural miassite is found in isoferroplatinum deposits as small rounded inclusions up to 0.1 mm in diameter. As is often the case, natural mineral contains a large amount of impurities, such as iron, nickel, platinum, and copper, at a level of a few atomic percent. This makes studying its intrinsic physical properties difficult, if not impossible; hence, a pure synthetic compound is used.  Figure 1(a) shows one of our lab-grown single crystals of miassite.

 The superconducting properties of miassite display several remarkable features, all pointing to its unconventional nature. Superconductivity is a purely quantum phenomenon. It is achieved when normal electrons pair up into so-called Cooper pairs, forming a superconducting condensate that moves through a crystal lattice without friction and dissipation. In addition to temperature, superconductivity can be destroyed by a magnetic field when it exceeds the so-called upper critical field, Hc2. There are two mechanisms of how it happens. One is due to the precession of Cooper pairs in a magnetic field. When the pair’s Larmor radius, inversely proportional to the magnetic field, becomes comparable to the coherence length, which is the measure of condensate rigidity, the pair breaks up, and the condensate is destroyed. Due to the motion of electrons involved, this mechanism is called orbital upper critical field. The second mechanism is because electron spins in a Cooper pair are anti-parallel. The magnetic field forces all spins to align along its direction via Zeeman interaction. At some critical value, the magnetic field flips one of the spins, and Cooper pairs break up. This is called the Pauli paramagnetic limit.  In most superconductors, the latter is much greater than the former.

Miassite, however, shows anomalously high Hc2, exceeding 20 T at a temperature extrapolated to zero. (For comparison, Earth’s magnetic field is only about 5x10-5 T and a magnetic field on the surface of a typical strong bar magnet is approximately 2 T). Such high Hc2 is almost two times larger than the Pauli paramagnetic limiting field of about 10 T. So far, no explanation of this observation exists. Other properties, such as large heat capacity jump at Tc, significantly exceeding the predictions of the conventional theory, non-exponential low-temperature variation of heat capacity, and of the nuclear magnetic resonance characteristic time, 1/T1, are incompatible with a conventional superconductor whose Fermi surface is fully gapped.

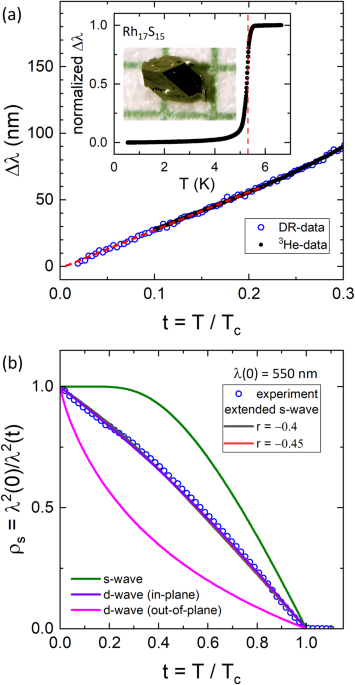
 These unusual experimental observations motivated us to study the nature of the superconducting pairing state of Rh17S15 using methods specifically developed for this purpose. Our discovery is based on the measurements of the temperature-dependent London penetration depth and studying the response to a non-magnetic disorder. The London penetration depth is the measure of how far a weak magnetic field (10 million times less than Hc2) penetrates the superconductor interior from the surface. This quantity’s temperature variation is sensitive to how Cooper pairs behave collectively. In conventional superconductors, the London penetration depth is exponentially attenuated when cooling below approximately Tc/3. In stark contrast, it is a T-linear function in unconventional superconductors with line nodes in its order parameter. Figure 1 (b) illustrates these two very different scenarios. We measured the London penetration depth in a dilution refrigerator, a special cryostat reaching 50 mK (~Tc/100), and found a clean linear temperature variation. We have also measured the same crystal in a different apparatus to verify the observations. Figure 1 (b) shows two completely overlapping traces (blue and orange), confirming the reproducibility of our results.

(a) the crystal of miassite; (b) linear temperature variation of London penetration depth; (c) nodal superconducting order parameter.
Figure 1. (a) miassite, Rh17S15, single crystal; (b) linear temperature variation of the London penetration depth comparing it to the expectation of the conventional theory; (c) proposed unconventional superconducting order parameter preserving cubic symmetry and having circular line nodes where superconducting gap vanishes. Note that blue and red regions have different signs of the order parameter.

Another independent probe of unconventional superconductivity is its response to non-magnetic disorder.  In conventional superconductors, the transition temperature is practically independent of this type of disorder, and any dependence is due to anisotropy of the superconducting state. However, in the case of a nodal superconductor, Tc is drastically suppressed. The upper critical field is also suppressed, which is only expected in nodal superconductors. Non-magnetic point-like defects in the crystal lattice were introduced by bombarding the sample with 2.5 MeV relativistic electrons. These energetic particles knock out ions of their positions, creating vacancies and interstitials. We observed a significant reduction in the transition temperature at the rate only possible if the order parameter has line nodes.

 We concluded that miassite has an unconventional order parameter with line nodes, similar to high-Tc cuprates. Due to the difference in dimensionality (3D vs. 2D), the nodal structure of miassite is consistent with an extended s-wave state with circular line nodes, which also preserves the cubic symmetry of the crystal. The proposed variation of the superconducting order parameter is shown in Figure 1 (c). Note that red and blue regions have different signs and are separated by (black) circular line nodes where the order parameter is zero.  

 Gap nodes are a hallmark of unconventional superconductivity, observed in high-Tc cuprates, some iron pnictides, heavy-fermions, organic superconductors, and possibly other classes of superconductors. All these materials are products of synthetic chemistry and are not found in nature. Our work establishes Rh17S15 as a unique member of unconventional superconductors, being the only example of a composition that occurs as a natural mineral.  Therefore, our discovery of unconventional superconductivity in Rh17S15 underscores that there is nothing inherently “unnatural” about “unconventional” superconductivity.

 The samples of miassite, Rh17S15, for this project were grown at the US DOE  Ames National Laboratory’s “Complex States, Emergent Phenomena & Superconductivity in Intermetallic & Metal-like compounds” research unit as part of a focused campaign to grow and explore compounds from refractory transition metal (Rh) and volatile element (S) pairs from transition metal-rich eutectics. As the chemical formula implies, this growth is highly challenging, and the conditions should be “just right.” Knowing how difficult this is highlights the importance of our work, which shows that nature is capable of producing some of the most exotic materials.

Please sign in or register for FREE

If you are a registered user on Research Communities by Springer Nature, please sign in

Follow the Topic

Superconductivity
Physical Sciences > Materials Science > Condensed Matter > Superconductivity
Superconductors
Physical Sciences > Physics and Astronomy > Condensed Matter Physics > Strongly Correlated Systems > Superconductors
Mineralogy
Physical Sciences > Earth and Environmental Sciences > Earth Sciences > Mineralogy

Related Collections

With Collections, you can get published faster and increase your visibility.

Advanced characterizations of high-entropy materials

This Collection highlights original research papers focusing on developing and optimizing data collection and analyses techniques for advanced characterizations of high-entropy materials.

Publishing Model: Open Access

Deadline: Mar 31, 2026

Multifunctional hydrogels

This cross-journal Collection between Communications Materials, Nature Communications, and Scientific Reports brings together the latest advances in multifunctional hydrogels covering materials synthesis, analytical studies, and their demonstrations in biomedical, environmental, engineering, and natural sciences applications.

Publishing Model: Open Access

Deadline: Feb 28, 2026