Where is the missing felsic crust of the Greater Indian continent?
Published in Earth & Environment

Summer in the Tibet Plateau, which shows the Himalayas ranges’ prominent peaks. Credit: Yang Wang.
The India-Eurasian collision zone is the largest active continental orogenic system in the world creating our planet’s highest mountains and largest plateau, and it is a natural laboratory also for studying the dynamics of continental collision and the "landing" of plate tectonics. Generally, most, if not all, of the felsic crustal mass will be preserved in continental collision zones due to their low density, however, recent research revealed a loss of ~50% of the pre-collisional crustal mass between India and Asia. The whereabouts of the missing felsic crust of the Greater Indian continent is a contentious issue. Another puzzling issue is about the driving force for the unusually fast and long-lasting convergence of the Indian-Asian continental collision.
To explore the long-duration fast convergence, and imbalance of crustal mass in the India-Asia collisional system, our team combined the thermodynamic phase transition and induced density evolution, petrological-thermo-mechanical numerical modelling, as well as an analytical model to study the driving force of continental deep subduction and the fate of continental crust in the subduction zone.
We first evaluate the mass deficit of felsic crust in the Greater Indian Continent (GIC). By considering crustal thickening, surface erosion, and tectonic escape, our results reveal the missing GIC felsic crust of 1.36×107 km3 to 5.04×107 km3, or ~20% to 47% of the pre-collisional continental upper/middle crust, based on different reconstructions of GIC. It may imply that a significant amount of Greater Indian felsic crust was subducted and recycled into the mantle.
The density of continental crust plays an essential role in controlling the continental deep subduction or not. Thus, we compute the phase relations and densities for the subducted continental upper, middle, and lower crust in the pressure-temperature range of 0–24 GPa and 0–1800 ºC. The density of felsic crust lies in the range of ~2420–4380 kg/m3 and undergoes four major density jumps (Fig. 1). Especially when metamorphic pressure is higher than 7–8 GPa, the continental upper crust becomes approximately 400 kg/m3 denser than the surrounding mantle induced by the phase transition from coesite to stishovite. Naturally, we further thought that such a high negative buoyancy of felsic crust should provide a large driving force for continental subduction.

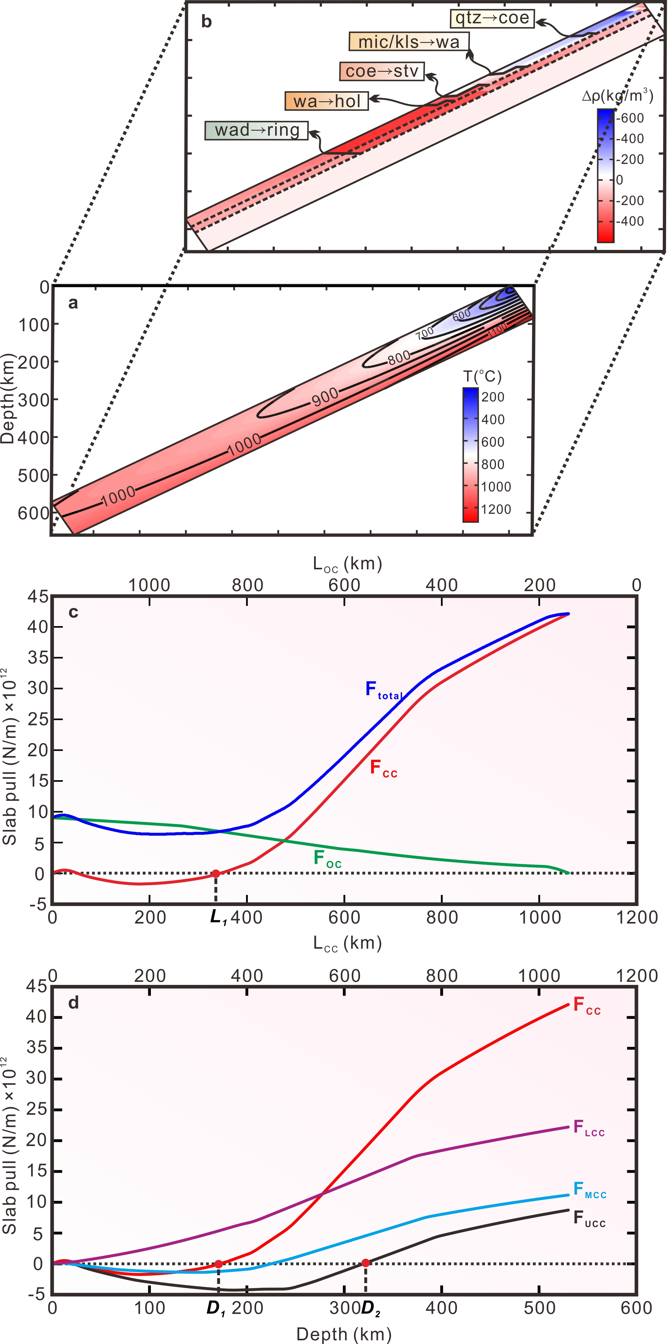
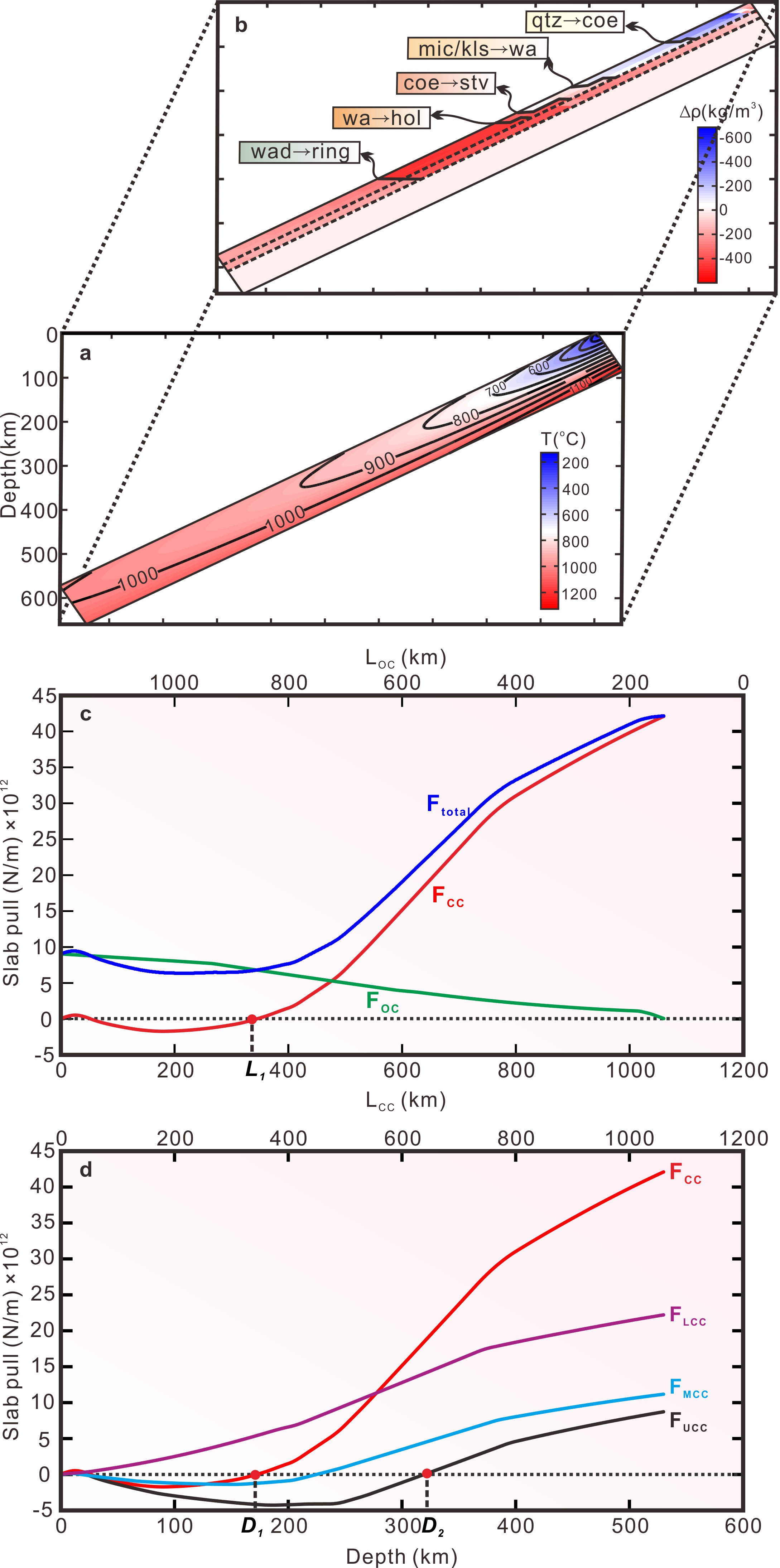
Fig. 1 The three-dimensional density evolution of the subducted continental upper crust. Credit: Wang et al. [2022].
