How Asymmetry in Perovskites Unlocks New Topological States for Light

Perovskites just got a topological upgrade! Our work reveals how symmetry breaking in anisotropic perovskite crystals creates exotic light states with unconventional diabolical points and nonzero Berry curvature paving the way for advanced topological photonics.

Published in Physics

Like

Share this post

Choose a social network to share with, or copy the URL to share elsewhere

This is a representation of how your post may appear on social media. The actual post will vary between social networks

Imagine a world where light could flow around defects like water around a rock, unscathed and unbothered. This dream drives topological photonics, where certain photonic structures can host light states that are immune to disorder, much like superconductors resist energy loss. Most topological designs, however, rely on perfectly isotropic structures, limiting their adaptability. In our recent paper (https://doi.org/10.1038/s41377-025-01852-8), we asked: What if anisotropy could be an asset, not a liability?  We explored anisotropic 2D perovskites, materials with direction-dependent properties, to create asymmetric topological states. By harnessing the natural anisotropy of 2D perovskites, materials where light interacts differently along different crystal directions, we discovered a new class of topological states for light that thrive on asymmetry. These states emerge at room temperature and could revolutionize future technologies like ultra-efficient lasers, photonic computing and quantum simulators.

Designing topological photonic systems typically involves some form of symmetry. But real-world materials are  like crumpled paper: full of uneven folds. Perovskites, a family of materials prized for solar cells and LEDs, are inherently anisotropic: their optical properties depend on the direction light travels. This anisotropy breaks the rules of conventional topological designs. Yet, paradoxically, it also introduces Rashba-Dresselhaus (RD) spin-orbit coupling, a phenomenon where the momentum and polarization of light become intertwined, effectively creating synthetic magnetic fields for photons. The challenge was to prove that these fields could stabilize topological states even in messy, real-world materials. We realized that by embracing asymmetry, we could engineer new states impossible in symmetric systems.

The breakthrough came when we observed interactions between photonic modes in our perovskite microcavity. In our system, the crystals are oriented asymmetrically and are not flat inside the cavity. The perovskite’s anisotropy combined with geometrical asymmetry do not destroy the interactions; instead, they enhance them by sculpting the energy landscape of photonic modes into diabolical points (DPs) (degeneracies where topological effects emerge) and by generating nonzero Berry curvature, a hallmark of topology. Not only that, but the position of the DPs can be controlled by varying the levels of geometrical asymmetry.

"When we saw the photonic modes interacting in a way that defied symmetric models, we realized anisotropy wasn’t a bug, it was a feature. The crystal’s anisotropy and cavity asymmetry were actually engineering new states for us!"

Imagine trying to build a maze where the walls change shape depending on which way you walk. Our team combined theoretical modeling (to predict states) and nanofabrication (to build microcavities with controlled anisotropy). The biggest surprise? Some states became more robust with asymmetry, like a rope that strengthens when frayed! We embedded self-assembled perovskite crystals in a microcavity. Like baking a layered cake, our solution-processing method let crystals tilt naturally, inducing RD coupling between adjacent photonic modes.

Picture a ballet where the dancers (photons) respond not just to the stage layout, but to invisible forces that change with every step. In our perovskite microcavity, light experiences precisely this: an effective magnetic field that twists its polarization like an unseen hand guiding a spinning top.

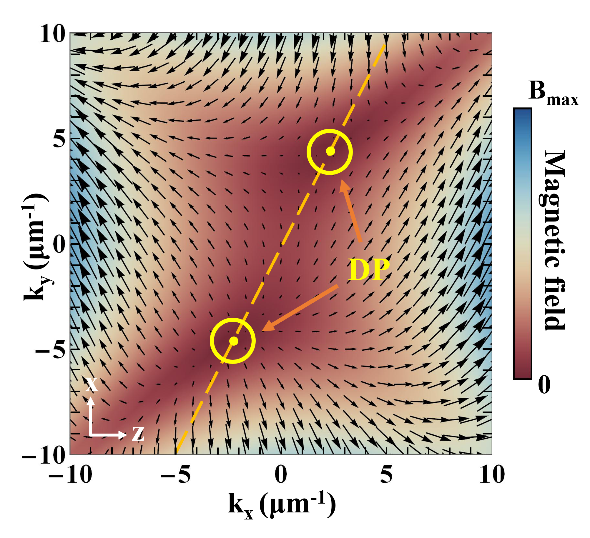
In conventional microcavities, light splits into two polarization states (TE and TM) with slightly different energies, a bit like dancers preferring clockwise or counterclockwise spins. This creates a baseline magnetic field tied to light’s momentum. Our perovskite adds a second force: Rashba-Dresselhaus coupling, where the crystal’s asymmetry makes light’s polarization and momentum lock arms and the light states to dance in pairs. This introduces a competing effective magnetic field acting on light’s pseudospin that forms DPs where it vanishes. If geometrical asymmetry is also present it defines the momentum position of the DPs acting like a coordinator that directs the dancers towards a certain direction.

"When these fields collide, magic happens: at certain momenta, they cancel out completely, creating ‘diabolical points’, singularities where topological effects emerge."

Figure 4a from our paper | The effective magnetic field (arrows) acting on light’s polarization, calculated for our perovskite microcavity. Diabolical points occur where the field vanishes.

Figure 4a from our paper | The effective magnetic field (arrows) acting on  light’s polarization, calculated for our perovskite microcavity. Diabolical points occur where the field vanishes.

Our work bridges three worlds: topological physics, condensed matter physics and practical photonics. Topological states enhance light with unidirectional and protected propagation and suppressed losses. Light-matter interaction in solid state materials and microcavities provides the means for controlling light’s properties, such as energy, momentum and polarization. Perovskites are cheap, easy to synthesize, and work at room temperature, unlike many quantum materials requiring extreme cold. The implications are broad:

  • Robust waveguides: Light paths immune to fabrication defects.
  • Spinoptronics: Polarization-controlled optical circuits.
  • Quantum simulators: Emulating exotic particles with polaritons.
  • Topological lasers: Lasers with reduced thresholds and losses

"The most exciting part? This is just the start. By tweaking the perovskite’s chemistry, we could design topological states on demand."

Our perovskite microcavities combine:
🔹 Topology: Robust light states for defect-resistant lasers.
🔹 Scalability: Cheap, solution-based fabrication.
🔹 Tunability: Rotate crystals to steer DPs

Next, we’re testing these states for photonic applications. Could they even enable topological switches or lasers? We’re excited to find out!

Please sign in or register for FREE

If you are a registered user on Research Communities by Springer Nature, please sign in