Intensification of the severity of compound extreme high temperature and drought/rain events under greenhouse warming

Published in Earth & Environment

Like

Share this post

Choose a social network to share with, or copy the URL to share elsewhere

This is a representation of how your post may appear on social media. The actual post will vary between social networks

In the context of global warming, a variety of extreme events have occurred frequently. In particular, compound extreme weather and climate events, which are multivariate extremes at multiple temporal and spatial scales have had more devastating impacts on humans and the natural environment than individual extreme events in many places. Since the beginning of 21st century, China, Europe, the United States, Australia and other places have experienced many severe compound extreme events and the frequency and intensity of compound high temperature and drought events have showed a significant upward trend. It is reported that 38.305 million people were affected by the compound extreme high temperature and drought event (CHTDE) in China during the summer of 2022. In addition, compound extreme high temperature and rain events (CHTRE), which can cause landslides and other geological disasters also have important effects on the environment. Therefore, attaching great importance to the change of compound extreme events is the key to preventing and mitigating natural disasters and ensuring economic development and human happiness.

Most of the present research focuses on the spatial and temporal distribution characteristics in intensity and frequency of compound extreme high temperature and drought events and their potential impacts on ecological environment. In recent years, human influence on compound extreme events has gradually attracted more attention. However, our understanding of compound extreme high temperature and drought/rain events is very limited, the mechanism of them is not clear, and little attention has been given to the study of the severity of compound extreme high temperature and drought/rain events based on reliable observations and numerical models at present. Moreover, the understanding of the changes in compound extreme high temperature and drought/rain events influenced by anthropogenic activities and natural forcings in different regions of China is still less than sufficient.

To solve the above outstanding questions, the present study uses a bivariate joint probability distribution between the total number of days and the maximum duration of compound extreme events and multimodel results of CMIP6 to study the changes and potential causes of the severity of compound extreme high temperature and drought/rain events in the summers from 1961 to 2014 over different subregions of China. The results indicate that the severity of compound extreme high temperature and drought events shows a significant increasing trend in most areas of China (Figure 1). In addition, the severity of compound extreme high temperature and rain events has increased in China, particularly in western China. We found that the increased water-holding capacity of the atmosphere and decreased relative humidity under global warming are important reasons for the increasing severity of compound extreme high temperature and drought events over China, especially in the Tibetan Plateau. For the intensified severity of compound extreme high temperature and rain events, the enhanced transient water vapor transport from the Bay of Bengal and enhanced transient convective available potential energy in western China intensified the severity of regional compound extreme high temperature and rain events under the interaction of transient dynamic lifting and transient water vapor convergence.

Figure 1 Linear trends of compound extreme high temperature and drought events index (CHTDEI) and compound extreme high temperature and rain events index (CHTREI). Observed linear trends of (a) CHTDEI and (b) CHTREI based on CN05.1 in the summers from 1961 to 2014 (units: decade-1) over China. The dotted area indicates that the linear trend is significant at the 95% confidence level. The five subregions of China are shown in (a), including Northwest China (NWC), the Tibetan Plateau (TP), Northeast China (NEC), Eastern China (EC) and the coastal region of South China (SC)

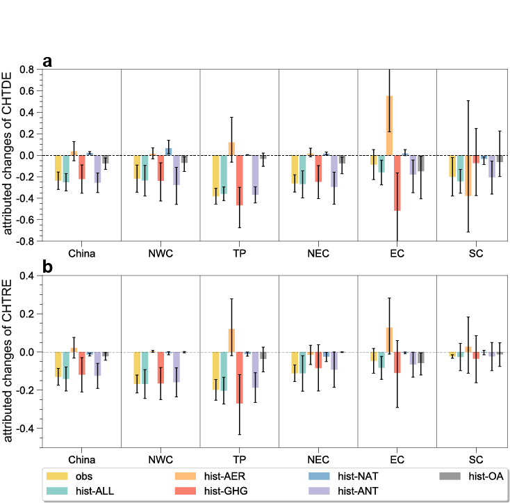
In addition, the quantitative optimal fingerprint method shows that the change in the severity of compound extreme high temperature and drought/rain events over China can be largely attributed to anthropogenic forcing, especially greenhouse gas forcing, which produces more than 90% of the attributable contribution to the observed compound extreme high temperature and drought/rain events (Figure 2). Anthropogenic climate change is identified as the dominant factor affecting the severity of compound extreme high temperature and drought events in China. In addition, the historical natural forcing may be related to the interannual-to-decadal variability in the severity of compound extreme high temperature and drought/rain events.

Figure 2 Attributed linear changes in the severity of CHTDE and CHTRE during 19612014. Estimates of observed linear changes in the severity of (a) CHTDE and (b) CHTRE and the corresponding total attributed linear changes in response to different external forcings based on the original change. The attributable linear changes are calculated by the trends for the MME of the CHTDEI and CHTREI multiplied by the corresponding scaling factors (5%–95% margin of scaling factor) and then further multiplied by the periods of CHTDEI and CHTREI time series. Additionally, the observed changes in the CHTDEI and CHTREI are estimated by the trend multiplied by the corresponding time period. The error bars indicate the 5–95% uncertainty range, while the 90% uncertainty range is calculated by the total least square method. The scaling factors used to constrain the attributable changes are derived by single-signal forcing for hist-ALL, two-signal forcing for hist-ANT and four-signal forcing for hist-AER, hist-GHG, hist-NAT and hist-OA.

We quantify the contribution of human activities to intensified compound extreme events on smaller regional scales, highlighting the regional differences in the drivers of compound events. This has important scientific significance for understanding the impact of human activities on compound extreme climate events and addressing climate change in the context of global warming.

Please sign in or register for FREE

If you are a registered user on Research Communities by Springer Nature, please sign in

Follow the Topic

Earth and Environmental Sciences
Physical Sciences > Earth and Environmental Sciences

Related Collections

With Collections, you can get published faster and increase your visibility.

Modeling of Airborne Composition and Concentrations

This Collection seeks contributions that advance the modeling of airborne composition within the context of climate dynamics, atmospheric chemistry, and human-environment interactions.

Publishing Model: Open Access

Deadline: Mar 31, 2026

Inter-Basin Dynamics: Cross-Ocean Interactions and Decadal Forecasting

This Collection aims to enhance the accuracy of decadal-scale climate projections and inform strategies for climate resilience, by addressing climate dynamics, ocean-atmosphere interactions, and the application of advanced numerical methods (e.g., machine learning and artificial intelligence).

Publishing Model: Open Access

Deadline: Apr 30, 2026