To quantitatively evaluate the influence of metamorphic densification on the driving force of the continental slab, we coupled the phase transition-induced density evolution with the typical thermal structure of subduction zones (Fig. 2b) and reevaluate the slab pull of subducted slab above 660-km discontinuity from oceanic subduction to continental collision. Excitingly our results showed the maximum slab pull of subducted continental crust is about 4.0×1013 N/m, which is about four times that of oceanic crust (1.0×1013 N/m) (Fig. 2c). For the Indian-Asian collision system, if ~20% to 47% of the pre-collisional felsic crust is recycled into the mantle, i.e. the possible case for GIC, the slab pull of subducted GIC ranges from ~2.93×1013 N/m to ~3.38×1013 N/m which is high enough to drive continuous and fast subduction. Besides, we found that the subduction of buoyant continental crust into the mantle levels must be assisted by the drag of the high-density oceanic slab at the beginning of continental collision. However, when the subducted continental slab reaches a critical depth of approximately 170 km (D1 in Fig. 2d), it is negatively buoyant after the major phase transitions. Accordingly, if the break-off of the subducted slab occurs below 170 km, the negative buoyancy of the entire continental crust can still drive the continuous continental subduction. In contrast, a slab break-off at a shallower depth would impede further subduction of the continental slab.

Fig.2 The density variation and slab pull of continental crust with metamorphic densification. Credit: Wang et al. [2022]
In order to better understand the role of phase transition-induced density evolution on the dynamics of continental subduction, we further integrated the density database into a thermo-mechanical numerical model. In the model without consideration of metamorphic densification, the accumulated buoyancy of subducted continental crust resists and finally terminates the subduction process, with the oceanic slab break-off occurring at the end (Fig. 3c, d). However, the model results with phase transition showed the continuous deep subduction of the continental slab with high convergence velocity induced by metamorphic densification (Fig. 3e, f, g). Besides, during collision, a large portion of the felsic crust is gradually scraped off and enters the orogenic system of the Himalaya fold-thrust belt. Meanwhile, a certain amount of continental upper and middle crust subducts with the sinking slab and is recycled into the deep mantle, and the cumulative recycled volume of the felsic crust is calculated to be ~26% of the initial felsic crust, which is consistent with our mass imbalance calculation (Fig. 3h).

Fig.3 The model results of continental subduction with and without metamorphic densification. Credit: Wang et al. [2022].
Overall, our findings demonstrate that the great slab-pull force, induced by the negative buoyancy of subducted felsic crust below 170 km, not only contributes to the long-lasting fast convergence between India and Asia, but also explains the felsic crustal mass imbalance during the Himalayan orogeny.
More details can be found in our article published in Communications Earth & Environment: visit https://www.nature.com/articles/s43247-022-00493-8. This study was supported by NSFC (91755206).
Article information:
Wang, Y., Zhang, L.F., Li, Z.H. (2022). Metamorphic densification can account for the missing felsic crust of the Greater Indian continent. Commun Earth Environ (2022)3:166, DOI: 10.1038/s43247-022-00493-8.
Follow the Topic
-
Communications Earth & Environment
An open access journal from Nature Portfolio that publishes high-quality research, reviews and commentary in the Earth, environmental and planetary sciences.
Related Collections
With Collections, you can get published faster and increase your visibility.
Climate extremes and water-food systems
Publishing Model: Open Access
Deadline: May 31, 2026
Archaeology & Environment
Publishing Model: Hybrid
Deadline: Mar 31, 2026
Please sign in or register for FREE
If you are a registered user on Research Communities by Springer Nature, please sign in