Multiplex Serology: the first step towards looking at 20 infectious agents in half a million people
Published in Healthcare & Nursing
Some infectious agents are recognised causes of cancer and other chronic diseases. In humans, well-known examples of such causal agents include human papillomaviruses that cause cervical cancer [1], and Epstein-Barr virus (EBV) linked to Burkitt's lymphoma [2]. More recently, studies from longitudinal cohorts, where participants are followed over an extended period, have shown a link between EBV infection and the development of Multiple sclerosis [3].
While there is growing evidence that infectious agents may contribute to a wider range of cancers and chronic diseases than currently recognised in the medical literature, the associations, and mechanisms behind these, are much less clear.
In our recent paper in Nature Communications, we present the development and validation of a Multiplex Serology platform to measure quantitative antibody responses against 45 antigens from 20 infectious agents including human herpes, hepatitis, polyoma, papilloma (HPV), and retroviruses, as well as Chlamydia trachomatis, Helicobacter pylori and Toxoplasma gondii. These agents were selected after wide consultation with infectious disease and public health clinicians and epidemiologists, to represent infections that were most likely to be relevant to chronic diseases in world-wide populations (but particularly the UK), and which could be readily detected using antibodies. We used the antibody assay because it is familiar to researchers and clinicians working in the fields of infectious disease and epidemiology, and it is robust and reproducible and amenable to high-throughput analyses. To demonstrate the utility of this panel as a high-throughput alternative for single-agent cross-sectional epidemiological studies and illustrate potential for further investigating both well-recognised and potentially novel host-pathogen-environment-disease associations, we applied this to a subset of 9695 randomly selected participants from UK Biobank.

Multiplex Serology as a tool for serological surveillance
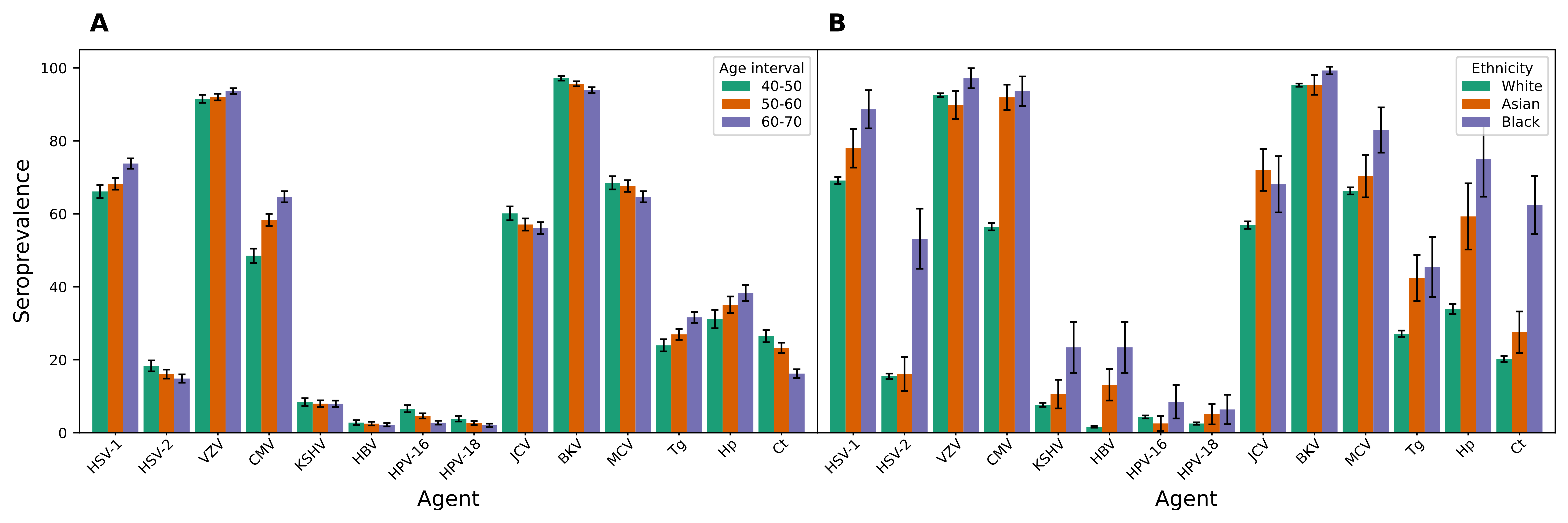
Seroprevalence rates estimated using the Multiplex panel were consistent with expected rates from prior literature, as were associations between seroprevalence and sociodemographic factors including age, sex, lifetime sexual partners, and self-reported ethnicity. For example, we found clear associations with age and increased seroprevalence of cytomegalovirus (CMV, the cause of forms of glandular fever and a range of problems in immunosuppressed individuals), herpes simplex virus-1 (HSV-1, the cause of cold sores) and T. gondii that are likely to be independent and not confounded by other reported risk factors. These infectious agents are known to be transmitted through behaviours in adulthood including close physical and sexual contact, and for T. gondii, animal exposure or diet. We also replicated the well-established association between HPV-16 seropositivity and the risk of cervical intraepithelial neoplasia and cervical cancer.
