Recreational Inland Fishing for Fun AND Food

Fishing for fun does not mean that food isn’t an important factor...
Recreational Inland Fishing for Fun AND Food
Like

Share this post

Choose a social network to share with, or copy the URL to share elsewhere

This is a representation of how your post may appear on social media. The actual post will vary between social networks

Recreational fishing is any fishing where the primary purpose is leisure – namely, fishing for fun. Inland recreational fishing is when this fishing for fun occurs in places like freshwater lakes, rivers, streams, and wetlands as well as any inland saline water bodies.

When I personally think of inland recreational fishing, I think of my husband and sons fishing near our home in Virginia. They frequently fish in streams, rivers, and reservoirs and they often release what they catch. However, after working with a team of global collaborators, I recognize that my image of inland recreational fishing is not necessarily representative of what goes on here in the United States, let alone around the world. 

A man and son smiling and holding a fish
The author’s spouse and son catch-and-release fishing smallmouth bass at a reservoir in Virginia. Photo credit: A.J. Lynch.

Globally, 220-700 million people are engaged in recreational fishing and they capture 40 billion fish annually. These fisheries are socially, economically, and culturally important. In the United States, for instance, inland recreational fisheries are estimated to generate US$86 billion in economic output.

Fishing for fun doesn’t mean that food isn’t an important factor. However, the role inland fisheries play in relation to food is understudied, particularly at a global scale. Inland recreational fishing can take many forms and, in many instances, there are fuzzy’ boundaries between recreational and subsistence fisheries - that is between fishing for fun and fishing to meet dietary needs. Very little is known about these recreational food fisheries on a broad scale and my coauthors and I specifically wanted to assemble observational data to gain a better understanding of them because: (1) consumption of recreational fish may contribute substantially to food systems; (2) monitoring and reporting may overlook harvest among food-insecure recreational fishers; and (3) unreported consumption may be a hidden source of food security for some communities.

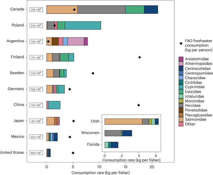
 My coauthors and I estimate that there are 280 million people actively engaged in consumptive inland recreational fisheries, approximately equivalent to the total population of the United States without the population of Texas and Florida. These 280 million inland recreational fishers harvest 1.3 million tonnes (almost 3 billion pounds) of fish annually—approximately the same weight as one million blue whales. It also equals 11.3% of reported global inland capture production to the Food and Agriculture Organization of the United Nations (FAO). Our results, by consequence, suggest that the global estimates of inland catch could be over 11% higher.

 While 11.3% may not seem like a lot on a worldwide scale, looking at national levels can refine the picture and have important implications for national reporting, too. In Canada, for example, our estimate of total consumption from inland recreational fishing is four times higher than what is reported to FAO. In the countries with high consumption, how inland recreational fisheries may be contributing to support food needs may be an important consideration and may also feed into (pardon the pun!) global conversations, policy, and development opportunities related to food.

Men squatting on a river bank fishing with a sandy beach and cliff behind them.
Fishermen in the Parana River, Argentina practicing fishing for fun and food. Photo credit: C. Baigun.

Fish can be a great source of important nutrients including calcium, essential fatty acids, iron, protein, and zinc. Inland recreational fishing can make substantial nutritional contributions that often go unrecognized. For example, in Austria, my coauthors and I found that recreational fishers are getting 2.4 times the national average consumption of vitamin B12 from aquatic foods from their catch. Vitamin B12 is an essential micronutrient that is abundant in aquatic species and important for human health including bone density, red blood cell formation, and nerve function.

Because recreational fisheries are, by definition, not market-based, it can be difficult to estimate the value of consumption. My coauthors and I used total consumptive use value (TCUV) which essentially looks at harvest for consumption using a proxy price for something reasonably equivalent that can be found in a market context. We estimate that the global TCUV of inland recreational fish for human consumption to be almost US$10 billion dollars. Canada, China, and the United States all have national TCUVs of more than $2.4 billion dollars. And in Canada, which has the highest TCUV, the total consumptive use value per recreational inland fisher is almost US$1000. So, these Canadian recreational fishers are supplementing their diet with fish to the equivalent value of US$1000 per year.

Inland recreational fisheries are also vulnerable to climate change. These fish may be experiencing changing temperatures, precipitation, seasonality, extreme events, among other things that are on top of other stressors to these fish populations. Countries with the highest scores for nutrition, economic value, and climate vulnerability of consumed inland recreational fish are New Zealand, Denmark, and Kenya. Austria, Canada, Germany, and Slovakia. Consumption of inland recreational fish are nutritionally and economically important to these countries and vulnerable to climate change.

Our research underscores the underappreciated roles of inland recreational fish to food systems; highlights the importance for sensitive groups dependent on inland recreational fishing for food; and can inform climate adaptation planning for inland recreational fisheries.

 Related content:

This blog has been cross-posted to the U.S. Geological Survey's "Science Spotlight" blog.

Please sign in or register for FREE

If you are a registered user on Research Communities by Springer Nature, please sign in

Follow the Topic

Fisheries
Physical Sciences > Earth and Environmental Sciences > Earth Sciences > Ocean Sciences > Marine Biology > Fisheries
Malnutrition
Life Sciences > Health Sciences > Clinical Medicine > Diseases > Nutrition Disorder > Malnutrition
Climate-Change Adaptation
Humanities and Social Sciences > Society > Sociology > Environmental Social Sciences > Climate-Change Adaptation
Environmental Economics
Humanities and Social Sciences > Economics > Resource and Environmental Economics > Environmental Economics

Related Collections

With Collections, you can get published faster and increase your visibility.

Ultra processed food and health

With this cross-journal Collection, the editors at Communications Health, Nature Food, Nature Communications, Communications Medicine and Scientific Reports invite manuscripts that explore the epidemiology, biological and behavioral mechanisms, community- and population-level patterns, and interventional and policy-related approaches pertaining to ultra-processed foods.

Publishing Model: Hybrid

Deadline: Dec 16, 2026