What controls the carbon isotope value of plants? Settling a forty-year debate.

Do fossil plants record changes in carbon dioxide or water? Our new study aimed to settle this long-standing question among geoscientists.
What controls the carbon isotope value of plants? Settling a forty-year debate.
Like

Share this post

Choose a social network to share with, or copy the URL to share elsewhere

This is a representation of how your post may appear on social media. The actual post will vary between social networks

All plants carry out photosynthesis, combining CO2 and water in the presence of sunlight to form sugar and O2 as a waste product. This process, however, is inefficient, as the enzyme responsible for fixing carbon (Rubsico) also fixes O2 through an energy-wasting pathway called photorespiration. Increasing concentrations of CO2 (or decreasing concentrations of O2) in the atmosphere should therefore make plants more efficient, by reducing rates of photorespiration and increasing rates of carbon fixation. Although workers can genetically modify plants to minimize photorespiration and maximize carbon gain, photorespiration is inherent to carbon fixation and a conserved trait through the history of photosynthesis.

 Photosynthesis also imparts a unique carbon isotope signature on the resulting plant tissue. More than four decades ago, scientists published a model to explain the carbon isotopic composition of plants. Their model included a term to account for an effect of CO2 level on carbon isotope value, but suggested that this effect could be disregarded if the isotopic effect of photorespiration was small. At that time, evidence for substantial fractionation via changing CO2 level was lacking, and as a result, a generation of geoscientists ignored the effect of CO2 level when interpreting changes in the carbon isotope value of fossil plant tissue.

In 2012, Hope Jahren and I (now both at the University of Louisiana at Lafayette) published experimental results in which we grew the model plant, Arabidopsis thaliana, across the full range of CO2 levels estimated for the Phanerozoic, while maintaining all other growth variables constant. The purpose of this work was to formally test if CO2 level affected carbon isotope fractionation, with the goal of using fossilized plant remains to interrogate the global carbon cycle in deep time. To both of our surprise, we identified a large change in plant carbon isotope value in response to a wide range of CO2 levels tested. When overlaid with previous results across smaller changes in CO2, we posited a unifying relationship between CO2 and carbon isotope composition of plants, with clear implications for determining past levels of CO2 in the atmosphere.

The carbon isotope value of fossil leaves can be used to determine past levels of CO2 in the atmosphere.

However, some discounted our work, suggesting plants adapt to changing CO2 on evolutionary timescales, or that the effect we observed in our experiments is limited to the specific laboratory conditions or species tested. We therefore set out to test the effect of changing CO2 on the carbon isotope value of fossil plant remains within the geologic record by first studying an interval of known and well-documented CO2 change. In 2015, we reported a previously unrecognized, global change in the carbon isotope composition of fossil plant tissue that corresponded with a known ~80 ppm rise in CO2 from the Late Glacial to preindustrial levels evident within air bubbles in glacial ice. This shift exactly matched that predicted by our controlled growth chamber experiments, and thus confirmed the carbon isotope value of fossil plants as an accurate recorder of past levels of atmospheric CO2.

However, because water availability also affects plant carbon isotope values, some cautioned against broad application of plant carbon isotopes to quantify past CO2. In 2018, using experimental data and modeling, we predicted that the effect of CO2 and water availability on carbon isotope values are independent of each other, i.e., the CO2 effect on carbon isotope values should be the same for both wet and dry environments.

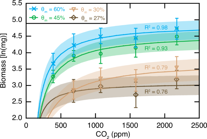
 Now, in what are our most ambitious and well-controlled experiments yet, we provide the first experimental data on the effects of both CO2 and water on carbon isotope composition in plants, allowing us to quantitatively interrogate and separate these two effects. In this work, published this month in Communications Earth and Environment, we grew 164 Arabidopsis thaliana plants in controlled laboratory conditions and measured the effects of both CO2 and water availability on plant carbon isotope value through simultaneous modulation of both CO2 concentration and soil moisture content. These experiments confirm that both CO2 and soil moisture affect plant carbon isotope composition, but as predicted, are quantitatively independent of each other, i.e. the soil moisture effect is not influenced by the CO2 level and vice versa.

 Furthermore, these new experiments resolve any remaining concern that the effect of CO2 on carbon isotope composition is limited to plants growing in only wet environments, and explain why fossil plants have been shown to be reliable for estimating CO2 levels in the past, regardless of environment.

 This work also demonstrates the utility of controlled experiments for understanding deep-time processes. Satisfyingly, it does not require a novel relationship between carbon isotope composition and CO2 nor does it require a new, unresolved mechanism for mediating photorespiration across evolutionary timescales. Moreover, our data suggest that failure to account for changes in CO2 level when interpreting plant carbon isotope values may actually yield flawed or biased interpretations of changing water content, both in modern ecosystems and in the fossil record. Our future work aims to critically assess these common mistakes.

Ours were not the first experiments to try to quantify these effects, but were the first to do so successfully. Growing plants under well-controlled experimental conditions is not trivial – maintaining constant CO2 level and soil water content from seed to maturity, in addition to humidity, temperature, and the carbon isotope composition of the chamber air – had been a roadblock to identifying, measuring, and separating these fundamental effects within previous attempts. Decades of effort perfecting and learning from past mistakes, led by Bill Hagopian (University of Hawaii and University of Oslo), allowed for the manifestation of the unequivocal responses reported here.

Robert Graper (middle) designed and engineered the relative humidity feedback system, while Sherilyn Palafox (right) and Josh Bostic (left) standardized the watering protocols.
Our challenge moving forward is to include these additional complexities into our interpretations of global change using living and fossil plants. Inclusion of the effect of CO2 level when interpreting plant carbon isotope trends spanning intervals of global change provide an opportunity to unlock important information on the effects of changing atmospheric CO2 on drought, past and present.

Please sign in or register for FREE

If you are a registered user on Research Communities by Springer Nature, please sign in

Follow the Topic

Earth Sciences
Physical Sciences > Earth and Environmental Sciences > Earth Sciences
Plant Science
Life Sciences > Biological Sciences > Plant Science
Plant Stress Responses
Life Sciences > Biological Sciences > Plant Science > Plant Stress Responses
Plant Physiology
Life Sciences > Biological Sciences > Plant Science > Plant Physiology
Carbon Cycle
Physical Sciences > Earth and Environmental Sciences > Earth Sciences > Biogeosciences > Biogeochemistry > Carbon Cycle
Carbon Cycle
Physical Sciences > Earth and Environmental Sciences > Earth Sciences > Geochemistry > Biogeochemistry > Carbon Cycle

Related Collections

With Collections, you can get published faster and increase your visibility.

Geology of the Moon

This collection focuses on the Geology of our Moon and new insights we gain from remote sensing data, meteorites and returned samples, and modeling efforts.

Publishing Model: Hybrid

Deadline: Jan 31, 2026

Archaeology & Environment

​In this cross-journal Collection, we invite research that provides insight into the interactions between humans and our environment throughout our evolutionary history.​​

Publishing Model: Hybrid

Deadline: Mar 31, 2026