Decadal warming depletes topsoil nitrogen stocks in a Tibetan permafrost ecosystem

Published in Earth & Environment

Decadal warming depletes topsoil nitrogen stocks in a Tibetan permafrost ecosystem
Like

Share this post

Choose a social network to share with, or copy the URL to share elsewhere

This is a representation of how your post may appear on social media. The actual post will vary between social networks

Why do we care about long-term soil nitrogen dynamics in permafrost regions?

Permafrost soils, like their soil carbon (C) stocks, store a surprisingly large fraction of Earth’s soil nitrogen (N, 85–97 Pg N; 1 Pg = 1015 g). In recent decades, these cold regions have been warming at two to four times than the global average, making this vast C pool vulnerable to microbial decomposition and exacerbate climate warming. Under this background, my doctoral research focused on the responses of plant-mediated C and N cycling processes to warming based on a long-term warming experiment in a permafrost ecosystem on the Tibetan Plateau. The establishment of this experimental platform was led by Prof. Yuanhe Yang, our team’s principal investigator, shortly after he joined the Institute of Botany, Chinese Academy of Sciences (13 years ago). Based on this experimental platform, we previously observed that warming increased soil inorganic N content in soil extracts and soil net N mineralization (measured by core-ion exchange resin bags at) our study site in 2020, as both had remained constant until then. 

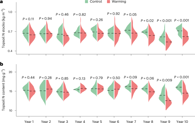
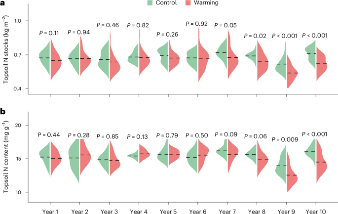
On the basis of this observation, we originally designed this study to examine the effects of warming on in-situ microbial N transformation processes and to explore whether warming alters the preferential plant uptake of different N forms. When I completed the experimental analyses and presented the preliminary results at group meeting, Prof. Yuanhe Yang observed that warmed plots experienced a decline in surface soil N stocks (0–10 cm) after eight years of warming. This immediately raised critical questions: when did the soil N stock begin to change, and what mechanisms drove this shift? These issues are deserved to be resolved since current literatures reported that the stability of this vital N stock response to short-term warming in permafrost ecosystems. Compared with those short-term experiments, our long-term warming experiment offered a unique opportunity to assess the response of soil N to prolonged warming. Based on this thinking, we shifted our attention to patterns and drivers of long-term soil N dynamics upon experimental warming in this permafrost ecosystem.

How did we explore long-term dynamics and drivers of soil nitrogen stocks?

To address these questions, I first conducted repeated measurements of soil N content and bulk density in the top 50 cm soil from 2014 to 2023. We found that there was no change in the topsoil N stock during the initial years of the experiment, the surface soil N stock decreased after eight years of warming. Furthermore, to explore the potential pathways behind warming-induced changes in soil N, we decided to conduct additional measurements of ecosystem N inputs and losses in the field. With the help of Wei Zhou, I measured in-situ biological N fixation using 15N-N2 as a tracer in 2023, and found that warming did not alter the rate of biological N fixation. It is well known that monitoring N losses from ecosystems is inherently challenging, especially N2O emissions. To address this, we purchased a LICOR 7820 system to detect ecosystem N2O fluxes in the field. Using this instrument, I monitored the ecosystem N losses through leaching and gaseous emissions as N2O during the growing season in collaboration with Zhihu Zheng, Chunbao Zhao, and observed that warming increased NO3--N leaching rate and growing season N2O fluxes. Based on two years of field observations and laboratory analyses, we concluded that the observed decline in soil N stocks could be largely attributed to increased N retention by perennial plant biomass, and increased N losses through leaching and gaseous emissions from soils. We then wrote the manuscript and submitted it to Nature Geoscience.

In situ measurement and laboratory experiments (Credit by Bin Wei)

During the review process, reviewers were curious about why soil N stocks declined after eight years of warming and whether this pattern was generalizable to other permafrost regions. To address the reviewers’ comments, we decided to conduct the N budget through integrating field-based evidence with the DeNitrification-DeComposition (DNDC) model. Additionally, to examine whether the warming-induced soil N dynamics at our study site could be applied to other permafrost regions, we tried to perform a meta-analysis by synthesizing data from long-term warming experiments (i.e., > 5 years) across the Arctic, subarctic and Tibetan alpine regions. Personally, it is a challenge for me to complete the DNDC model simulations and collected the relevant literature within a short period. Fortunately, by reviewing the literature and seeking help from others Luyao Huang and Dan Kou, I overcame these difficulties and completed the analyses. The DNDC model simulation revealed that continuous warming intensified soil N losses through cumulative increases in plant N uptake, N leaching and gaseous N losses from soils over the eight years of treatment. Additionally, our meta-analysis showed that soil N exhibited an overall decline under long-term warming across the global permafrost regions, and suggested that our findings could be applied to other permafrost-affected areas. Ultimately, we spent five months to thoroughly address the reviewers’ comments, and resubmitted the revised manuscript along with a 62-page response letter. The reviewers were satisfied with our efforts, and the paper was soon accepted.

The effects of decadal warming on soil nitrogen stocks in a permafrost ecosystem on the Tibetan Plateau (Image by Bin Wei)

What should we do for next step?

This study constitutes a central chapter of my doctoral dissertation, and I feel deeply grateful and excited to see it published as I am near the completion of my PhD. It represents not only an academic achievement but also a meaningful and fulfilling conclusion to my doctoral journey. At the same time, I look forward to continuing to build upon this warming experimental platform to pursue a series of future studies. Beyond exploring the longer-term responses of soil N to warming, I am also eager to track the long-term responses of vegetation- and microbe-mediated ecosystem C cycling processes to warming. In addition, I expect to validate the interesting phenomena observed in our controlled experiment at broader spatial and longer temporal scales through the combination of modeling simulation and data synthesis. These efforts would offer additional insights for better projecting permafrost C and N cycles under future climate change.

Please sign in or register for FREE

If you are a registered user on Research Communities by Springer Nature, please sign in

Follow the Topic

Earth Sciences
Physical Sciences > Earth and Environmental Sciences > Earth Sciences

Related Collections

With Collections, you can get published faster and increase your visibility.

Urban fires around the globe

This collection showcases studies that advance our understanding of the factors that lead to the occurrence of urban fires, of the impact of fires on human and natural systems within and around urban areas, and on monitoring and mitigation.

Publishing Model: Hybrid

Deadline: May 31, 2026

Atmospheric rivers

In this cross journal collection, we have assembled articles that further our understanding of the impacts and dynamics of atmospheric rivers. We invite complementary submissions that help understand these remarkable if often destructive events.

Publishing Model: Hybrid

Deadline: May 31, 2026