We also found associations between both CMV and hepatitis B seroprevalence and self-reported ethnicity, with significantly higher seroprevalence of both pathogens in non-White participants compared with White participants, for both men and women. Notably these remained highly significant after adjusting for other sociodemographic factors, highlighting the complexity of host-pathogen interactions, and the importance of considering both environmental and genetic factors when studying these. Although all UK Biobank participants are likely to have spent some time in the UK prior to enrolment in the study, it is likely that, particularly for participants of non-White British ancestry, there are differences in exposure to infectious agents in other countries where these participants may have lived when younger. The relatively small sample size of the current subset precludes our ability to dissect this further, but the fact that we can see these differences, even with a small sample size highlights both the importance of replication studies in similar and larger cohorts, and the need for ancestral diversity in infection association studies.

Multiple genetic associations have been discovered to affect magnitude of response or likelihood of seropositivity against several infectious antigens. Using seropositivity and Median Fluorescence Intensities (MFI) as a quantitative measure of antibody responses, we carried out genome-wide association studies (GWAS) on 9611 participants who also had genetic data available, replicating three previously reported genetic associations within class II of the Major Histocompatibility Locus (MHC). Two variants (rs9269910 and rs9269268) were found to be associated with seropositivity for JCV and MCV respectively, and another variant (rs6927022) was associated with quantitative antibody levels against EBV EBNA1 antigen.
Follow-up is important
One of the strengths of prospective population cohorts such as UK Biobank, is the ability to follow the trajectory of a broad cross-section of the UK population over the course of the study. Through the follow-up visits and sample collections, we were able to show an increase in antibodies against CMV and T. gondii, as well as increased seroprevalence between baseline and follow-up visits, supporting continued exposure to these pathogens throughout adulthood.
There are significant opportunities with the follow-up samples from individuals within UK Biobank to understand the association between age, repeated pathogen exposure, and onset of chronic disease. The comprehensive clinical and biological data available through UK Biobank, and the increasing number of large-scale prospective studies in general, will facilitate the future replication of our findings and understanding of causal relationships using a variety of approaches.
Looping back to the fundamental question of why some people go on to develop chronic diseases after infection, while others do not, we still have a long way to go to understand the factors at play, even with common infections. However, using even this data from a small subsample of UKB, we have already begun to probe deeper into chronic disease relationships with CMV and cardiovascular disease as the first test finding little evidence of CMV involvement in one of the largest prospective studies to date [4].
Multiplex Serology will not be able to answer all these questions, but it is another tool that we can use to gather additional information to help piece together pieces of this puzzle.
The full paper can be accessed at https://doi.org/10.1038/s41467-022-29307-3
This paper has also been featured in the Editors’ Highlights for Microbiology and infectious diseases: https://www.nature.com/collections/jedgcgeija
- Roden, R. B., & Stern, P. L. (2018). Opportunities and challenges for human papillomavirus vaccination in cancer. Nature Reviews Cancer, 18(4), 240-254.
- Young, L. S., Yap, L. F., & Murray, P. G. (2016). Epstein–Barr virus: more than 50 years old and still providing surprises. Nature Reviews Cancer, 16(12), 789-802.
- Bjornevik, K., Cortese, M., Healy, B. C., Kuhle, J., Mina, M. J., Leng, Y., ... & Ascherio, A. (2022). Longitudinal analysis reveals high prevalence of Epstein-Barr virus associated with multiple sclerosis. Science, 375, 296–301.
- Hamilton, E. M., Allen, N. E., Mentzer, A. J., & Littlejohns, T. J. (2021). Human cytomegalovirus and risk of incident cardiovascular disease in UK Biobank. The Journal of Infectious Diseases, 225(7), 1179-1188.
Follow the Topic
-
Nature Communications
An open access, multidisciplinary journal dedicated to publishing high-quality research in all areas of the biological, health, physical, chemical and Earth sciences.
Related Collections
With Collections, you can get published faster and increase your visibility.
Women's Health
Publishing Model: Hybrid
Deadline: Ongoing
Advances in neurodegenerative diseases
Publishing Model: Hybrid
Deadline: Mar 24, 2026
Please sign in or register for FREE
If you are a registered user on Research Communities by Springer Nature, please sign in